


CONTENTS
Appendix A Master Programme
Appendix B Overview of Desalination Plant in Tseung Kwan O
Appendix C Baseline Water Quality Monitoring Schedule
Appendix D Baseline Water Quality Monitoring Data
Appendix E HOKLAS Laboratory Certificate
Appendix F Water Quality Monitoring Equipment Calibration Certificate
Introduction
A1. The Project, Design, Build and Operate First Stage of Tseung Kwan O Desalination Plant (TKODP), is a Designated Project under the Environmental Impact Assessment Ordinance (Cap. 499) (EIAO) and is currently governed by a Further Environmental Permit (EP No. FEP - 01/503/2015/A) for the construction and operation of the Project.
A2. In accordance with the approved Environmental Monitoring and Audit (EM&A) Manual for the Project, baseline environmental monitoring for marine water quality should be carried out by Environmental Team (ET), Acuity Sustainability Consulting Limited (ASCL) prior to the commencement of marine construction works. Pursuant to FEP Condition 3.4, Baseline Monitoring Report shall be submitted to the Director within 2 weeks before the commencement of construction of the Project for record.
A3. This is the Baseline Water Quality Monitoring Report, prepared by ASCL, for the Project summarizing the baseline water quality monitoring results at and around Tseung Kwan O Area 137 (TKO 137) during the period from 12 May 2020 to 6 June 2020.
1.1.
BACKGROUND
1.1.1.
The
Jardine Engineering Corporation, Limited, China State Construction Engineering
(Hong Kong) Limited and Acciona Agua, S.A. Trading As AJC Joint Venture (AJCJV)
is contracted to carry out the Design, Build and Operate First Stage of Tseung
Kwan O Desalination Plant (DPTKO) under Contract No. 13/WSD/17 (the Project).
1.1.2.
Acuity
Sustainability Consulting Limited (ASCL) is commissioned by AJCJV to undertake
the Environmental Team (ET) services as required and/or implied, both
explicitly and implicitly, in the Environmental Permit (EP), Environmental
Impact Assessment Report (EIA Report) (Register No. AEIAR-192/2015) and
Environmental Monitoring and Audit Manual (EM&A Manual) for the Project;
and to carry out the Environmental Monitoring and Audit (EM&A) programme in
fulfillment of the EIA Report¡¦s EM&A requirements and Contract No.
13/WSD/17 Specification requirements.
1.1.3.
Pursuant
to the Environmental Impact Assessment Ordinance (EIAO), the Director of
Environmental Protection granted the Environmental Permit (No. EP-01/503/2015)
and Variation of Environmental Permit (No. EP-01/503/2015/A) to Water Supplies
Department (WSD); and granted the Further Environmental Permit (No. FEP-01/503/2015/A)
to AJCJV for the Project.
1.1.4.
According
to the approved EM&A Manual, baseline environmental monitoring for marine
water quality should be conducted to review the baseline conditions prior to
the commencement of marine construction works for and establish Action and
Limit Levels.
1.1.5.
Pursuant
to Condition 3.4 of the FEP, the AJCJV shall submit a Baseline Monitoring
Report at least 2 weeks before the commencement of construction of the Project.
1.1.6. The master programme and overall view of TKODP alignment is shown in Appendix A and Appendix B respectively.
1.2.
PURPOSE OF THE BASELINE
WATER QUALITY MONITORING REPORT
1.2.1.
The purposes of
this Baseline Water Quality Monitoring Report are to:
-
Summarise
and present the findings of baseline marine water quality including monitoring
locations, equipment, period, methodology, results and observations: and
-
Establish
the Action and Limit (A/L) levels in accordance with the EM&A Manual for
the subsequent impact monitoring during marine construction stage.
Water Quality
1.2.2.
Baseline
water quality monitoring was carried at thirteen monitoring stations, which are
located at and around TKO 137 area. This Baseline Water Quality Monitoring
Report contains baseline findings of these thirteen monitoring stations.
1.3.
REPORT
STRUCTURE
1.3.1.
This Baseline
Water Quality Monitoring Report comprises the following sections:
-
Section 1 introduces
the background of the Project and purpose of this Report;
-
Section
2 presents the baseline water quality monitoring methodologies, requirements,
results, influencing factors including major site activities and weather
conditions, as well as determination of the action and limit levels of marine
water quality; and
-
Section 3
presents concludes the findings of baseline water quality monitoring.
2.1.
MONITORING REQUIREMENTS
2.1.1.
To
ensure no adverse water quality impact, water quality monitoring is recommended
to be carried out at the nearby
water sensitive receivers (WSRs) during construction phase including dredging
activities and marine construction works.
2.1.2.
In
accordance with the EM&A Manual, baseline water quality monitoring should
be conducted 3 days per week for 4 weeks to obtain background water quality
levels at thirteen monitoring stations. The interval between two sets of
monitoring shall not be less than 36 hours.
2.2.
WATER QUALITY PARAMETERS,
TIME AND FREQUENCY
2.2.1.
Baseline
Marine Water Quality Monitoring was conducted 3 days per week for 4 weeks
between 12 May 2020 and 6 June 2020.
2.2.2.
Dissolved
oxygen (DO), turbidity, suspended solids (SS) levels, salinity, pH and temperature
were monitored at all monitoring stations during mid-flood and mid-ebb tides at
three water depths for Baseline Marine Water Quality Monitoring.
2.2.3. Table 2.1 summarizes the monitoring parameters,
frequency and duration of the baseline water quality monitoring. The monitoring
location/position, time, water depth, sampling depth, tidal stages, weather
conditions, sea conditions, current direction, velocity and any special
phenomena or work underway nearby were also recorded. The monitoring schedule is
provided in Appendix C.
Table 2.1 Water
Quality Monitoring Parameters, Frequency and Duration
|
Parameter, unit |
Frequency |
No. of Depths |
|
-
Water Depth(m) -
Temperature(oC) -
Salinity(ppt) -
pH (pH unit) -
Dissolved Oxygen (DO)(mg/L and % of saturation) -
Turbidity(NTU) -
Suspended Solids (SS), mg/L -
Iron -
Current Direction -
Current Velocity
(m/s) |
Baseline water quality monitoring: 3
days per week, at mid-flood and mid-ebb tides, for a period of 4 weeks |
3
water depths: 1m below sea surface, mid-depth and 1m above sea bed. If
the water depth is less than 3m, mid-depth sampling only. If
water depth less than 6m, mid- depth may be omitted. |
2.3.
WATER QUALITY MONITORING LOCATIONS
2.3.1.
Monitoring Equipment
For baseline water quality monitoring, the following equipment will be used:
Dissolved Oxygen and Temperature Measuring Equipment - The instrument will be a portable, weatherproof dissolved oxygen measuring instrument complete with cable, sensor, comprehensive operation manuals, and will be operable from a DC power source. It will be capable of measuring: dissolved oxygen levels in the range of 0 - 20 mg/L and 0 - 200% saturation; and a temperature of 0 - 45 degrees Celsius. It shall have a membrane electrode with automatic temperature compensation complete with a cable of not less than 35 m in length. Sufficient stocks of spare electrodes and cables shall be available for replacement where necessary (e.g. YSI model 59 DO meter, YSI 5739 probe, YSI 5795A submersible stirrer with reel and cable or an approved similar instrument).
Turbidity Measurement Equipment - The instrument will be a portable, weatherproof turbidity- measuring unit complete with cable, sensor and comprehensive operation manuals. The equipment will be operated from a DC power source, it will have a photoelectric sensor capable of measuring turbidity between 0 - 1000 NTU and will be complete with a cable with at least 35 m in length (for example Hach 2100P or an approved similar instrument).
Salinity Measurement Instrument - A portable salinometer capable of measuring salinity in the range of 0 - 40 ppt will be provided for measuring salinity of the water at each monitoring location.
Water Depth Gauge - A portable, battery-operated echo sounder (for example Seafarer 700 or a similar approved instrument) will be used for the determination of water depth at each designated monitoring station. This unit will preferably be affixed to the bottom of the work boat if the same vessel is to be used throughout the monitoring programme. The echo sounder should be suitably calibrated. The ET shall seek approval for their proposed equipment with the client prior to deployment.
Current Velocity and Direction - No specific equipment is recommended for measuring the current velocity and direction. The environmental contractor shall seek approval of their proposed equipment with the client prior to deployment.
Positioning Device - A Global Positioning System (GPS) shall be used during monitoring to allow accurate recording of the position of the monitoring vessel before taking measurements. The Differential GPS, or equivalent instrument, should be suitably calibrated at appropriate checkpoint (e.g. Quarry Bay Survey Nail) to verify that the monitoring station is at the correct position before the water quality monitoring commence.
Water Sampling Equipment - A water sampler, consisting of a PVC or glass cylinder of not less than two litres, which can be effectively sealed with cups at both ends, will be used (e.g. Kahlsico Water Sampler 13SWB203 or an approved similar instrument). The water sampler will have a positive latching system to keep it open and prevent premature closure until released by a messenger when the sampler is at the selected water depth.
Total Residual Chlorine for Discharge of Sterilization Water - Total residual chlorine (TRC) shall be measured in-situ using a handheld colorimeter with its testing toolkits.
2.3.2.
Sampling /
Testing Protocols
All in situ monitoring instruments will be checked, calibrated and certified by Australian Laboratory Services (ALS) accredited under HOKLAS or any other international accreditation scheme before use, and subsequently re-calibrated at monthly intervals throughout the stages of the water quality monitoring. Responses of sensors and electrodes will be checked with certified standard solutions before each use. The HOKLAS laboratory certificate was presented in Appendix E.
On-site calibration of field equipment shall follow the ¡§Guide to On-Site Test Methods for the Analysis of Waters¡¨, BS 1427: 2009. Sufficient stocks of spare parts shall be maintained for replacements when necessary. Backup monitoring equipment shall also be made available so that monitoring can proceed uninterrupted even when equipment is under maintenance, calibration etc.
2.3.3.
Laboratory
Measurement and Analysis
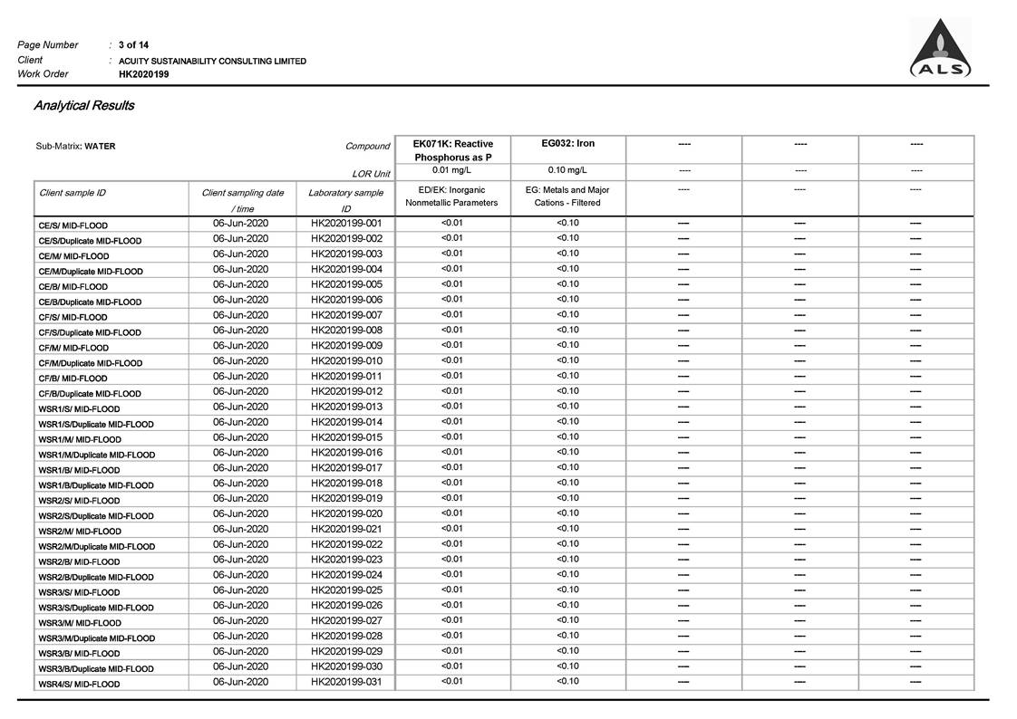
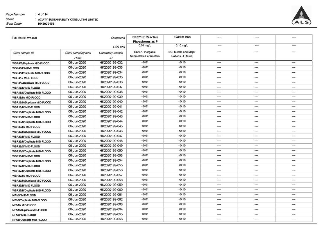
All laboratory work shall be carried out in ALS (HOKLAS accredited laboratory). Sufficient volume of each water sample shall be collected at the monitoring stations for carrying out the laboratory analyses. Using chain of custody forms, collected water samples will be transferred to an HOKLAS accredited laboratory for immediate processing. The determination work shall start within the next working day after collection of the water samples. The laboratory measurements shall be provided to the client within 5 working days of the sampling event. Analytical methodology and sample preservation of other parameters will be based on the latest edition of Standard Methods for the Examination of Waste and Wastewater published by APHA, AWWA and WPCF and methods by USEPA, or suitable method in accordance with requirements of HOKLAS or another internationally accredited scheme. The submitted information should include pre-treatment procedures, instrument use, Quality Assurance/Quality Control (QA/QC) details (such as blank, spike recovery, number of duplicate samples per-batch etc), detection limits and accuracy. The QA/QC details shall be in accordance with requirements of HOKLAS or another internationally accredited scheme.
Parameters for laboratory measurements, their standard methods and their detection limits are presented in Table 2.2.
Table 2.2 Laboratory
measurements, standard methods and corresponding detection limits of marine
water quality monitoring
|
Parameters |
Standard Methods |
Detection Limit |
Reporting Limit |
Precision |
|
Dissolved oxygen (mg/L) |
Instrumental, CTD |
0.1 |
- |
¡Ó25% |
|
Temperature (oC) |
Instrumental, CTD |
0.1 |
- |
¡Ó25% |
|
pH |
Instrumental, CTD |
0.1 |
- |
¡Ó25% |
|
Turbidity (NTU) |
Instrumental, CTD |
0.1 |
- |
¡Ó25% |
|
Salinity (0/00) |
Instrumental, CTD |
0.1 |
- |
¡Ó25% |
|
Suspended Solids (mg/L) |
APHA 17th Ed 2540D |
1.0 |
2.0 |
¡Ó25% |
|
Iron-soluble |
USEPA 6010C NOTE 1 |
0.2NOTE1 |
0.2NOTE1 |
¡Ó25%NOTE1 |
NOTE1: The testing methods, Quality Assurance/Quality Control (QA/QC) details, detection limits and accuracy shall be submitted to EPD for approval prior to the commencement of monitoring programme.
2.3.4.
Monitoring
Location
The water quality monitoring locations for baseline in accordance to the EM&A Manual and Contract Specification are shown in Figure 2.1 and detailed in Table 2.3 below. A schedule for water quality monitoring shall be prepared by the ET and approved by IEC and EPD prior to the commencement of the monitoring.
Table 2.3 Location of Baseline Water Quality Monitoring Station
|
Station |
Easting |
Northing |
Description |
|
|
CE |
843550 |
815243 |
Upstream control station at ebb tide |
|
|
CF |
846843 |
810193 |
Upstream control station at flood tide |
|
|
WSR1 |
846864 |
812014 |
Ecological sensitive receiver at Tung Lung Chau |
|
|
WSR2 |
847645 |
812993 |
Fisheries sensitive receiver at Tung Lung Chau |
|
|
WSR3 |
848023 |
813262 |
Ecological sensitive receiver at Tung Lung Chau |
|
|
WSR4 |
847886 |
814154 |
Ecological sensitive receiver at Tai Miu Wan |
|
|
WSR16 |
845039 |
815287 |
Ecological sensitive receiver at Fat Tong Chau |
|
|
WSR33 |
847159 |
814488 |
Ecological sensitive receiver at Tai Miu Wan |
|
|
WSR36 |
846878 |
814081 |
Ecological sensitive receiver at Kwun Tsai |
|
|
WSR37 |
846655 |
813810 |
Ecological sensitive receiver at Tit Cham Chau |
|
|
NF1 |
846542 |
813614 |
Edge of mixing zone, ~ 200m west of outfall diffuser |
|
|
NF2 |
846942 |
813614 |
Edge of mixing zone, ~ 200m east of outfall diffuser |
|
|
NF3 |
846742 |
813414 |
Edge of mixing zone, ~ 200m south of outfall diffuser |
WSR1 to WSR37 were identified in accordance with Annex 14 of the EIAO-TM as well as Clause
3.4.4.2 of the Environmental Impact Assessment Study Brief for Desalination Plant at Tseung Kwan O (No. ESB-266/2013). WSR1 to WSR3 are sited near the Tung Lung Chau Fish Culture Zone; WSR16 and WSR36 are sited near the coral assemblages along the coastlines of Fat Tong Chau and Kwun Tsai respectively; WSR 4 and WSR33 are sited near the Coastal Protection Area and coral assemblages in waters of Tai Miu Wan; WSR37 is sited near the fisheries resource including spawning and nursery grounds at the coastal water of Tit Cham Chau.
2.4.
IN-SITU MEASUREMENT
2.4.1. Levels of DO, pH, temperature,
turbidity and salinity would be measured in-situ by portable and weatherproof measuring
instrument, e.g. Horiba U-53 Multiparameter complete with cable and sensor.
(Refer to https://www.horiba.com/fileadmin/uploads/Process-
Environmental/Documents/Downloads_Catalog/Catalog_Water_Quality/U-
50_brochure_en_HRE1930E.pdf for Horiba U-53 technical specification). Water current velocity
and Water Current direction would be measured by portable and weatherproof
current meter, e.g. Valeport Current Meter Model 106 (Refer to https://www.indomultimeter.com/Pdf/Valeport-Model-106-Manual.pdf for Valeport Current
Meter Model 106 Manual). The calibration certificates are presented in Appendix
F.
Figure 2.1 Baseline water
quality monitoring locations under EM&A Manual

2.4.2.
Sampling
Frequency
The measurements shall be taken at all designated monitoring stations including control stations, once per day for a minimum of 3 days per week for 4 weeks prior to the commencement of the construction works. Measurements shall be taken at each station at any time. The interval between two sets of monitoring shall not be less than 36 hours. No construction activities were conducted in the vicinity of the stations during the baseline water quality monitoring.
2.4.3.
Sampling Depths
& Replication
For baseline water quality monitoring, each station was sampled and measurements/ water samples would be taken at three depths, 1 m below the sea surface, mid-depth and 1 m above the seabed. For stations that are less than 3 m in depth, only the mid depth sample shall be taken. For stations that are less than 6 m in depth, only the surface and seabed sample shall be taken. For in situ measurements, duplicate readings shall be made at each water depth at each station. Duplicate water samples shall be collected at each water depth at each station.
2.5.
MAINTENANCE AND CALIBRATION
2.5.1.
The
multi-functional meters were checked and calibrated before use.
Multi-functional meters were certified by a laboratory accredited under HOKLAS
or any other international accreditation scheme, and subsequently re-calibrated
at monthly intervals throughout all stages of the water quality monitoring.
Responses of sensors and electrodes were checked with certified standard
solutions before each use.
2.5.2.
The calibration
certificates of monitoring equipment were presented in Appendix F.
2.5.3.
Sufficient
stocks of spare parts were provided and maintained for replacements when
necessary. Backup monitoring equipment was prepared for uninterrupted
monitoring during equipment maintenance or calibration during monitoring.
2.6.
RESULTS AND OBSERVATIONS
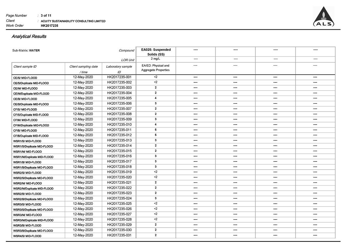
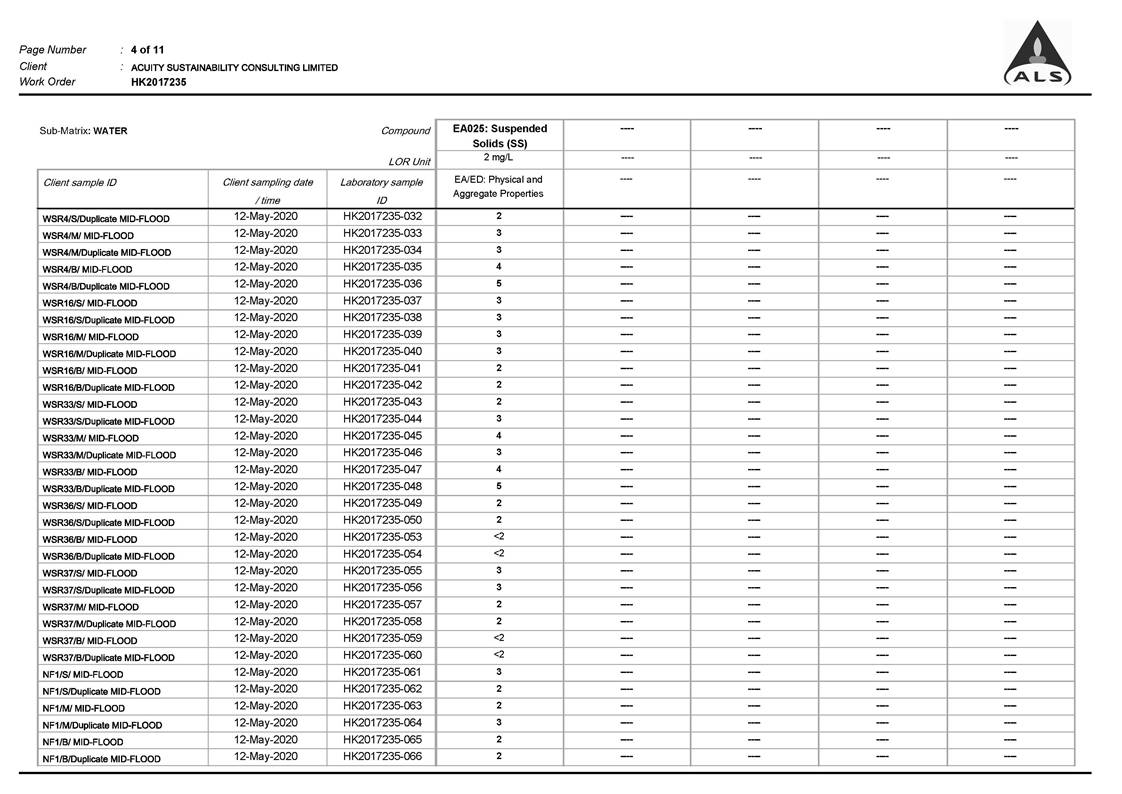
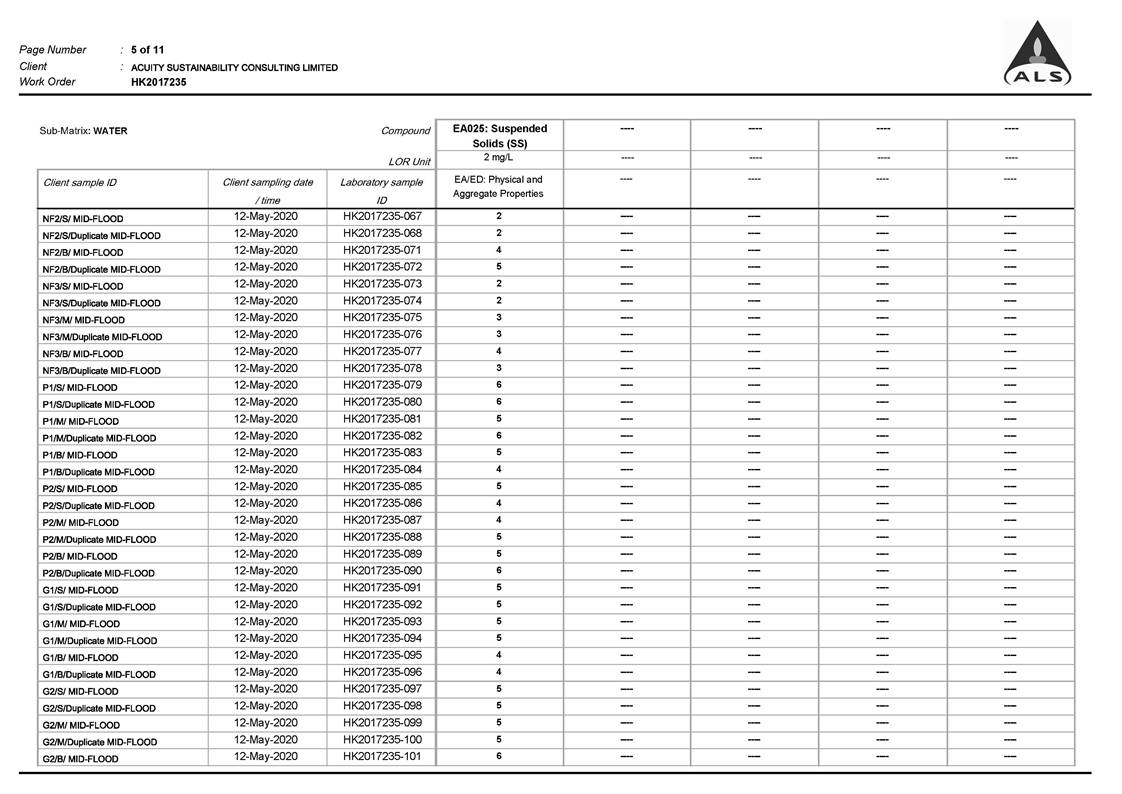
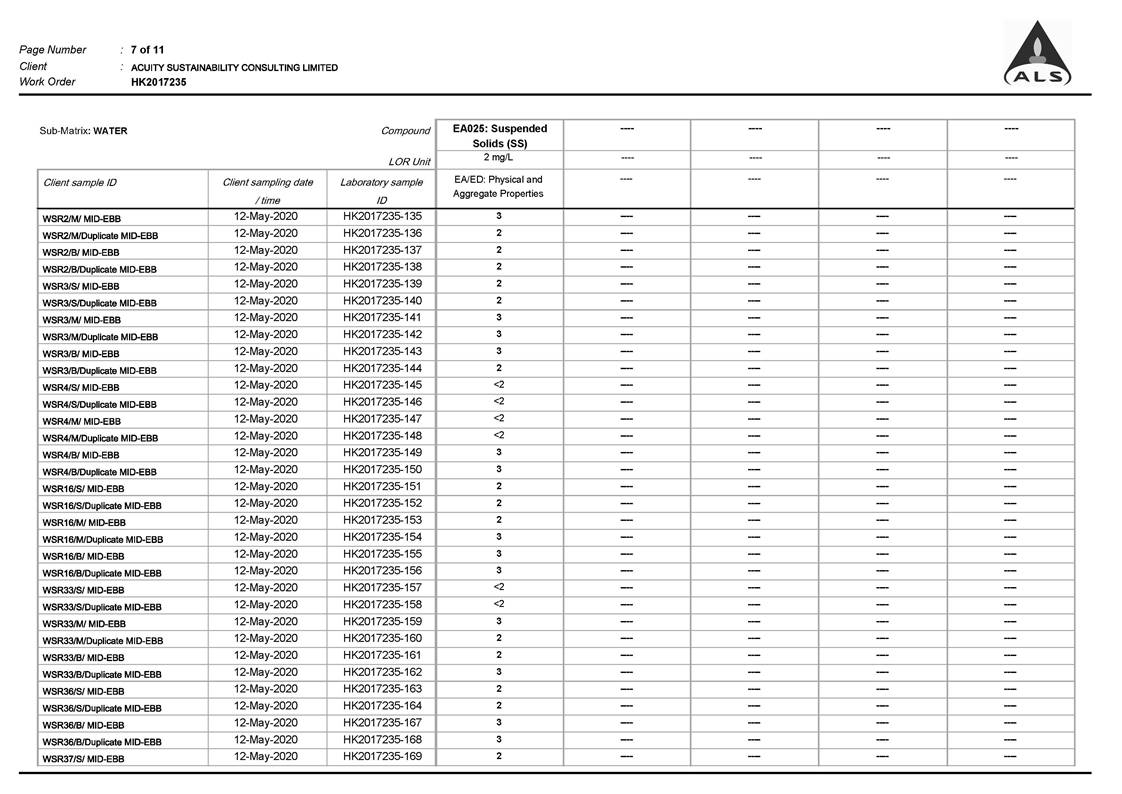
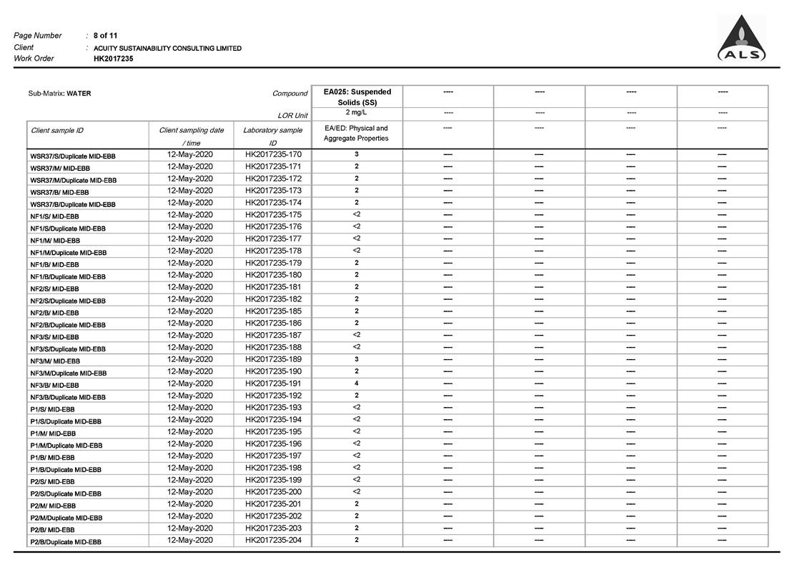
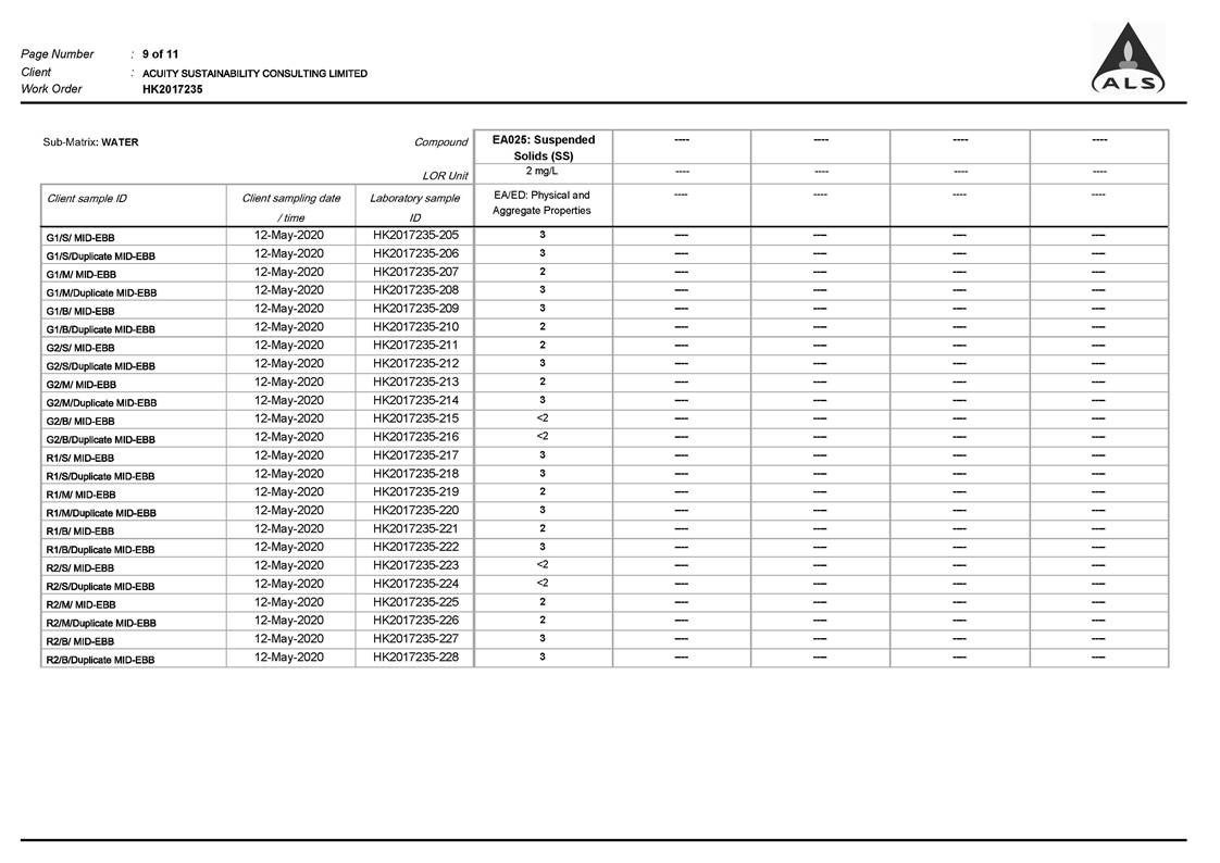
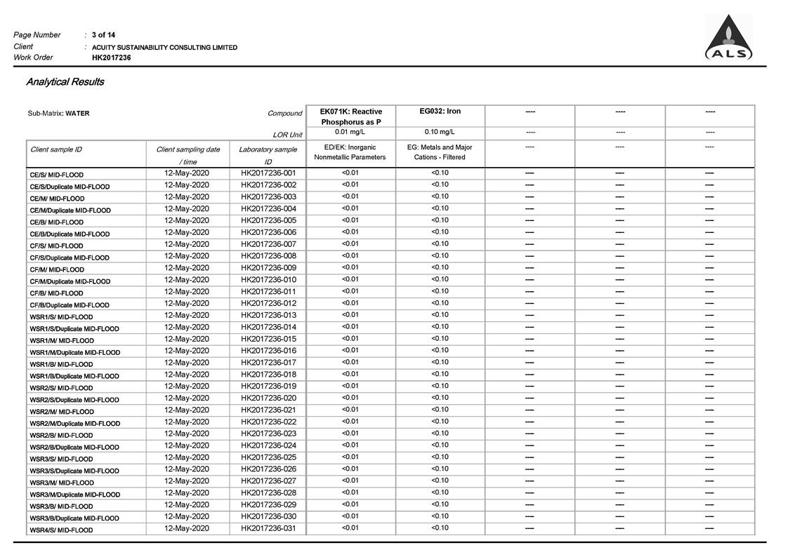
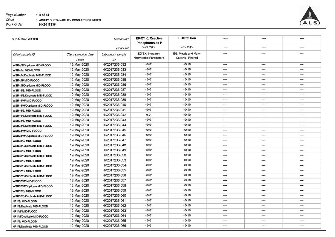
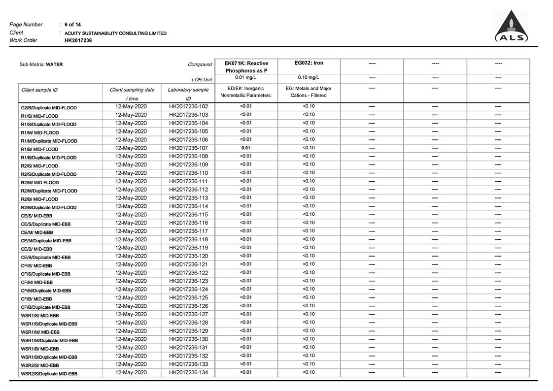
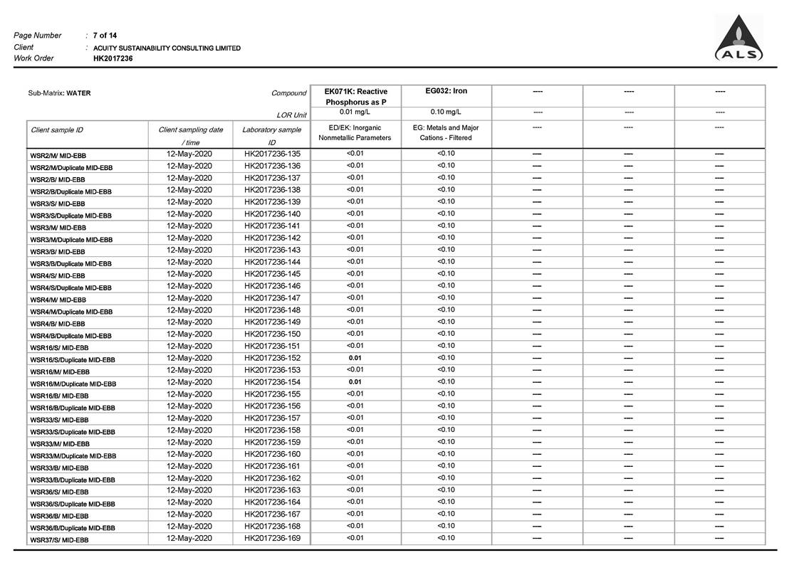
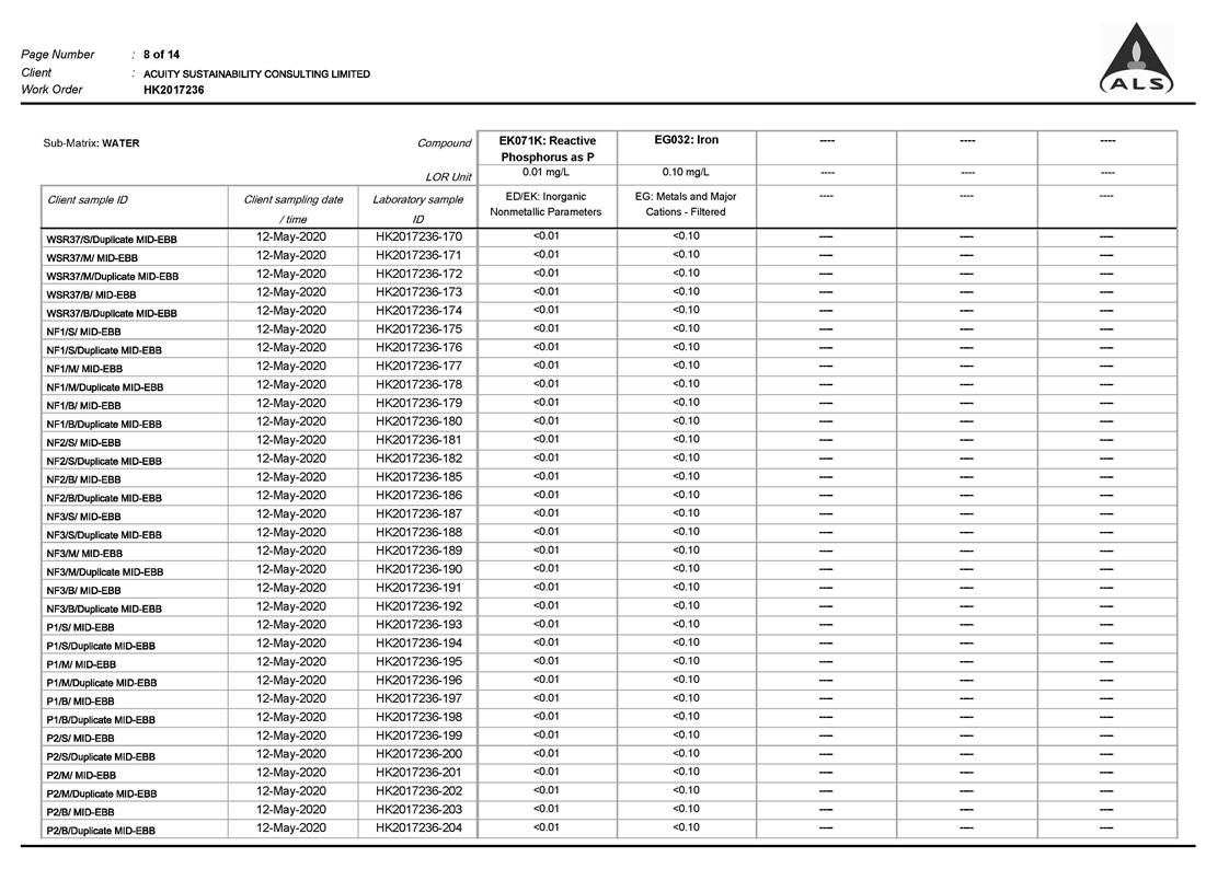
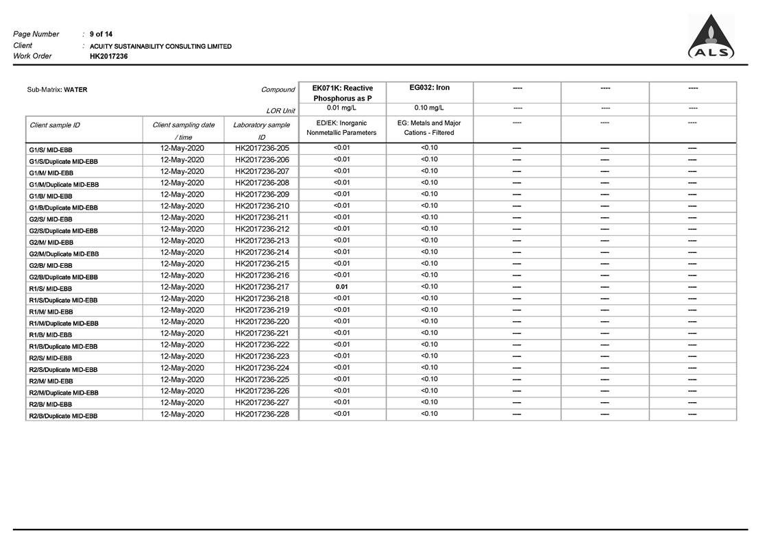
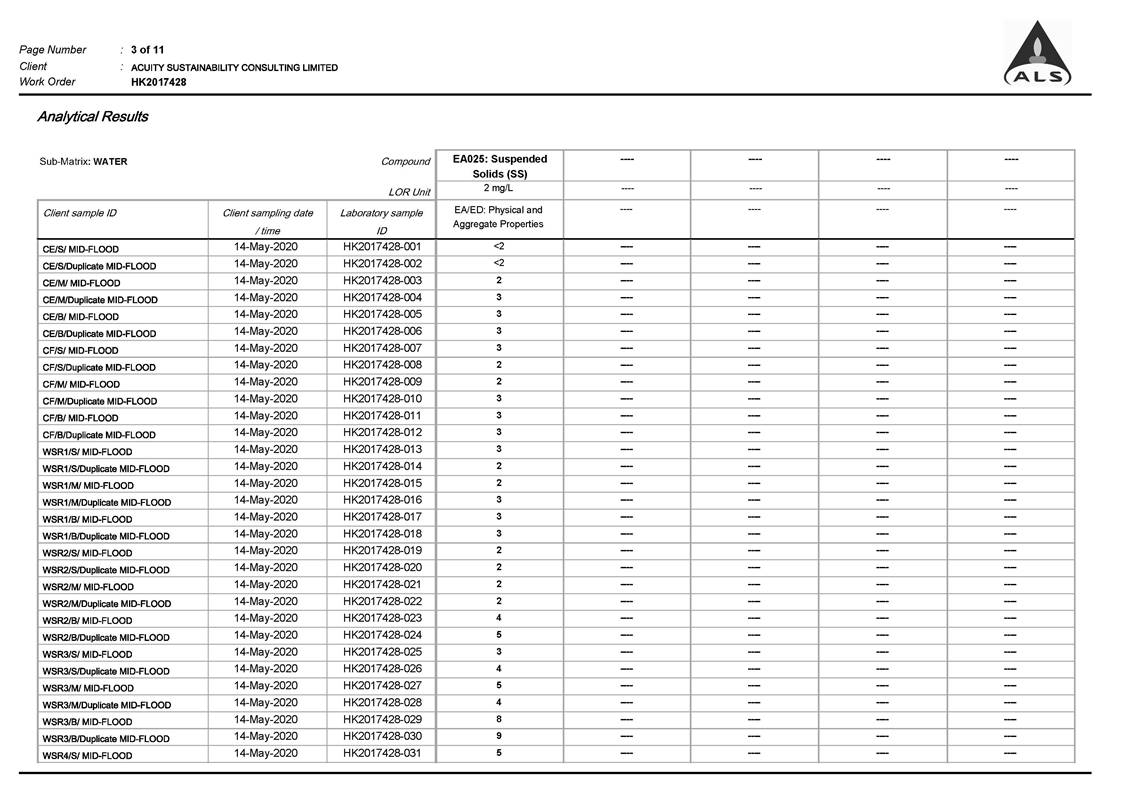
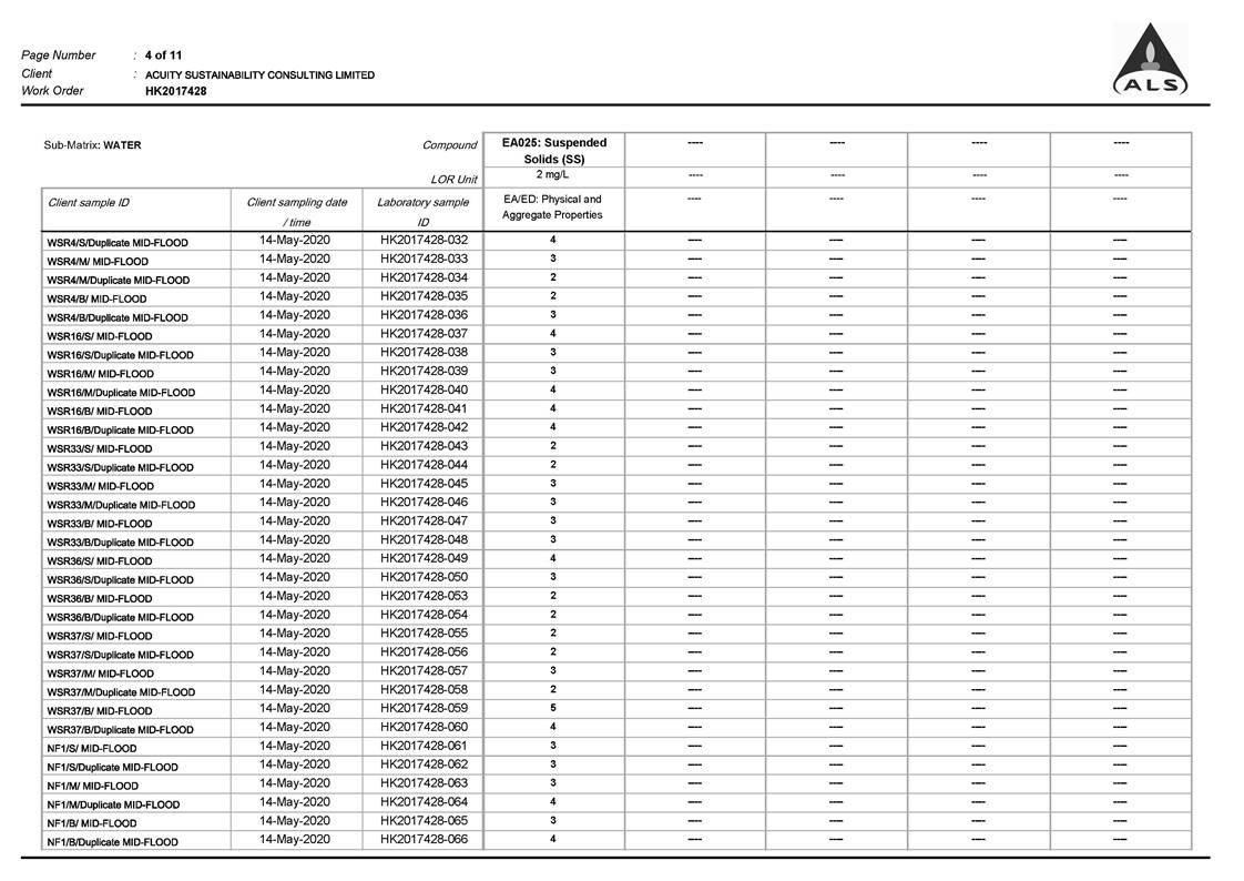
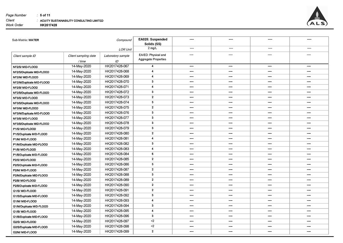
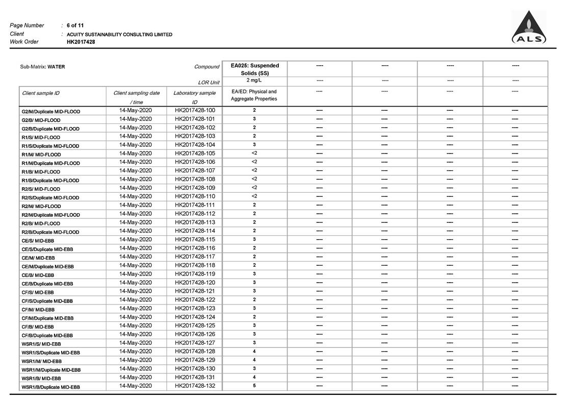
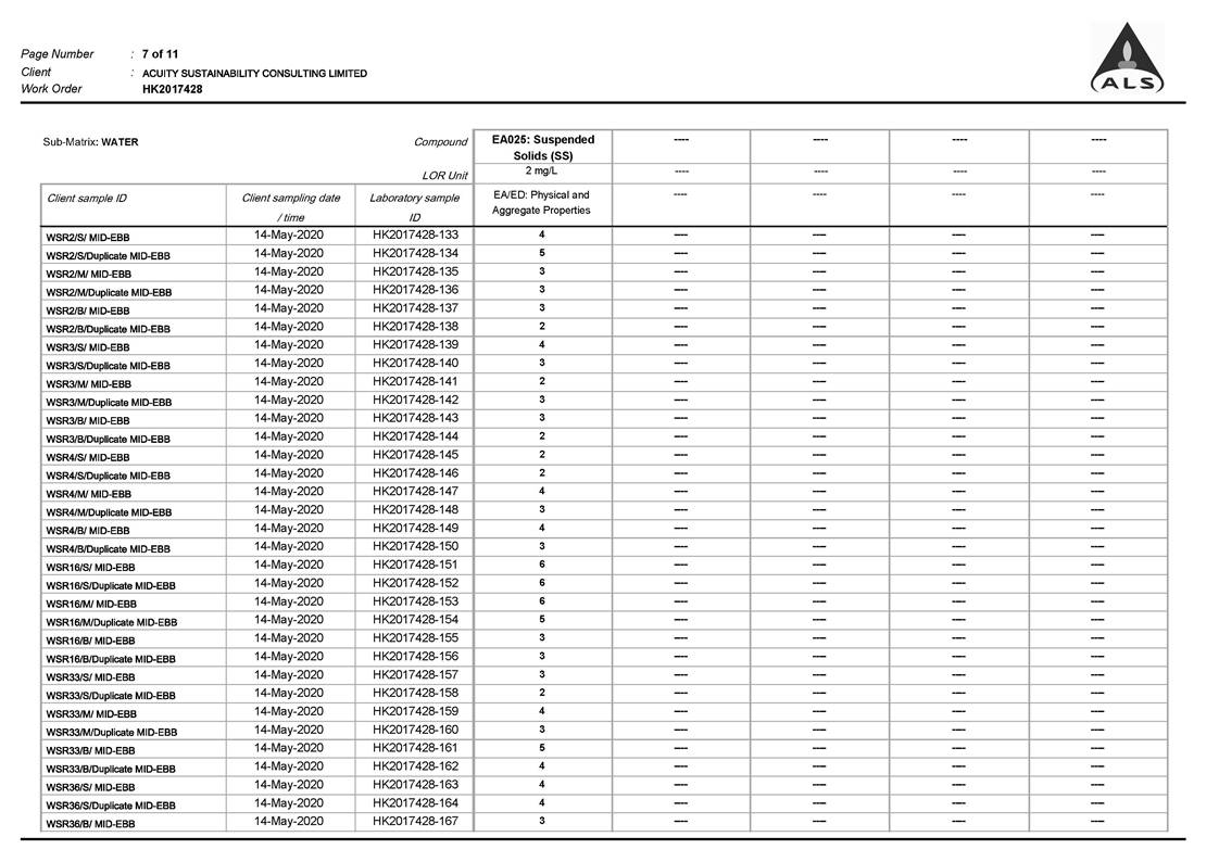
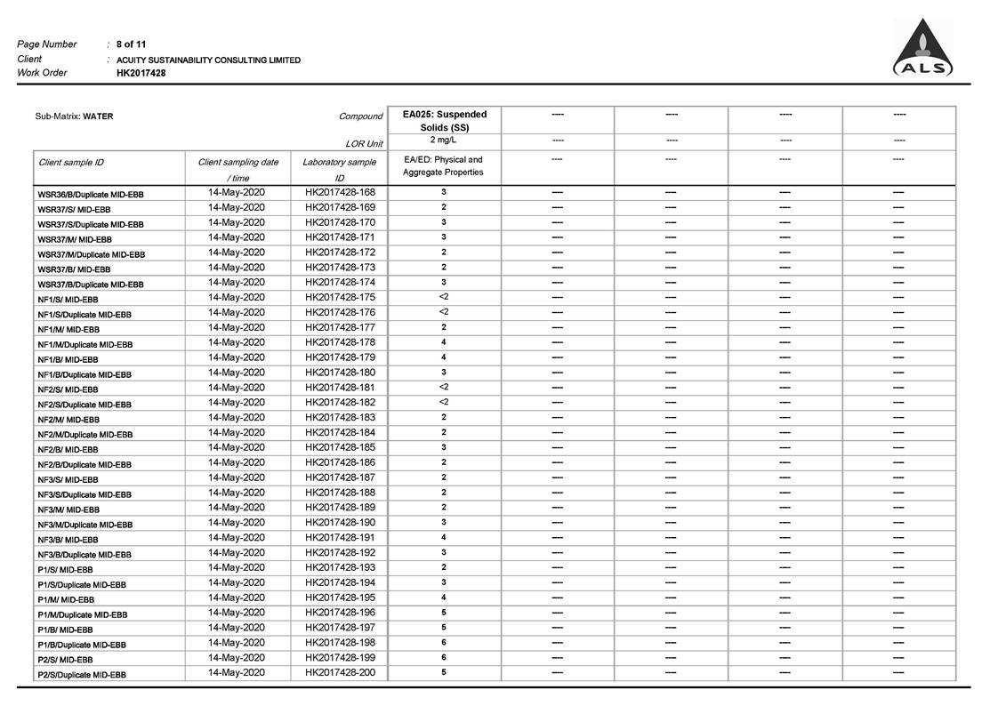
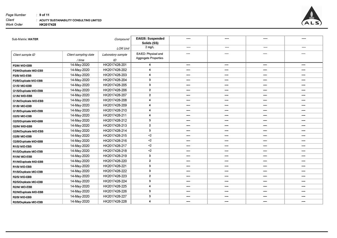
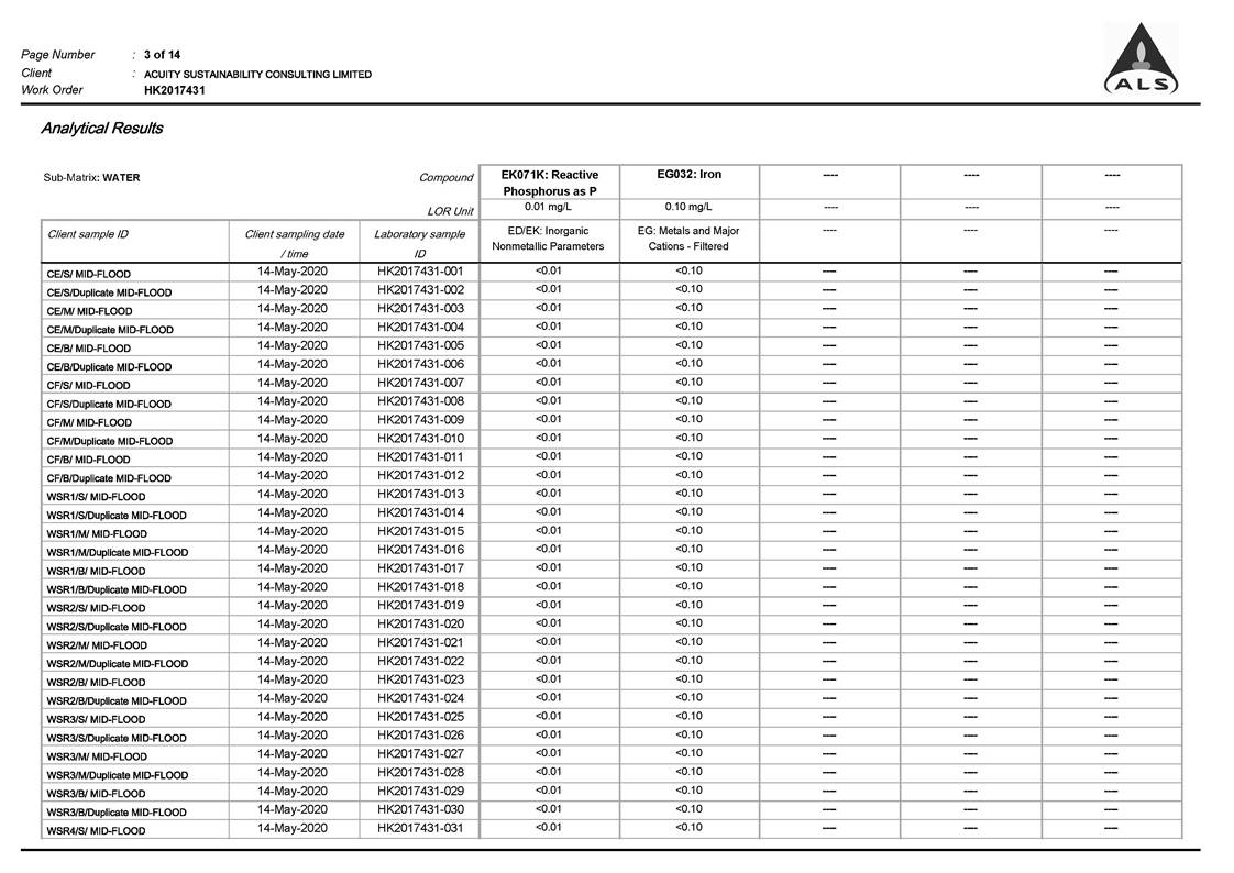
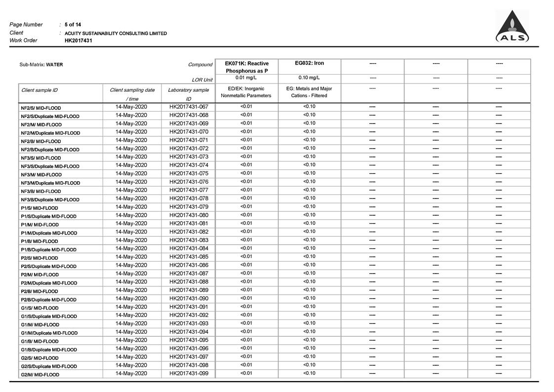
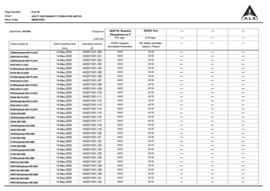
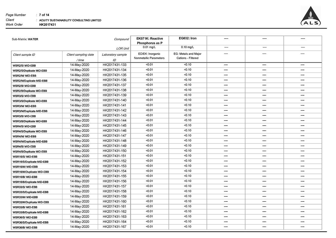
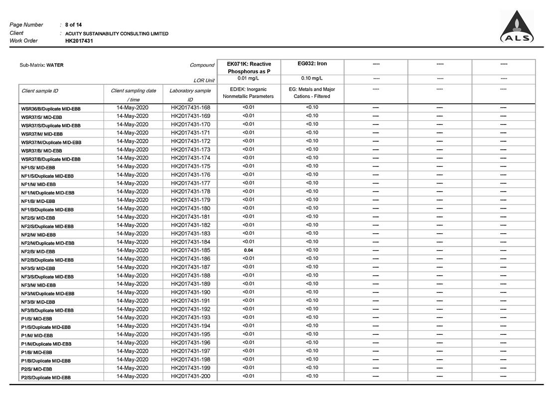
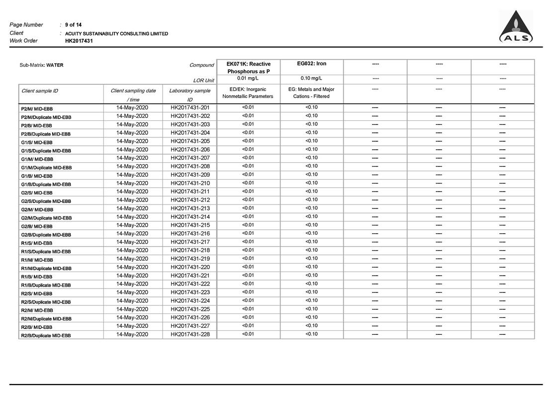
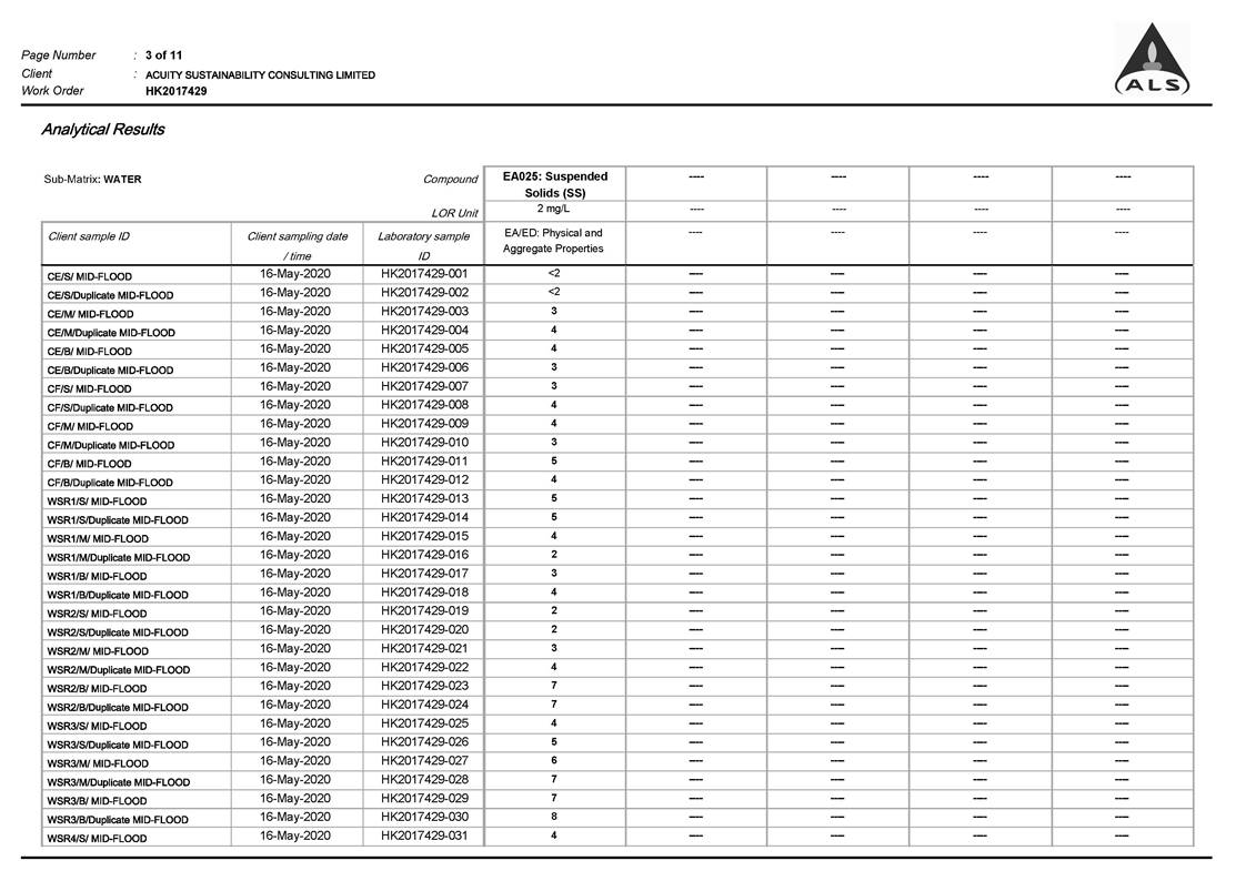
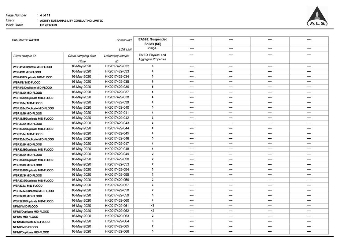
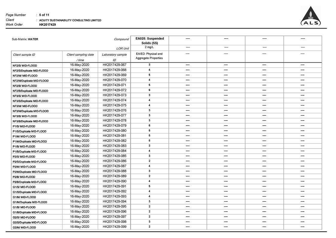
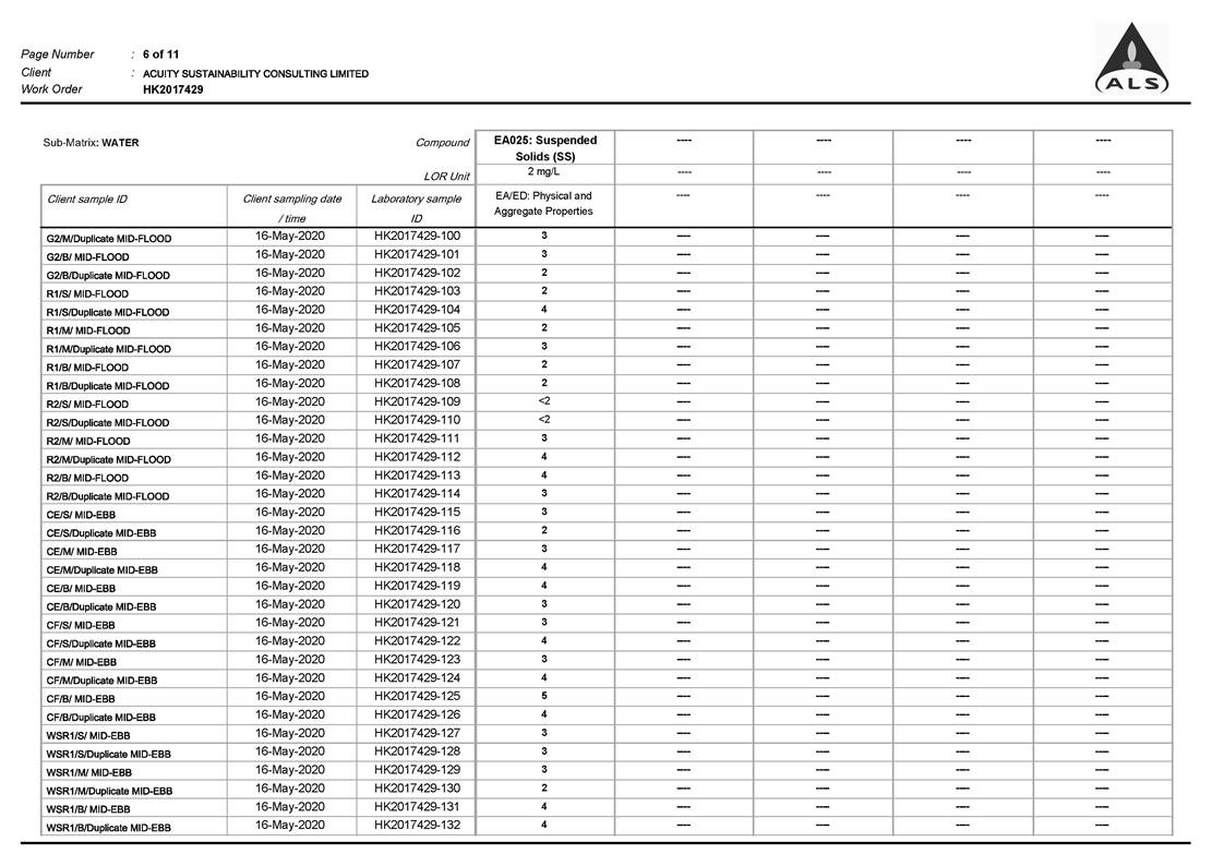
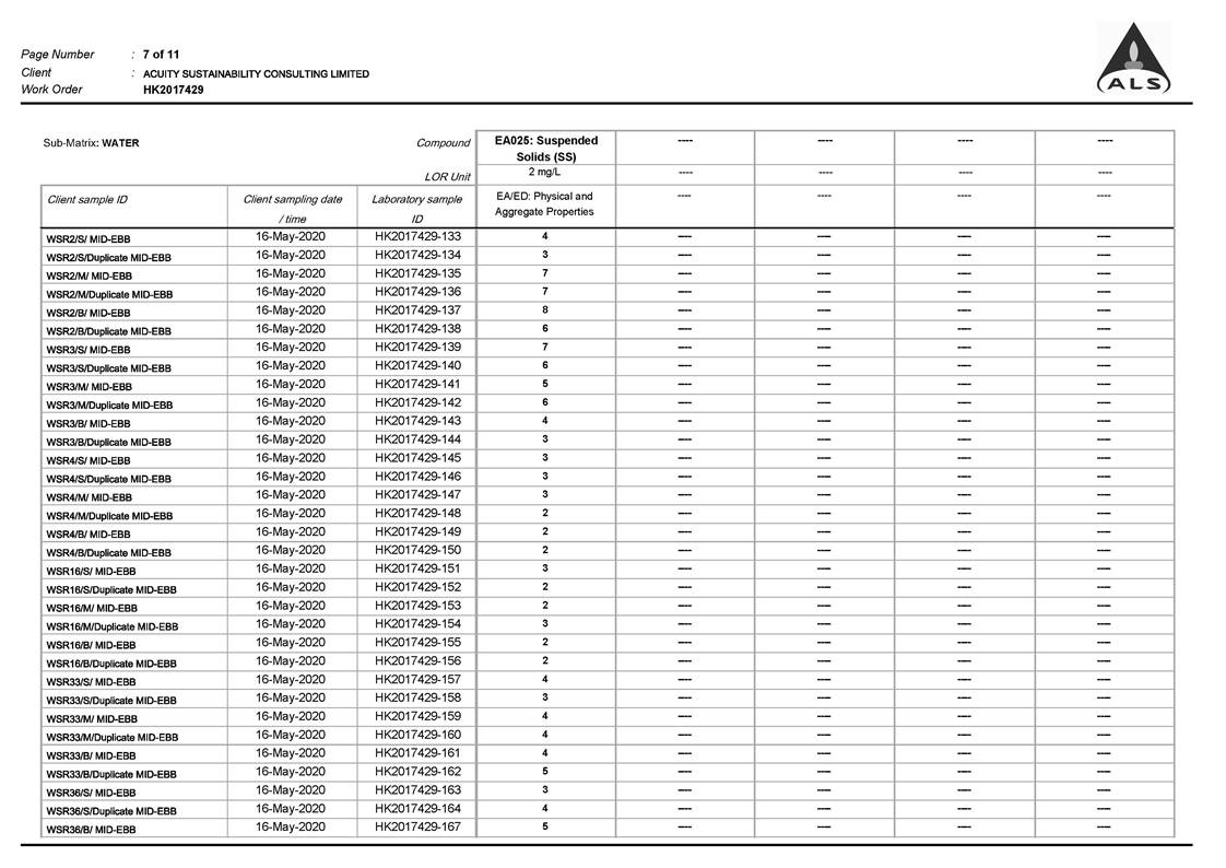
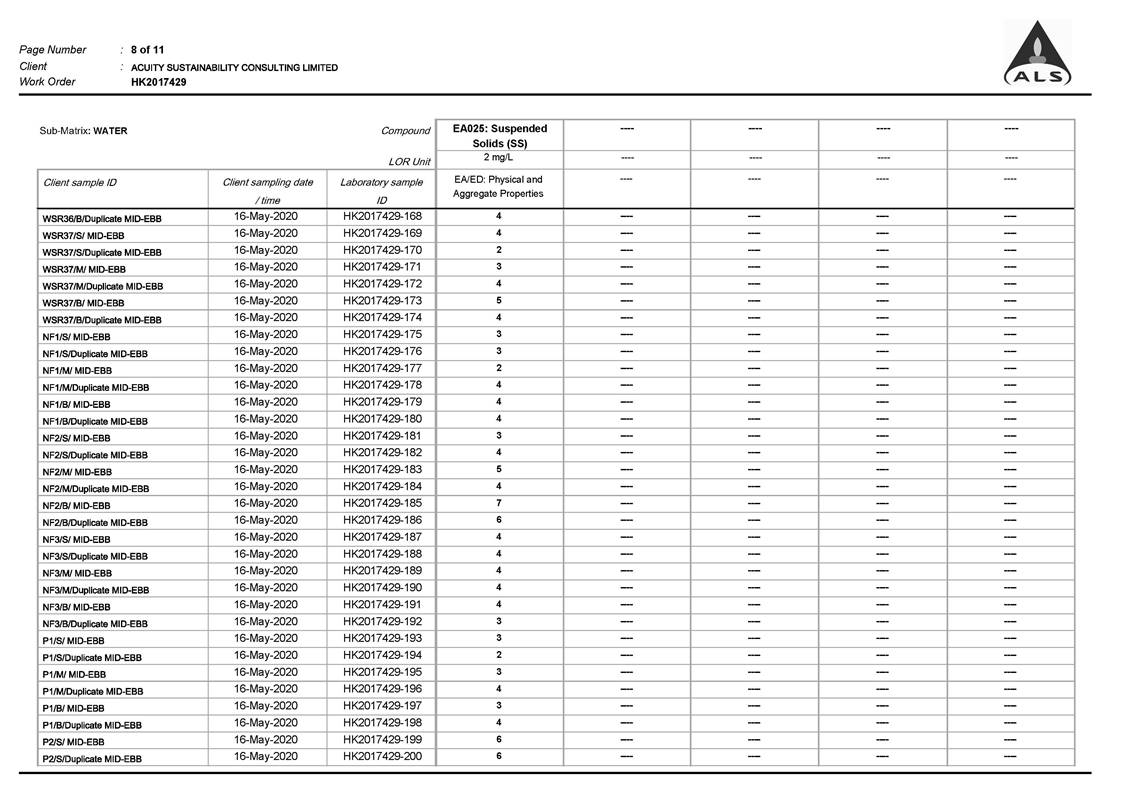
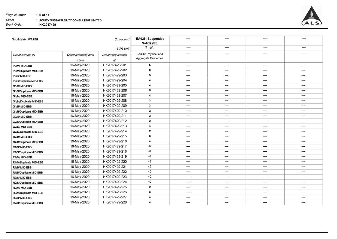
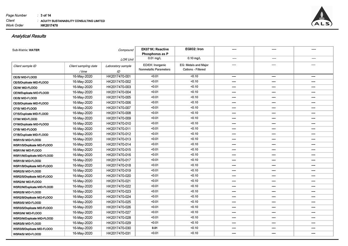
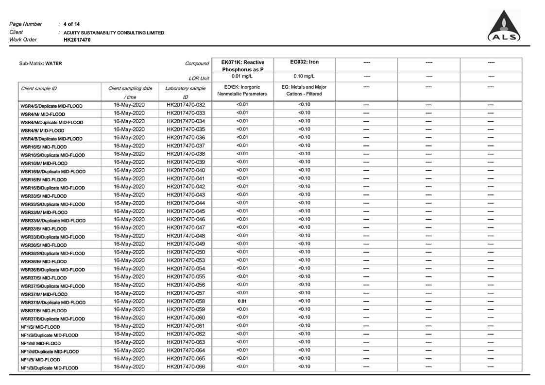
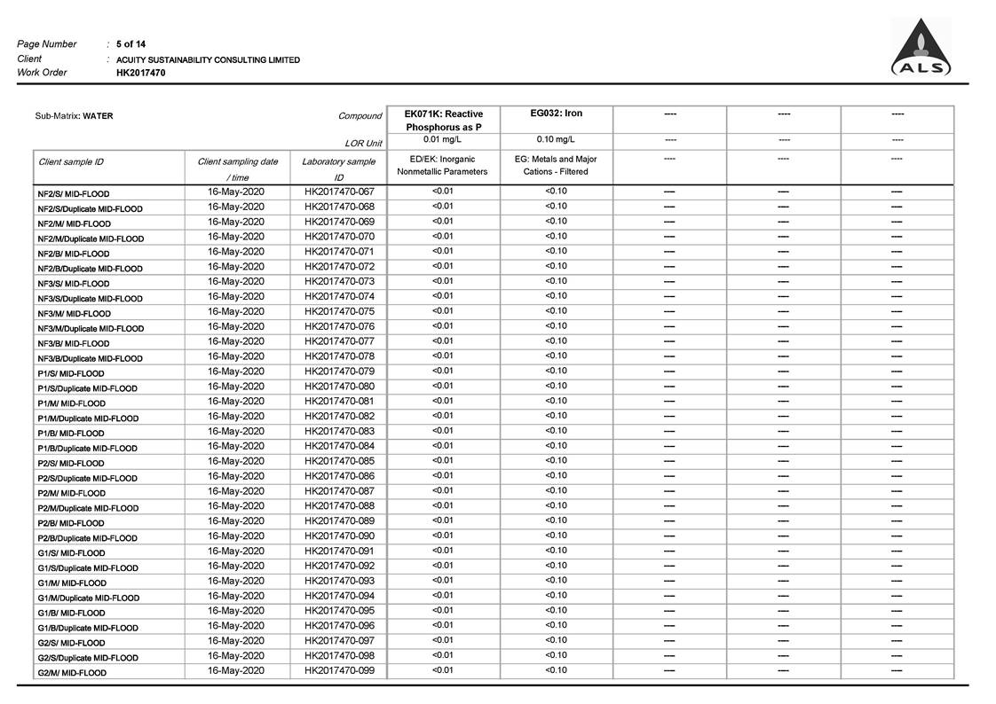
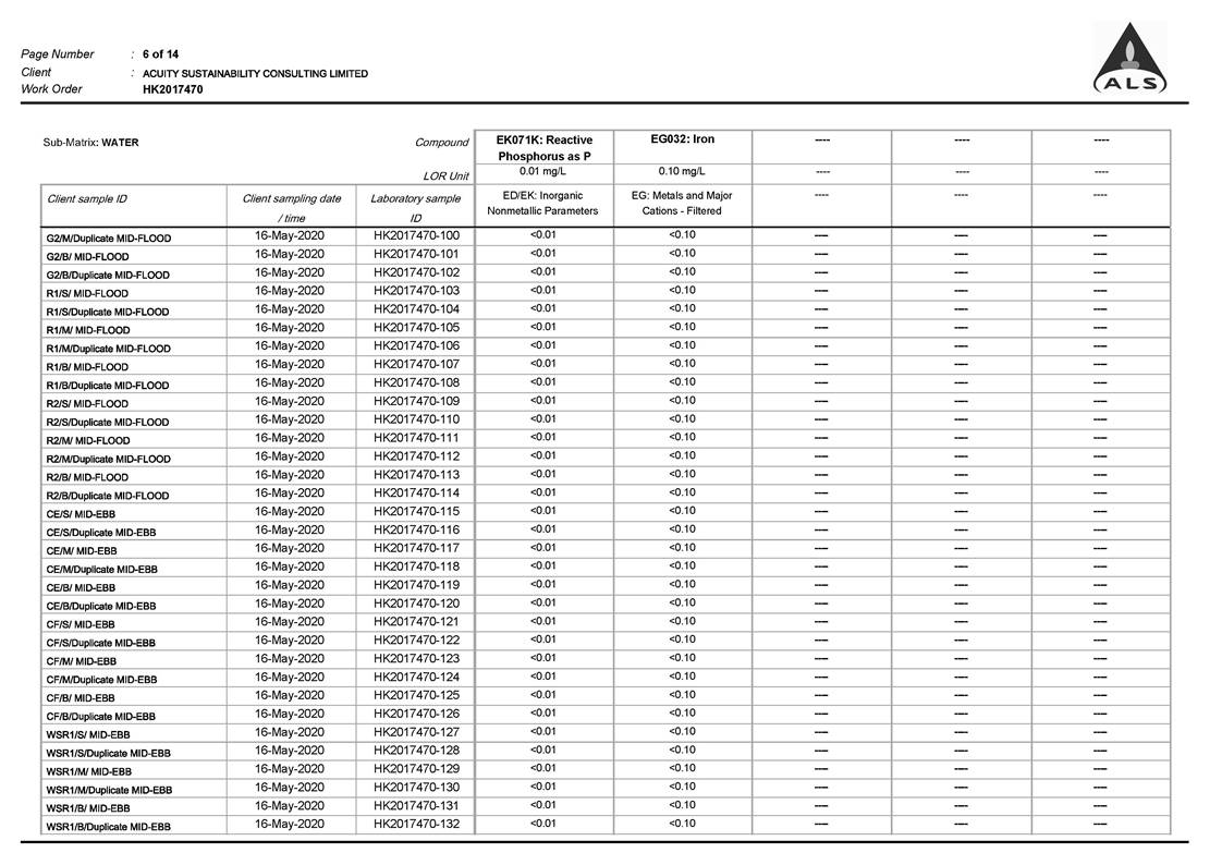
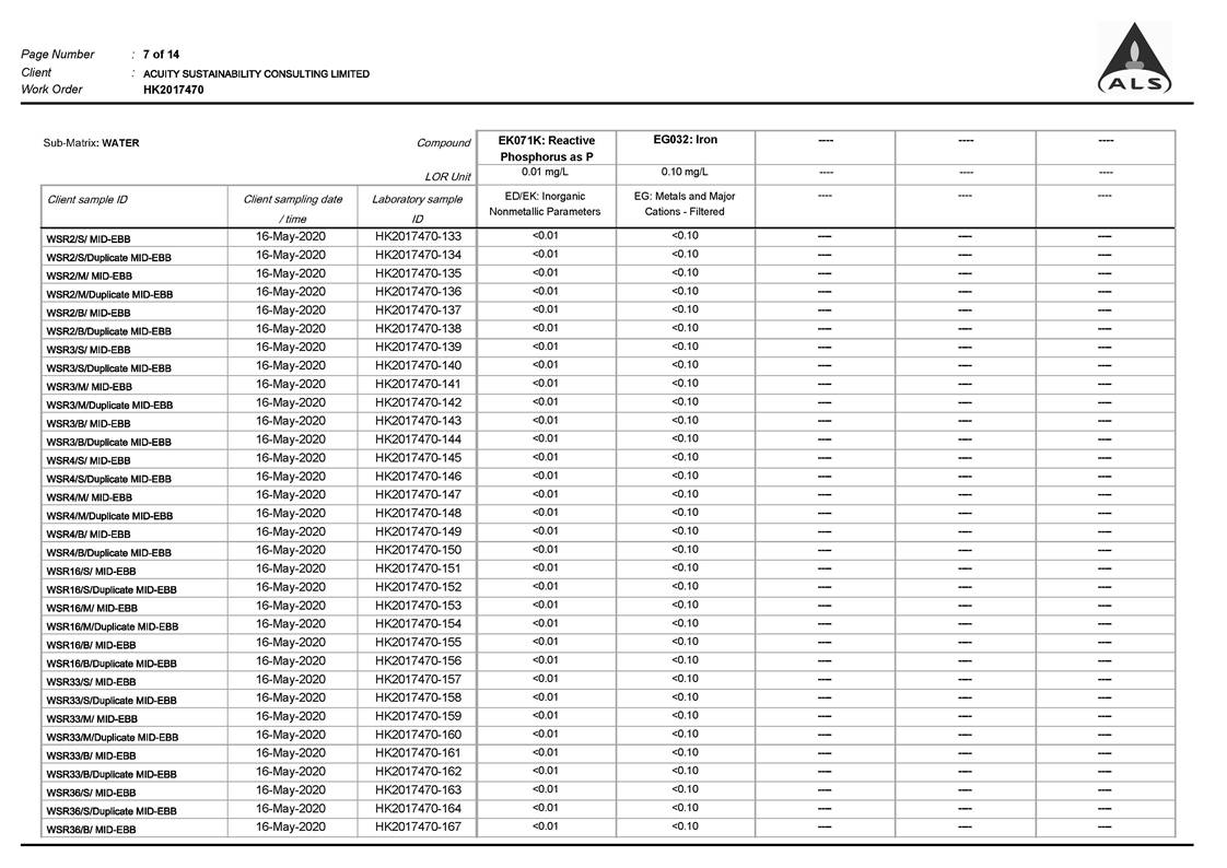
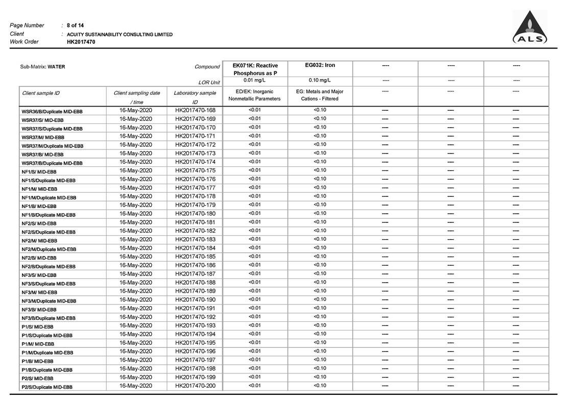
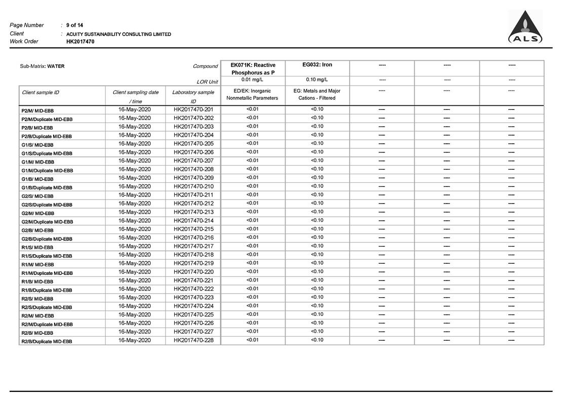
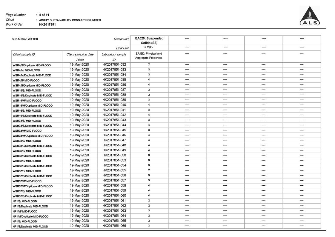
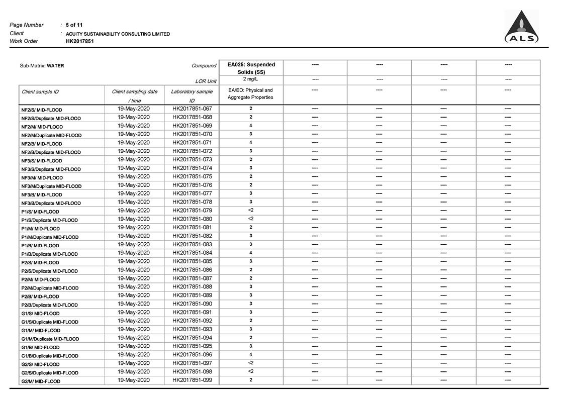
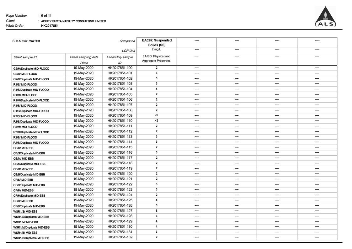
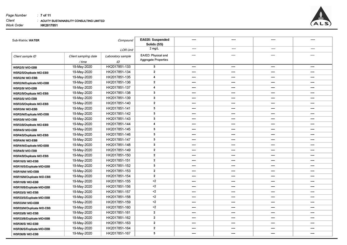
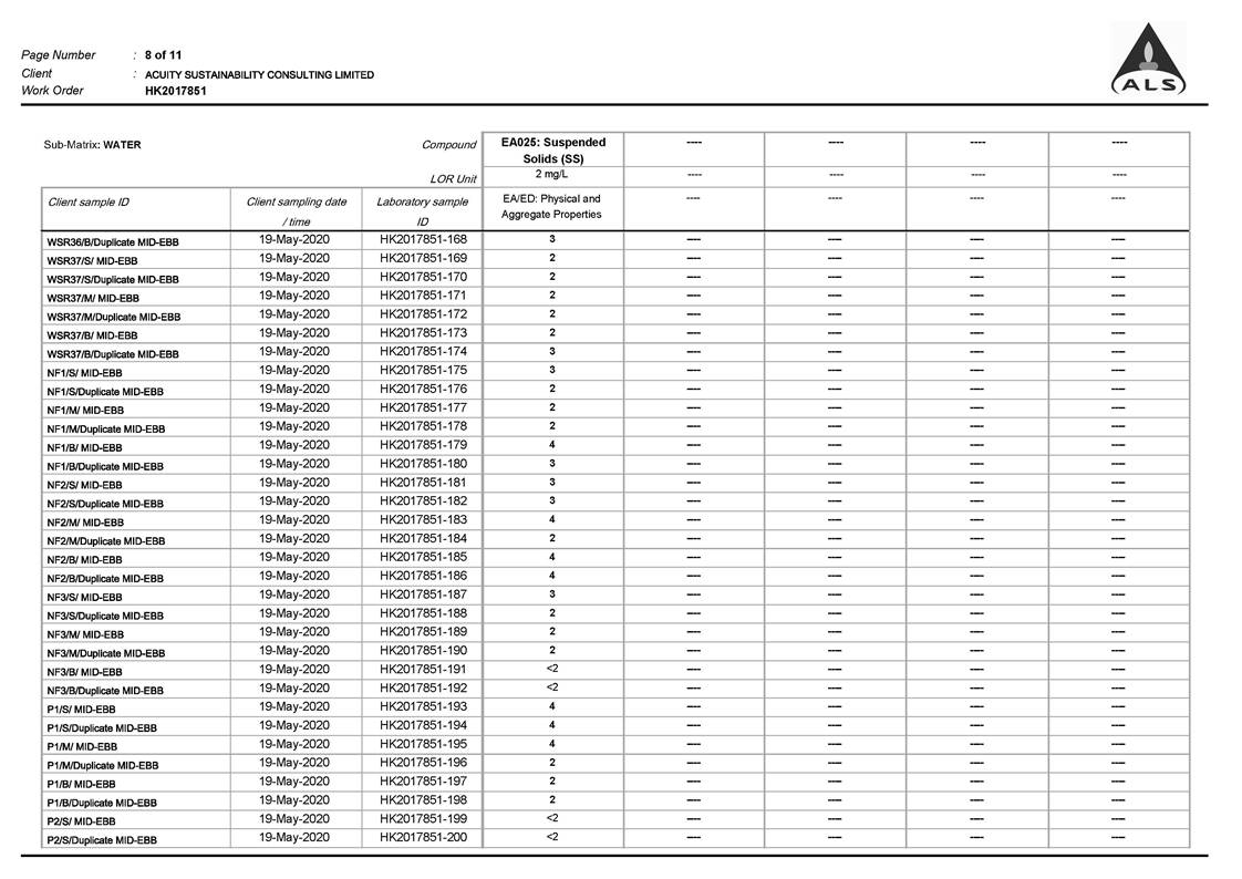
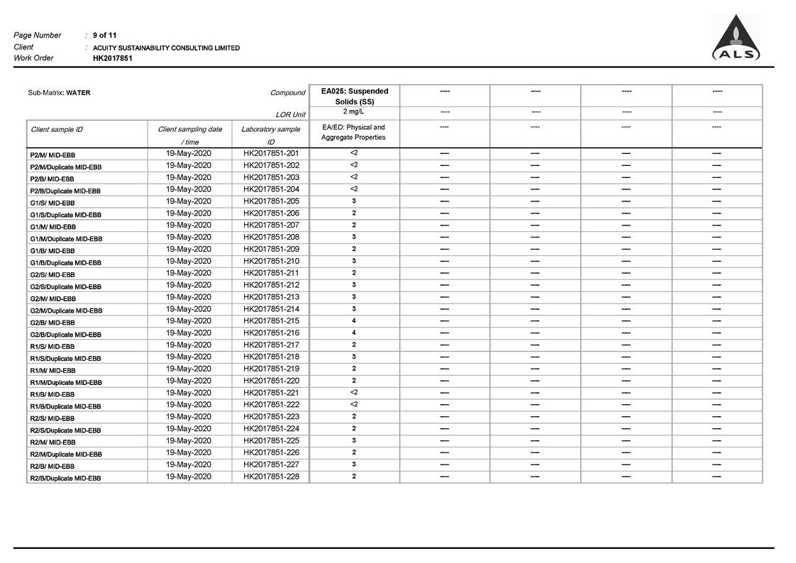
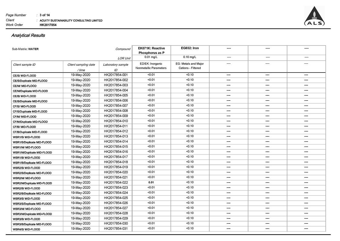
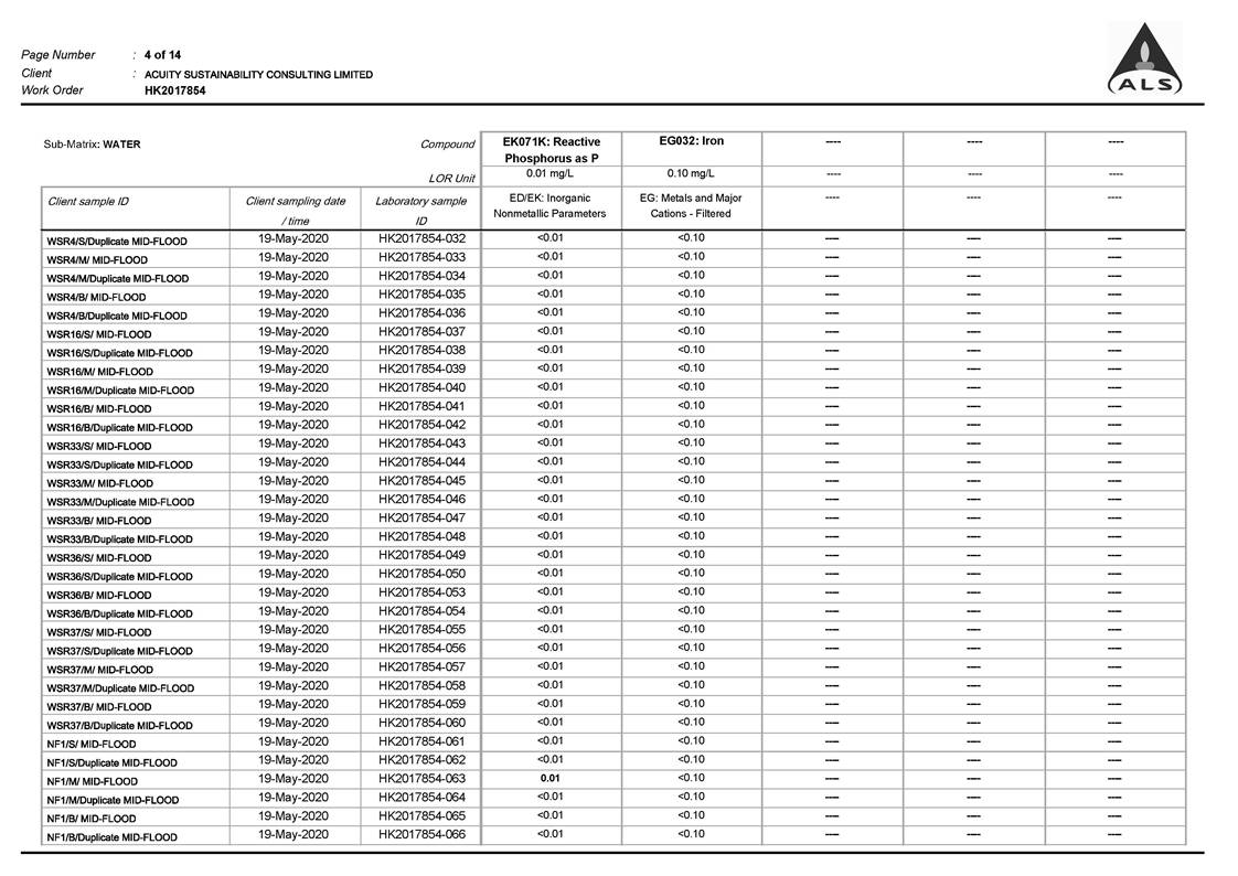
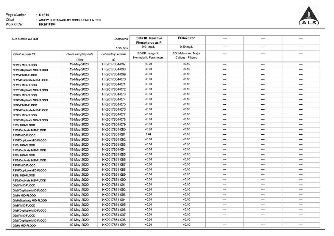
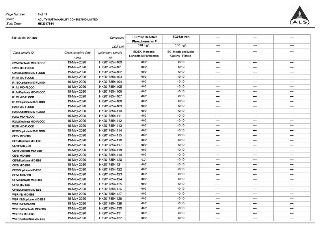
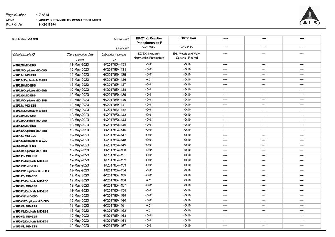
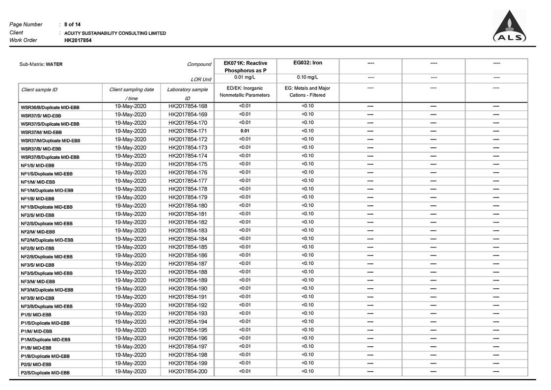
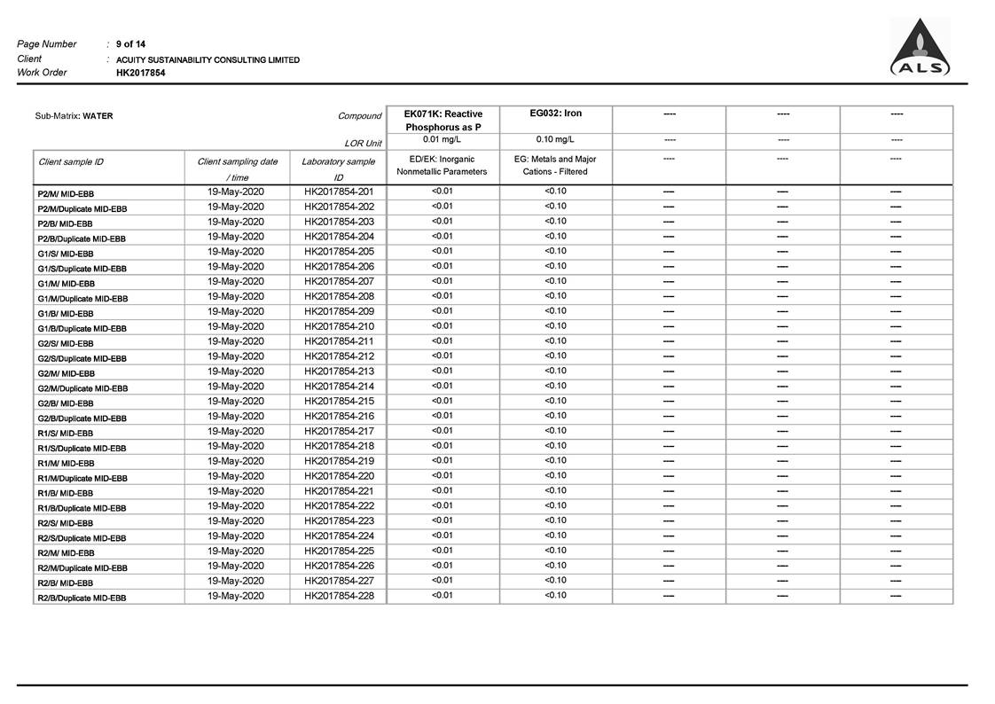
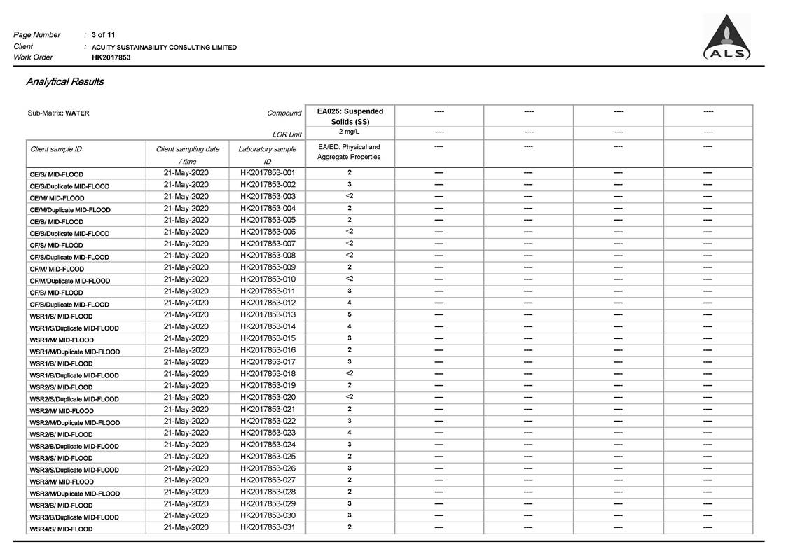
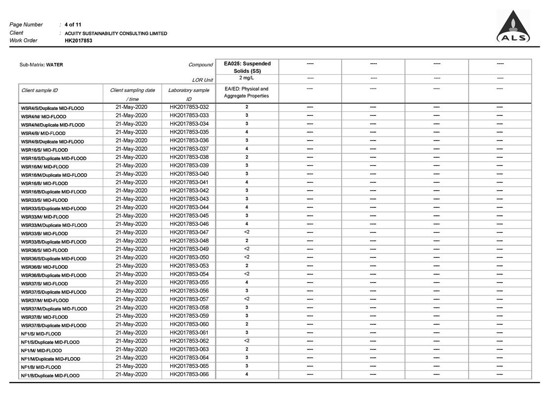
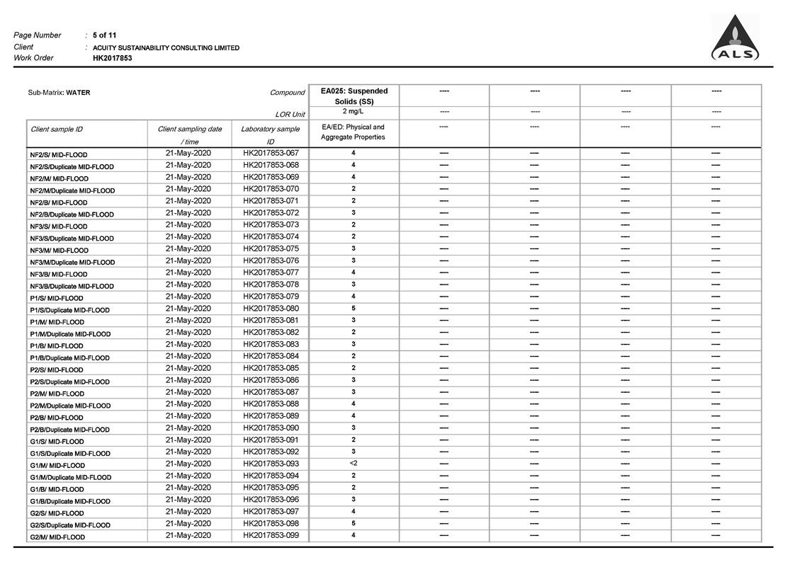
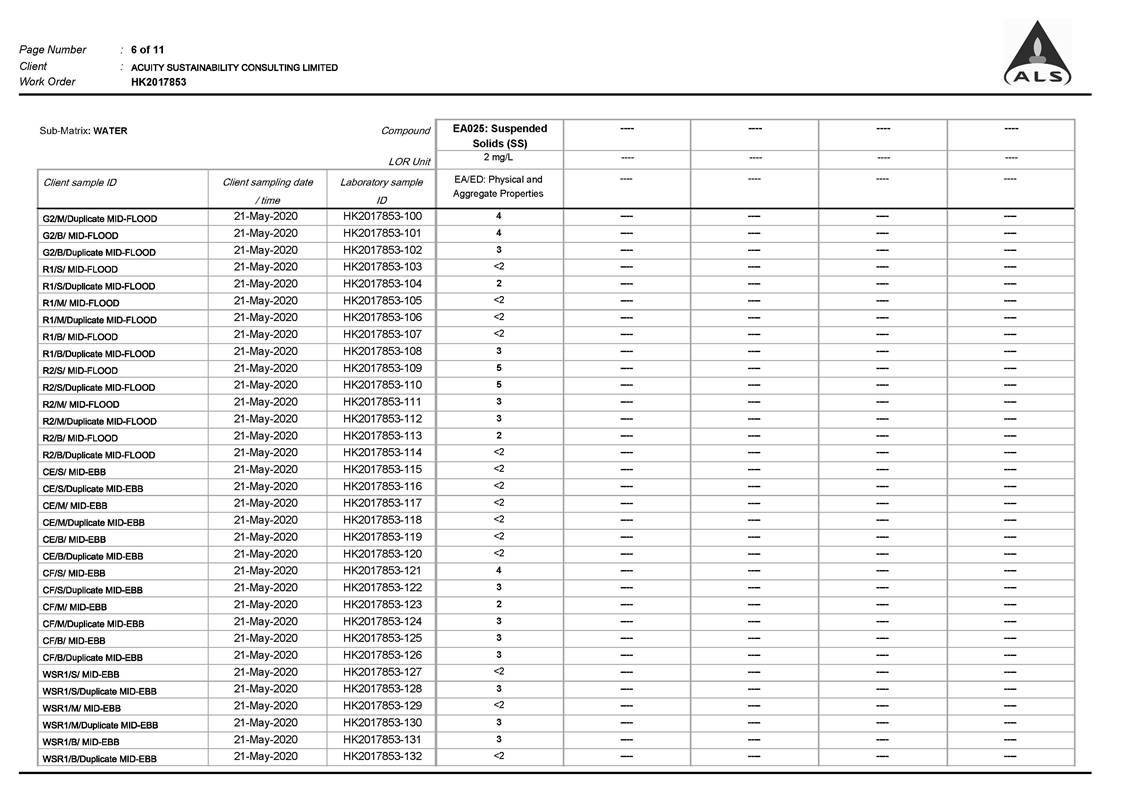
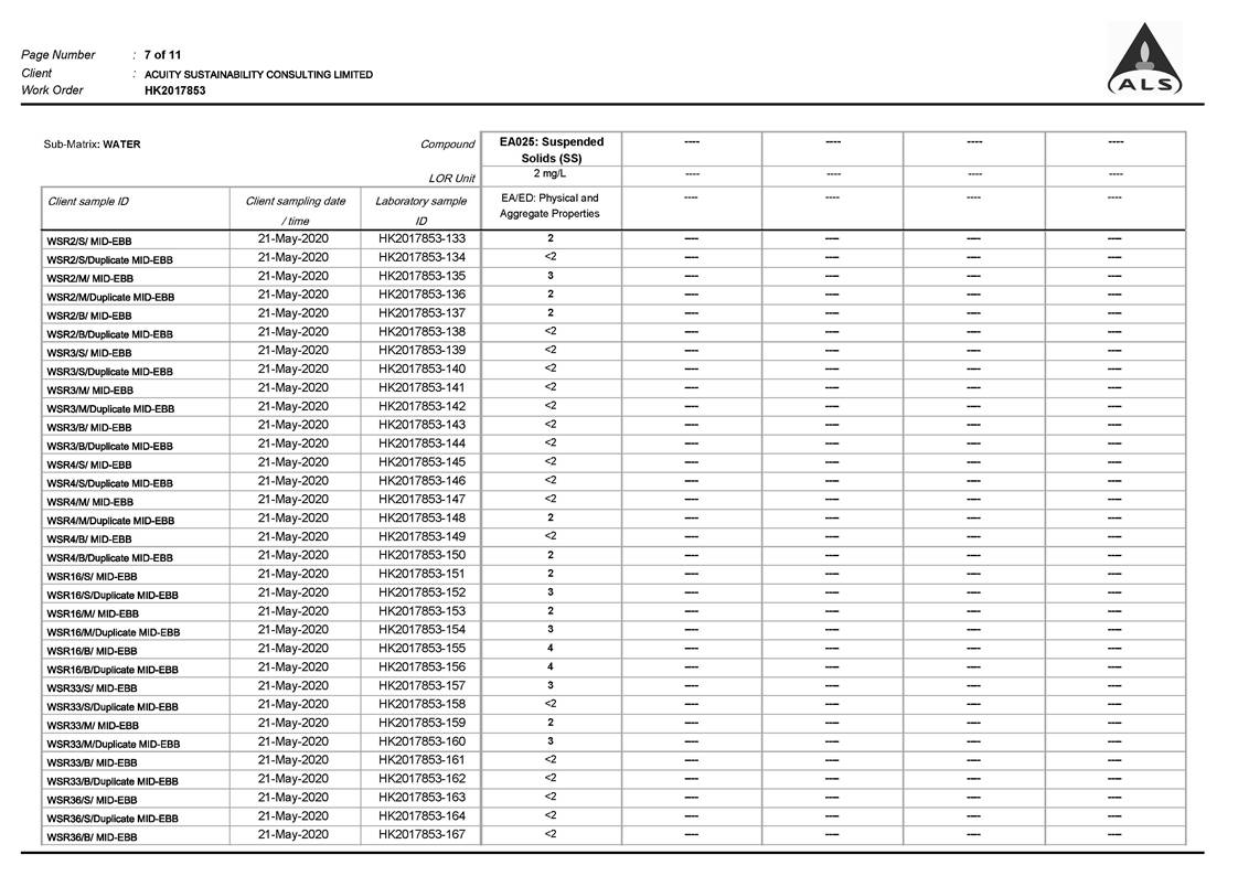
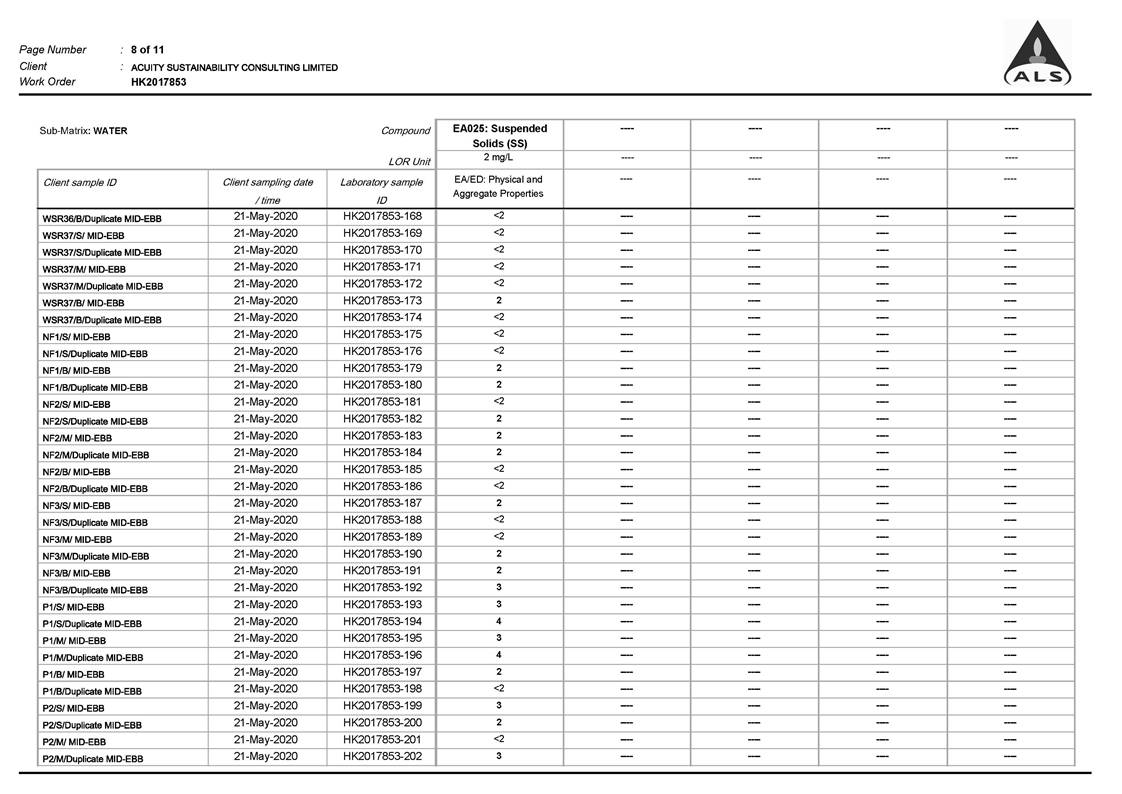
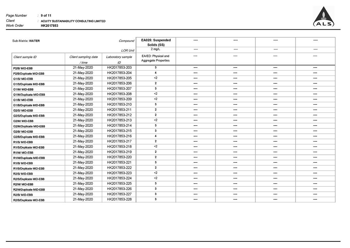
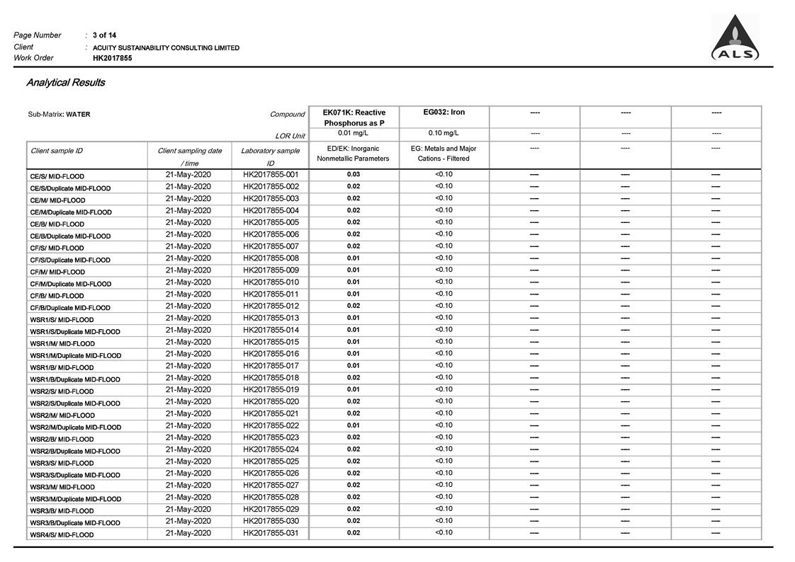
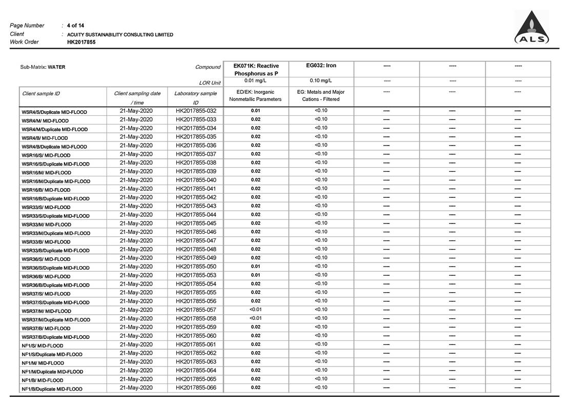
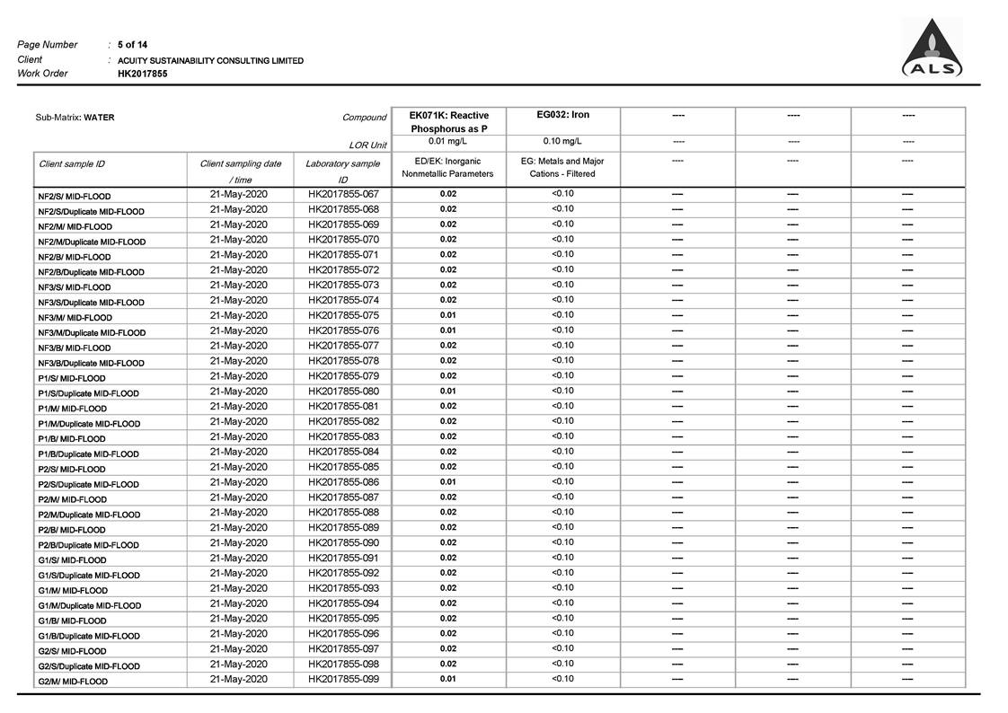
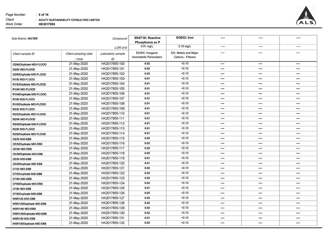
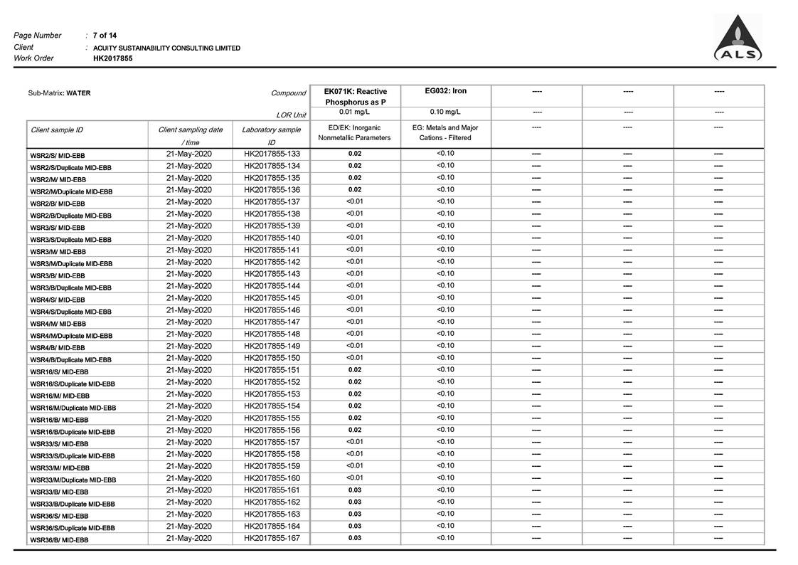
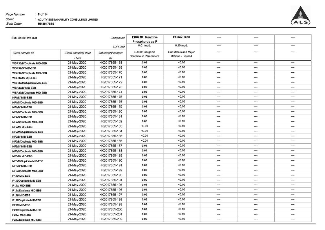
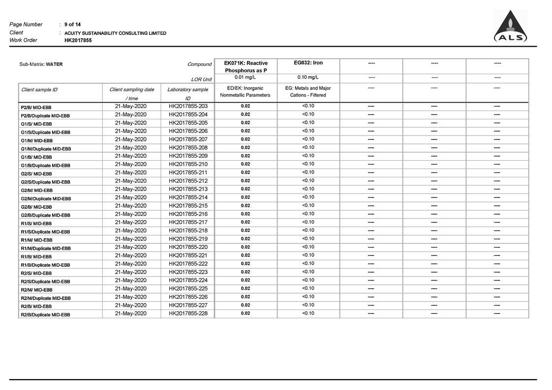
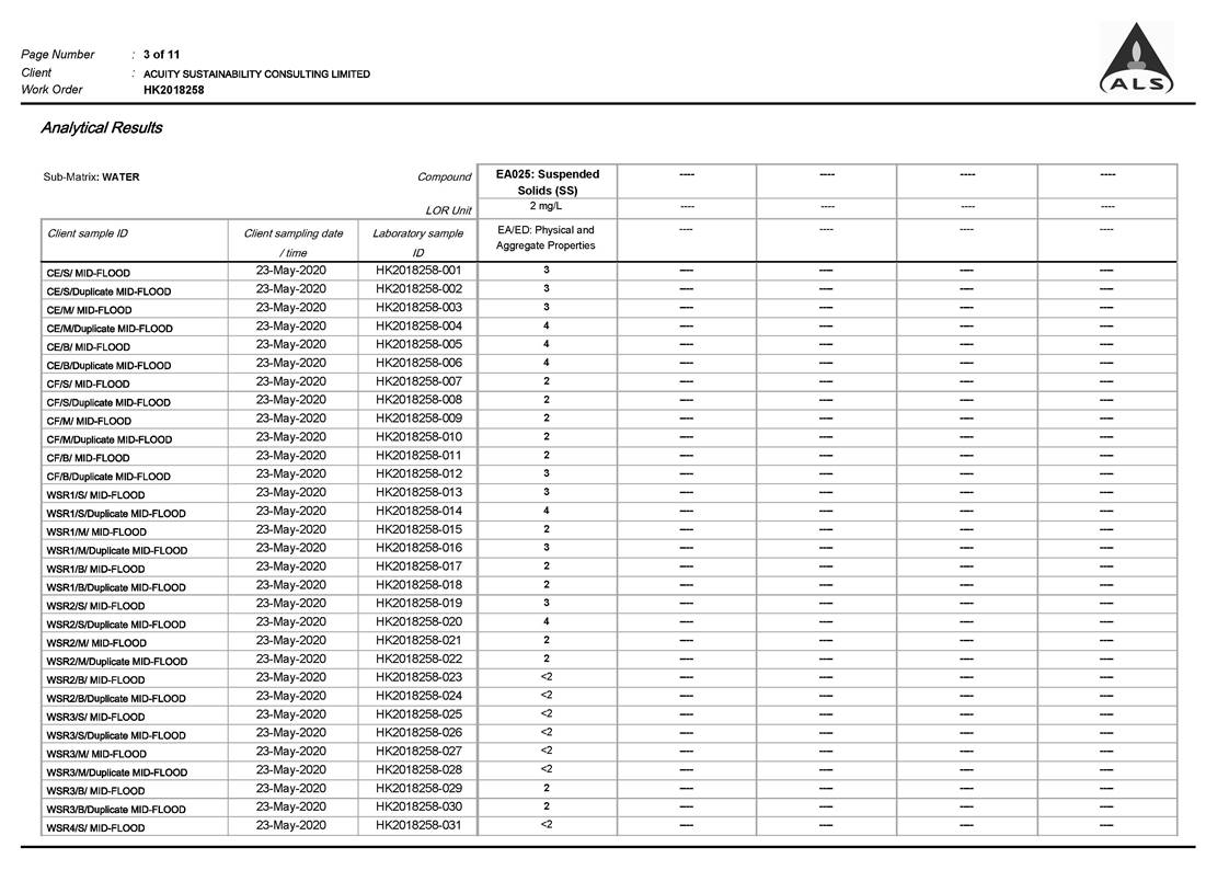
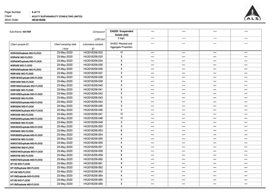
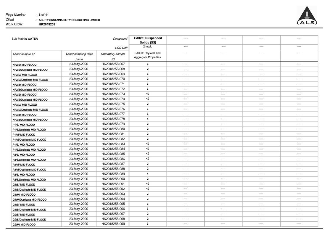
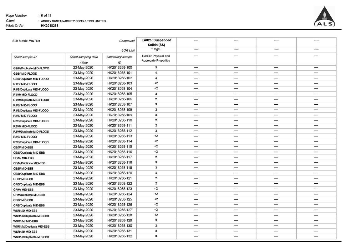
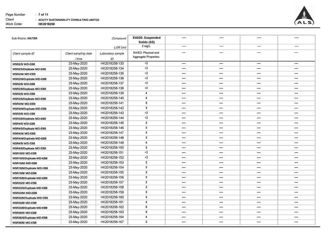
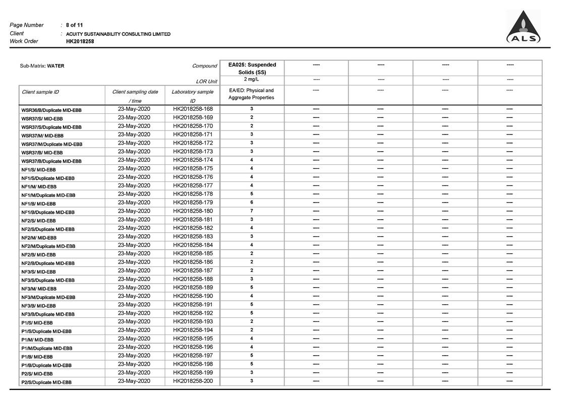
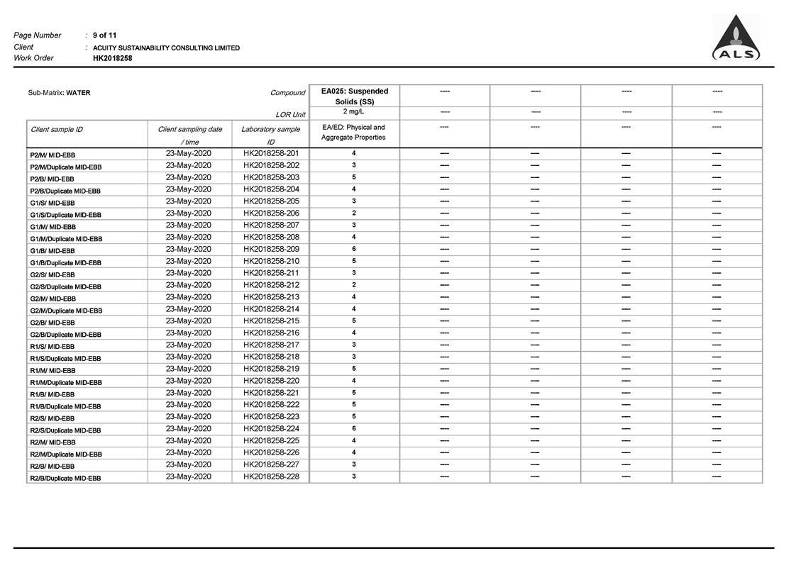
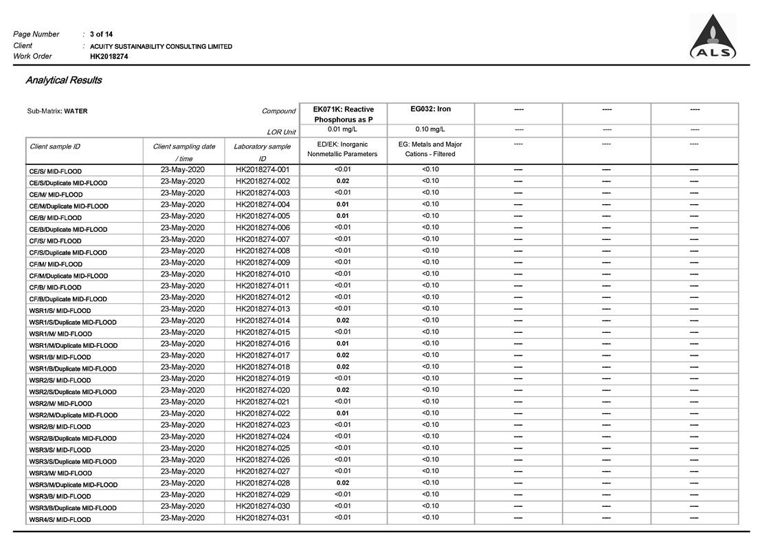
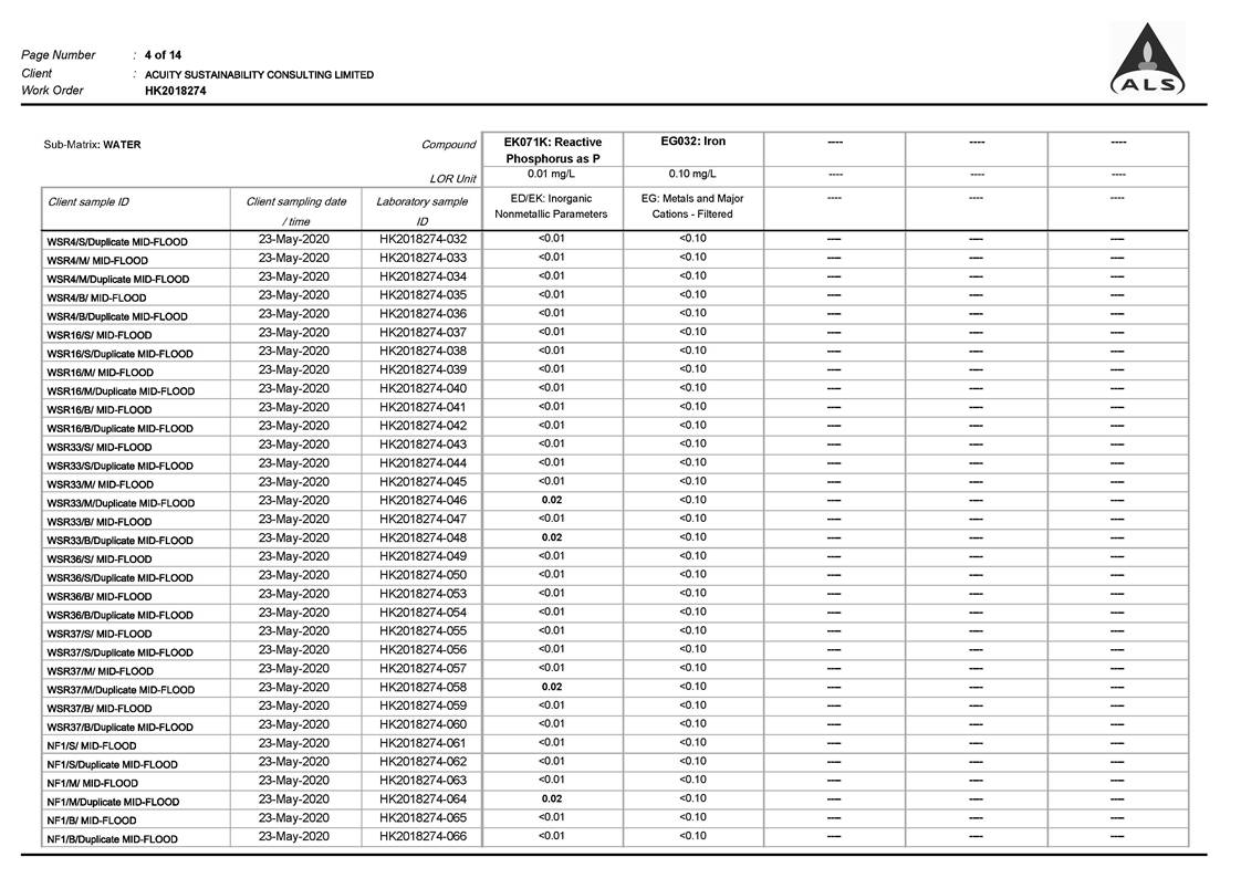
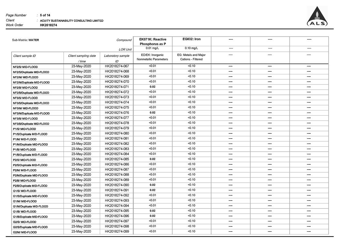
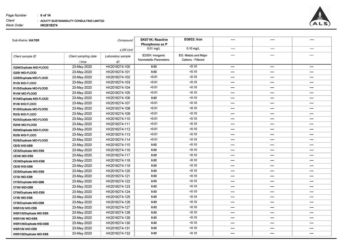
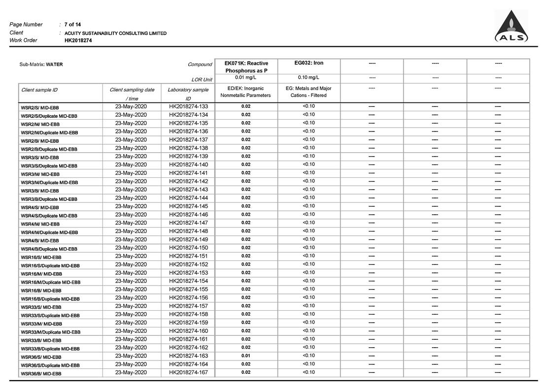
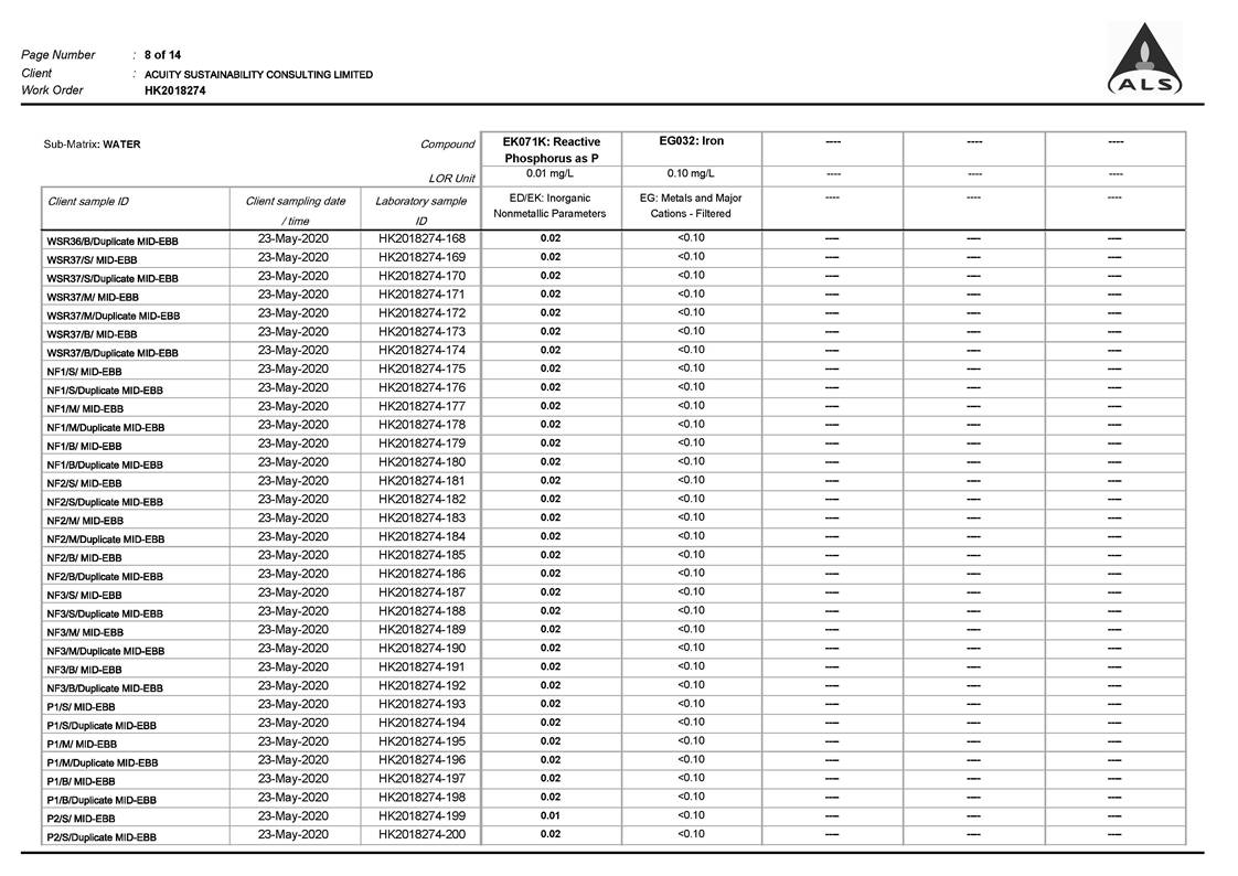
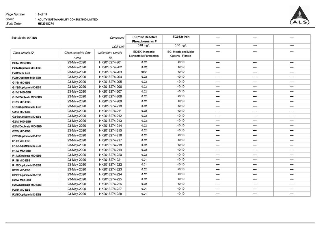
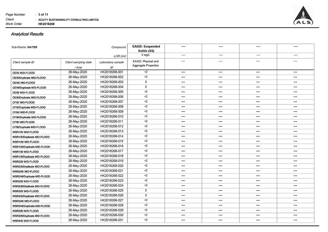
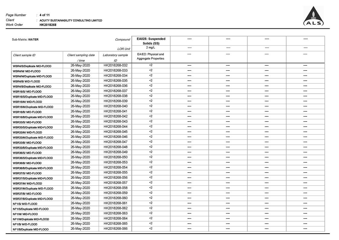
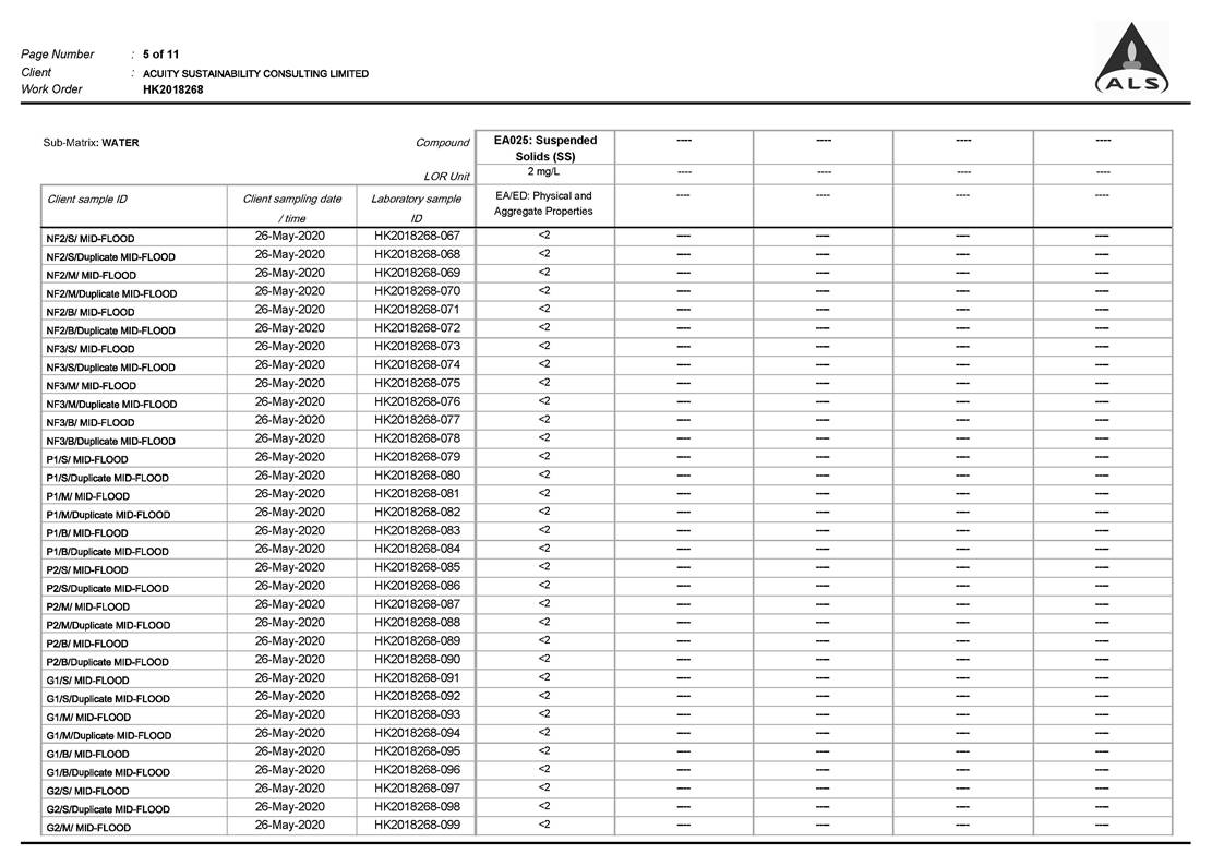
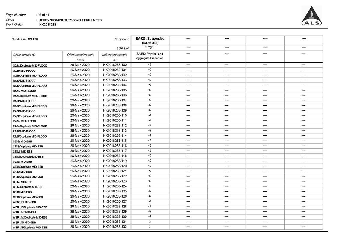
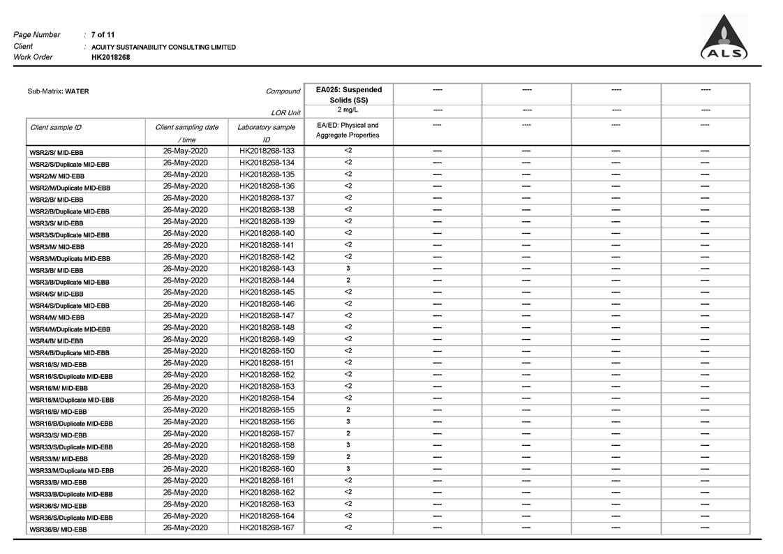
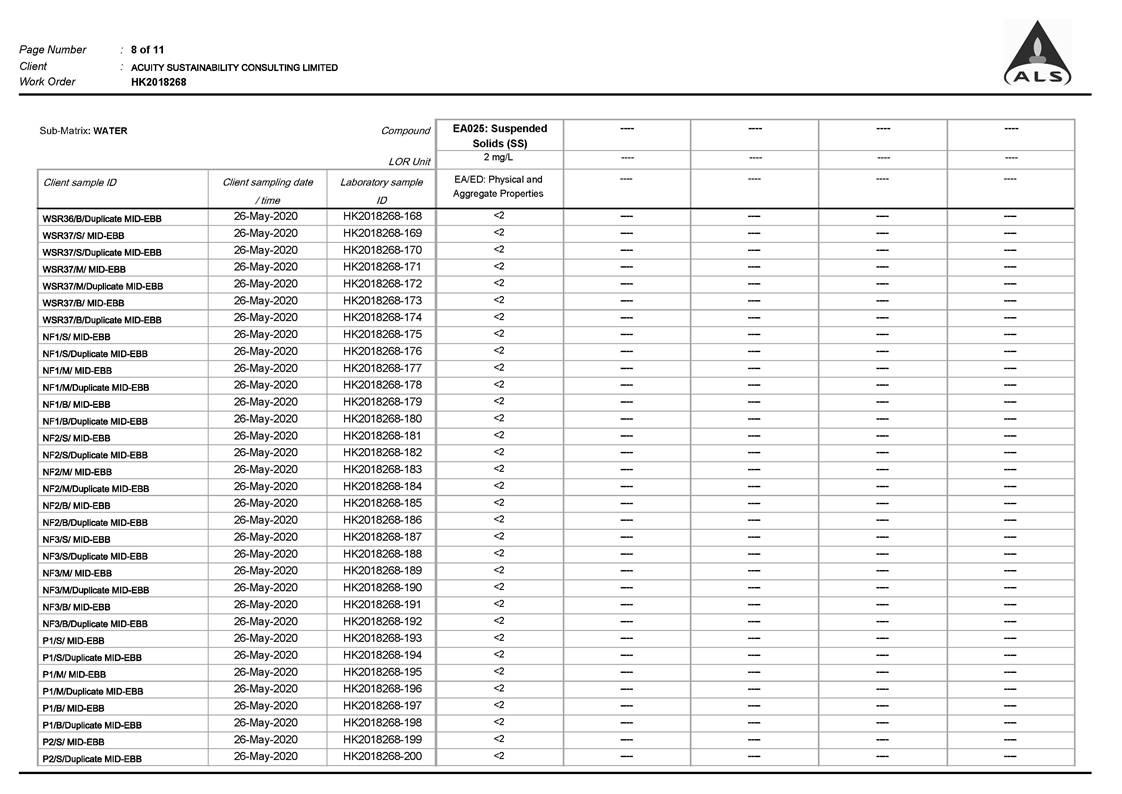
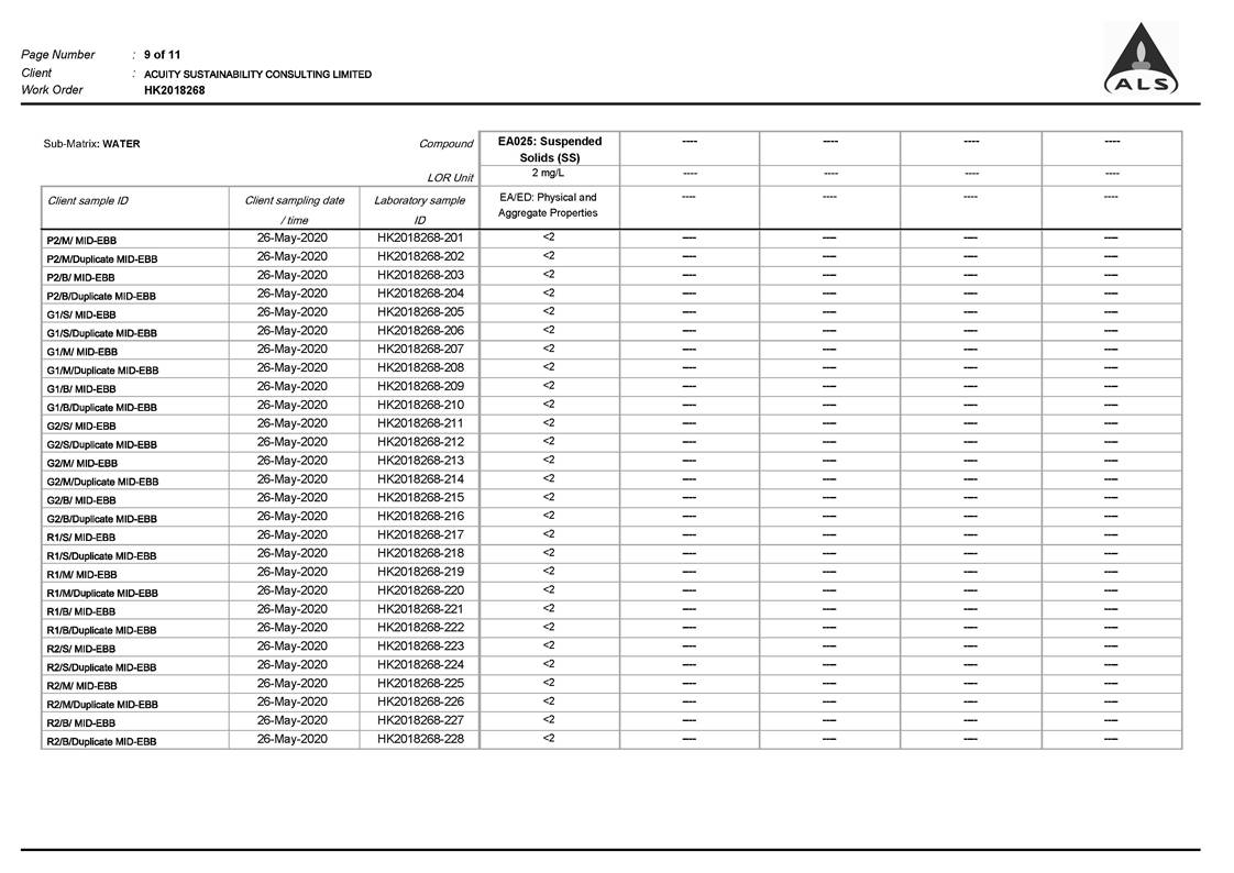
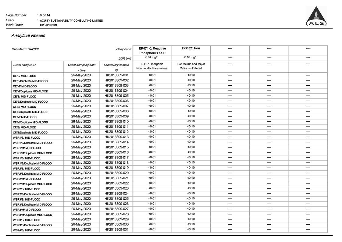
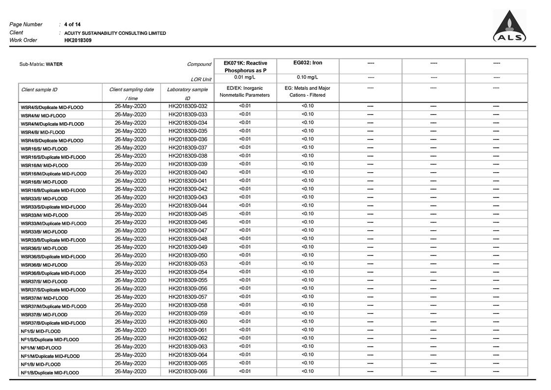
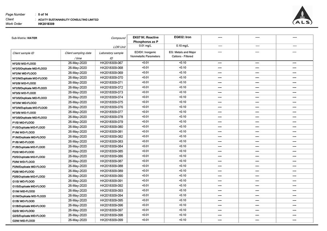
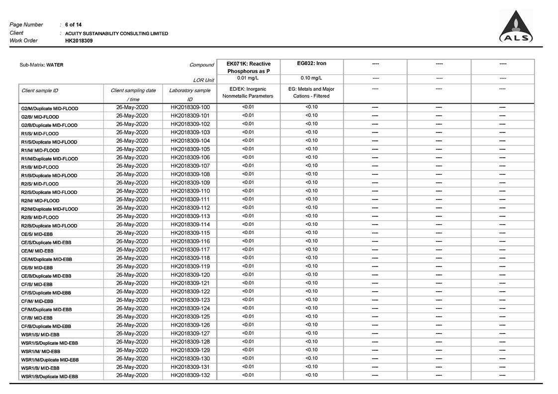
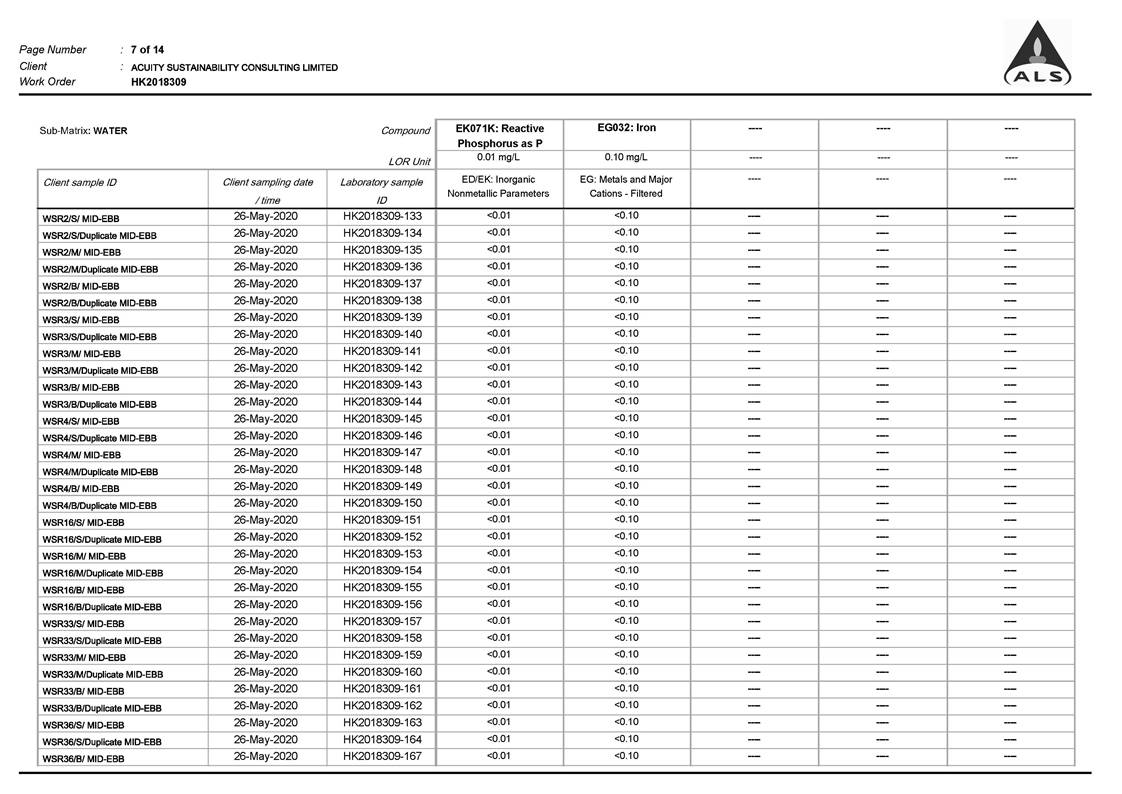
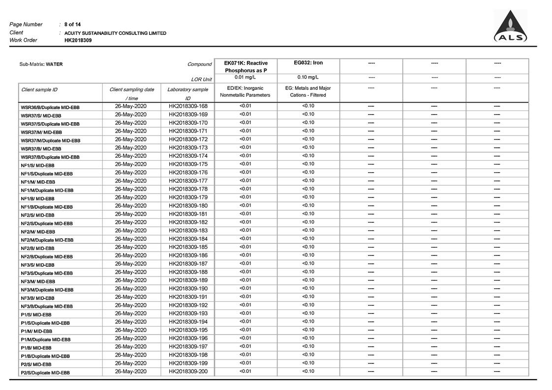
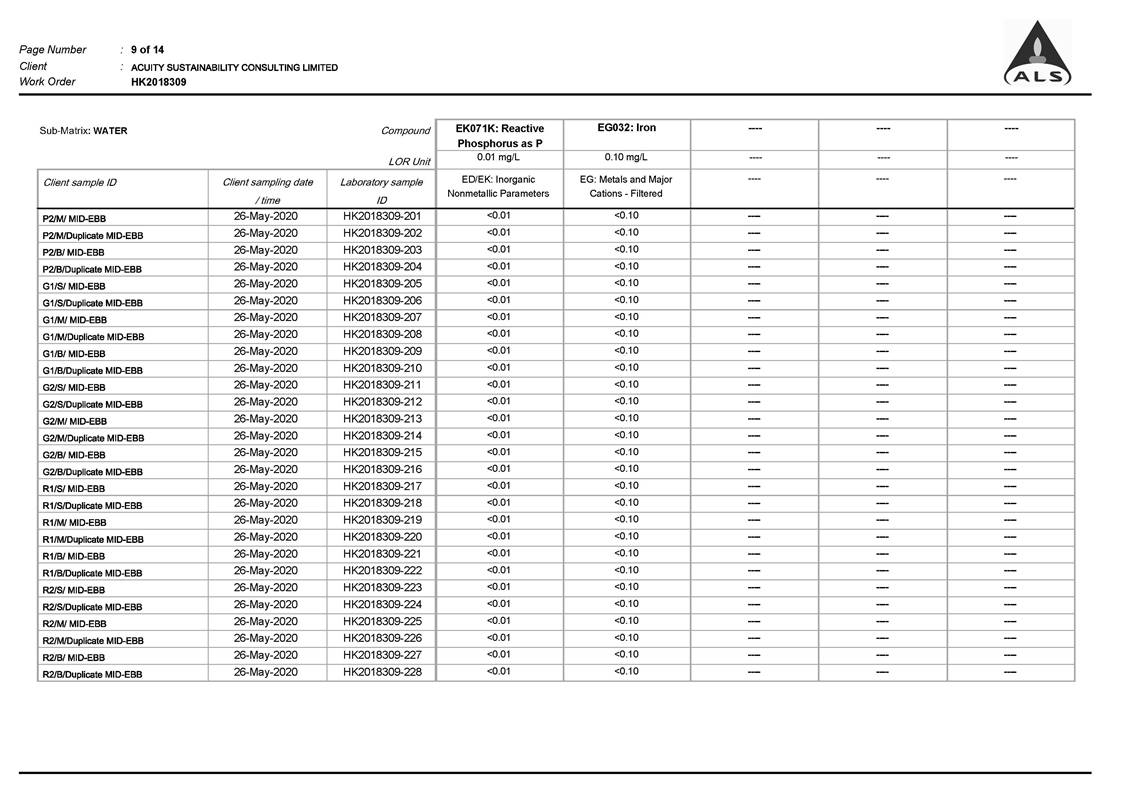
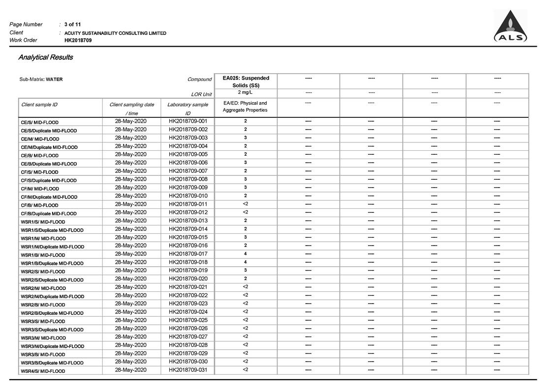
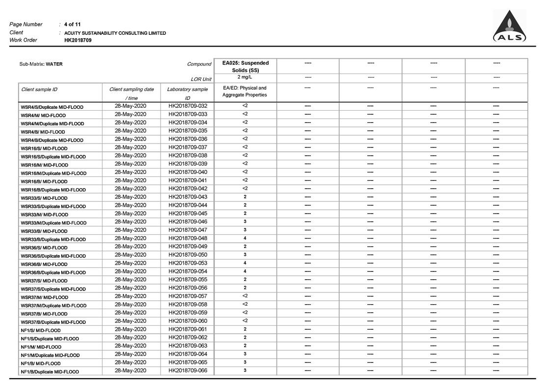
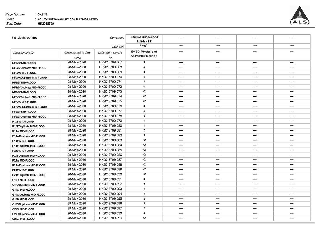
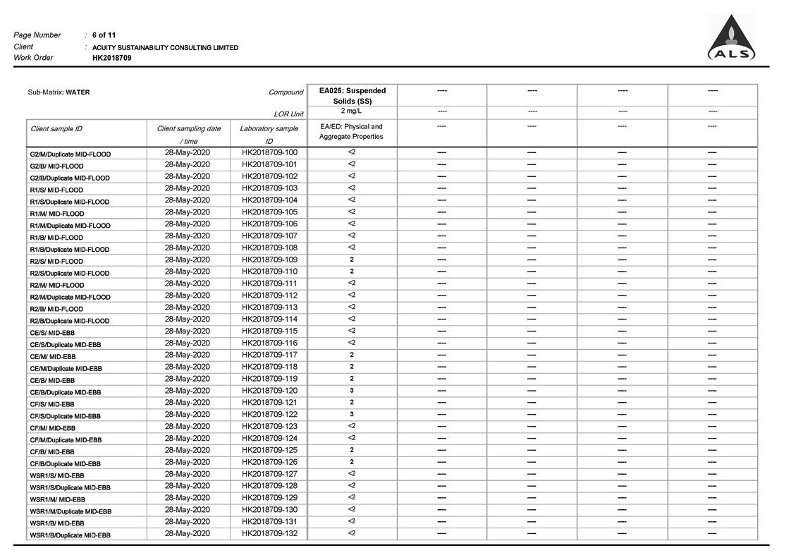
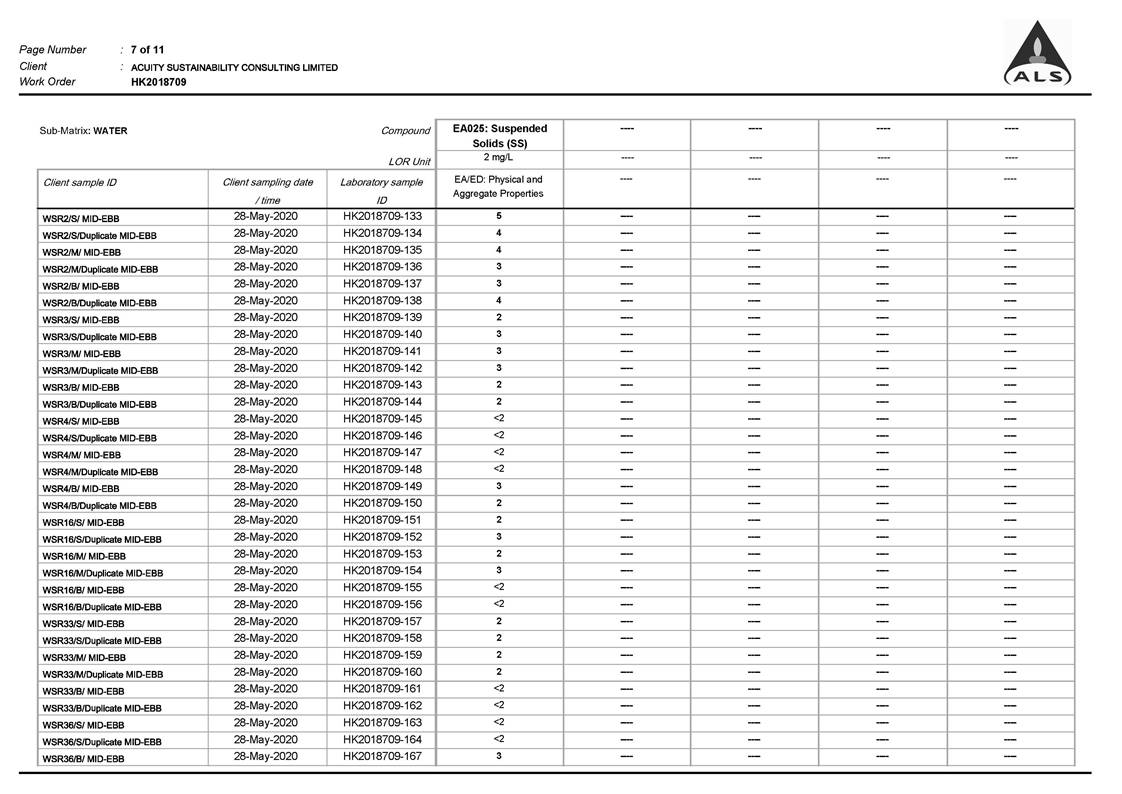
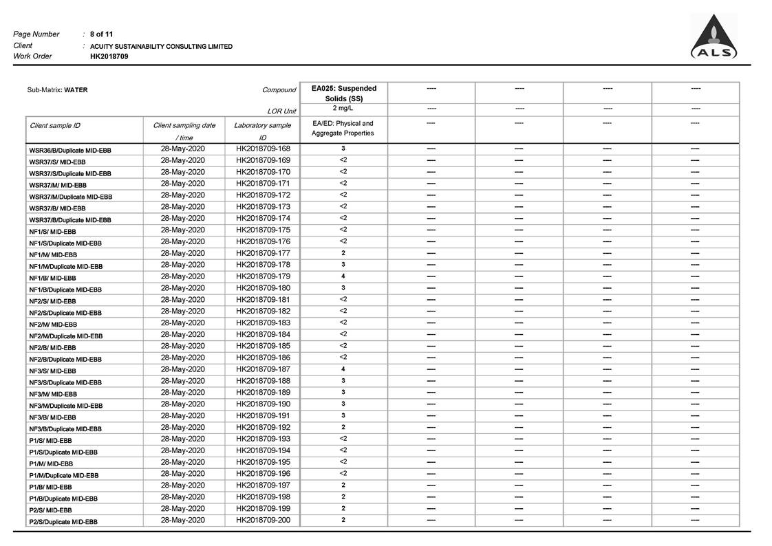
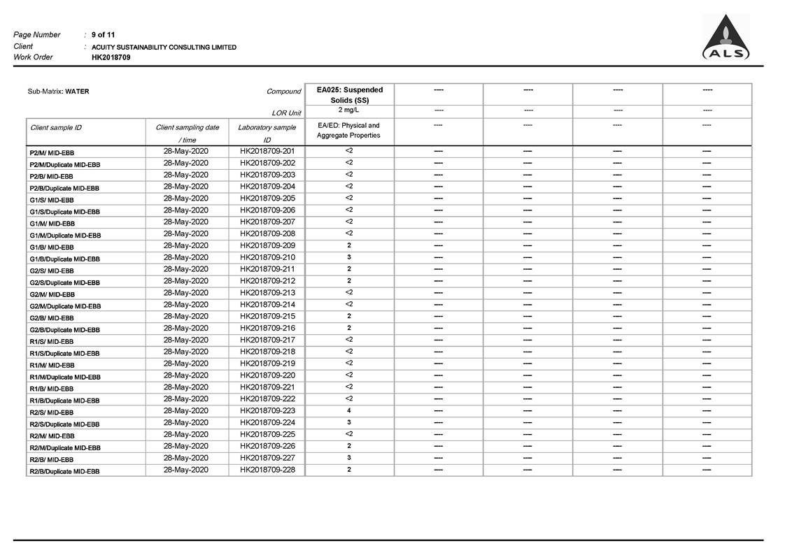
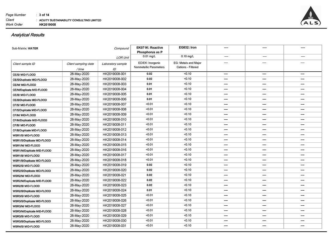
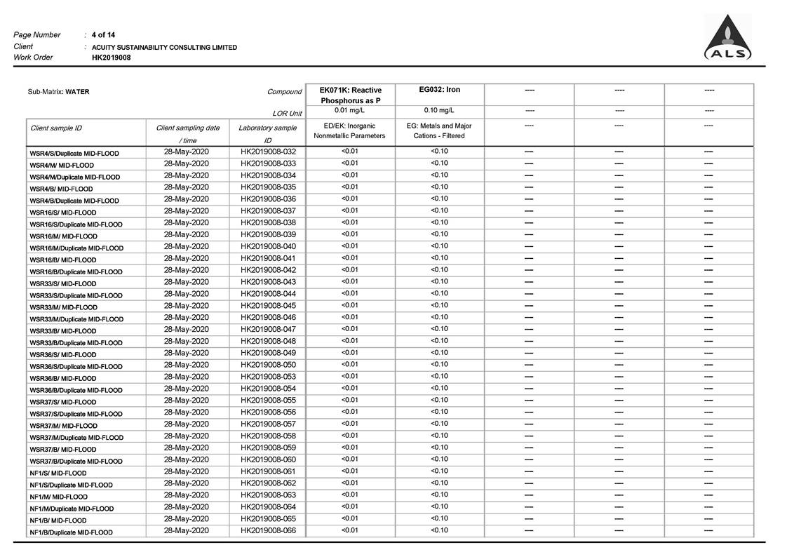
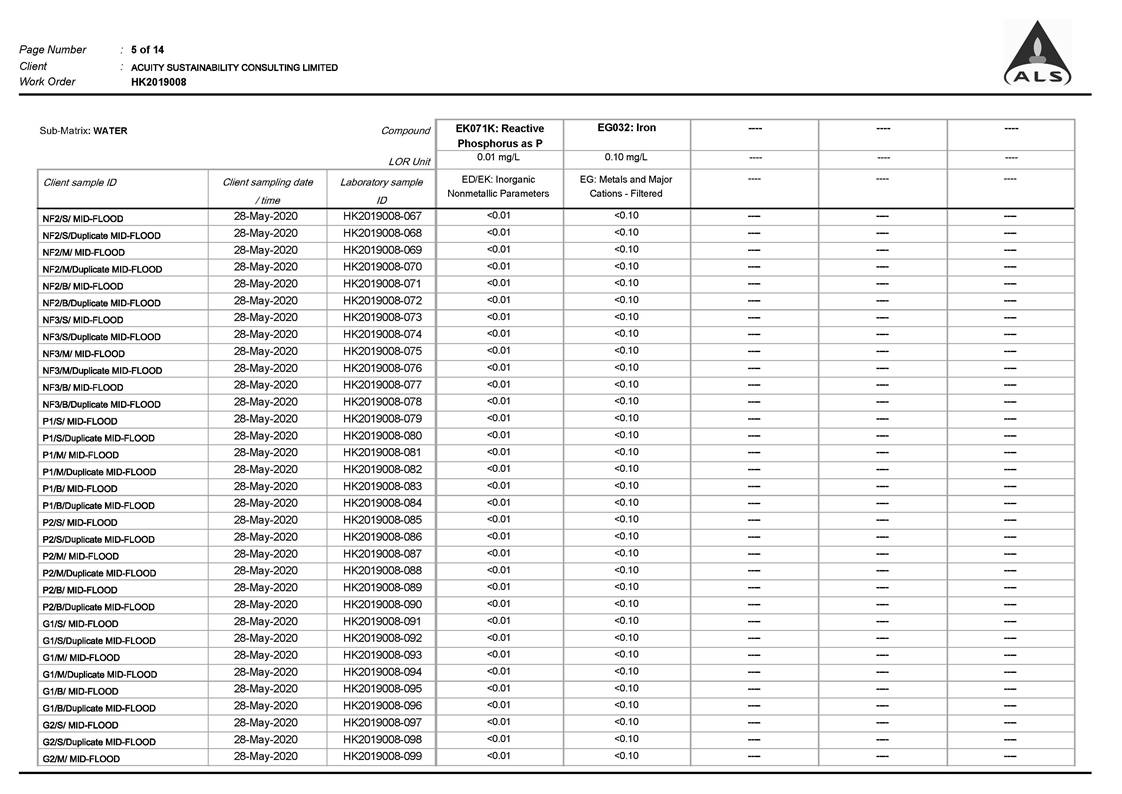
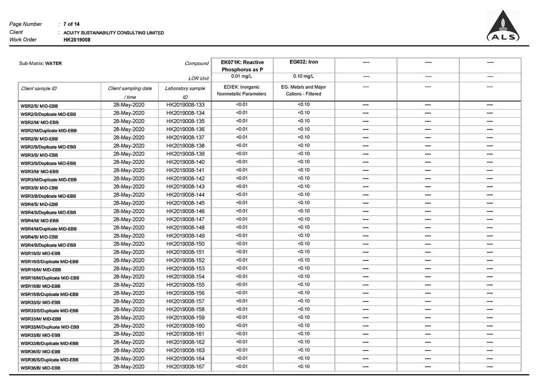
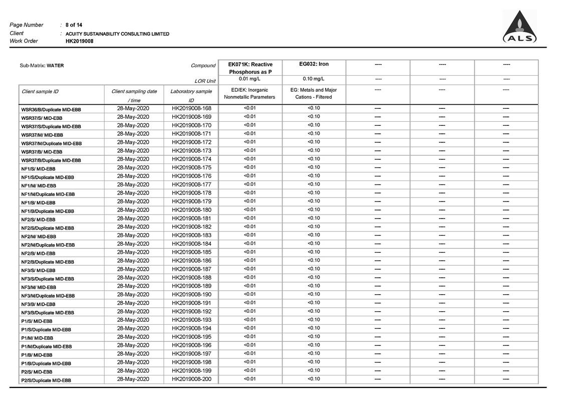
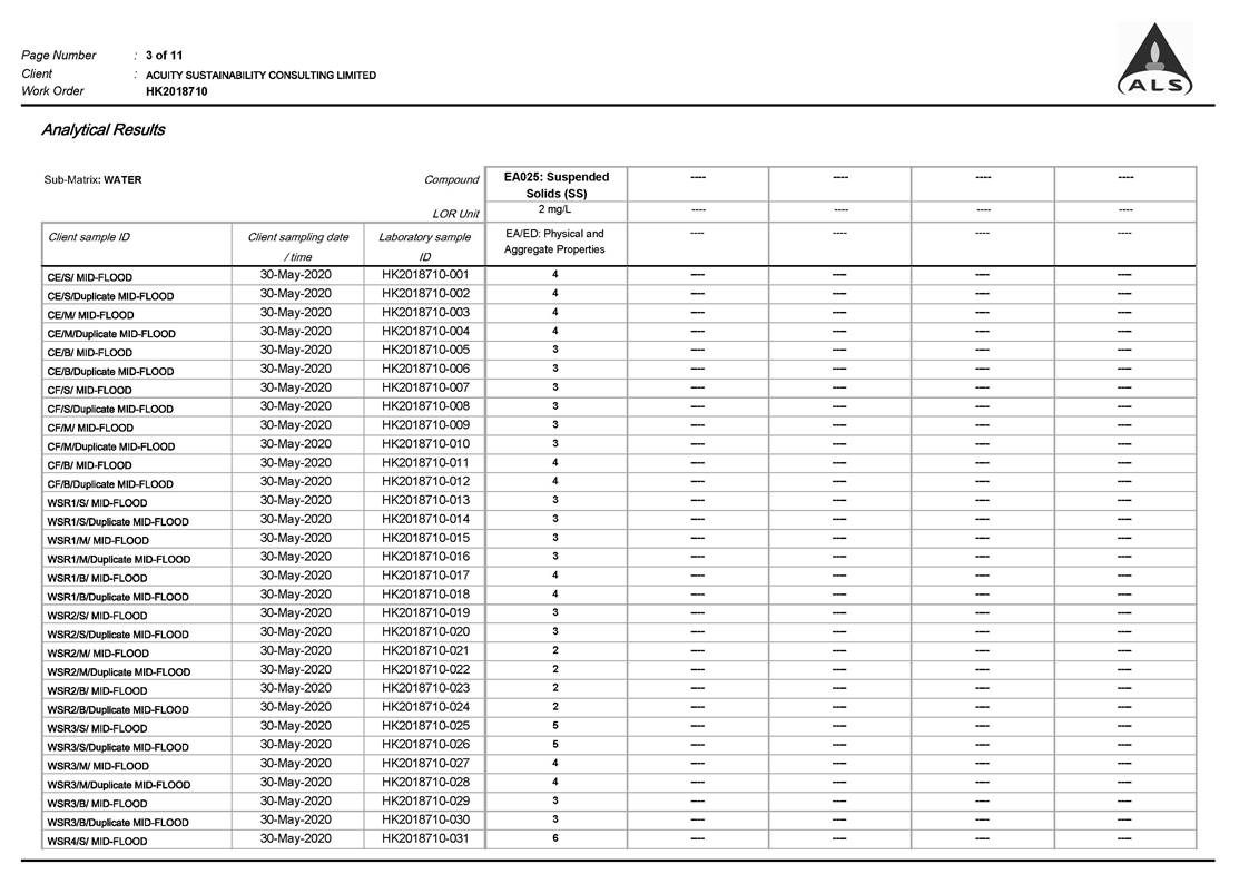
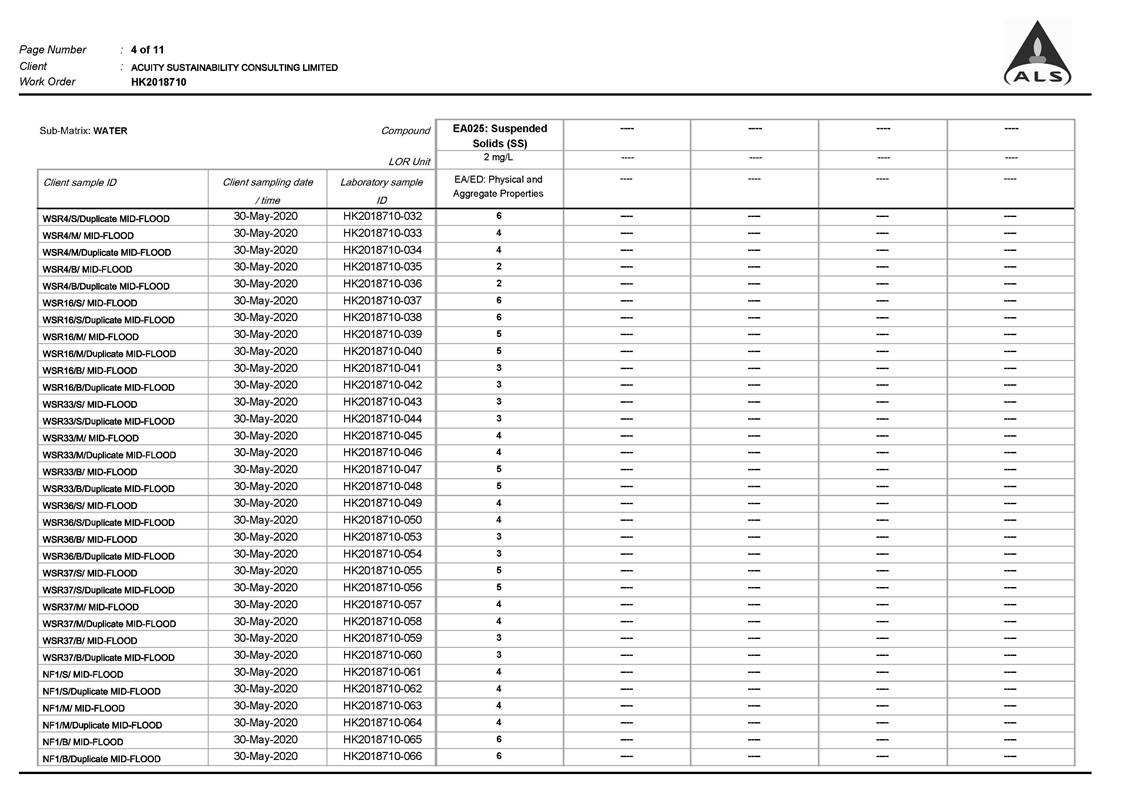
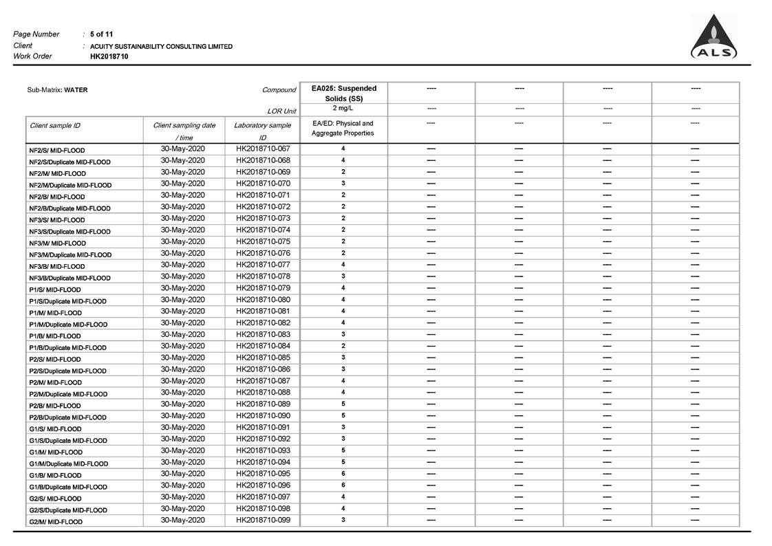
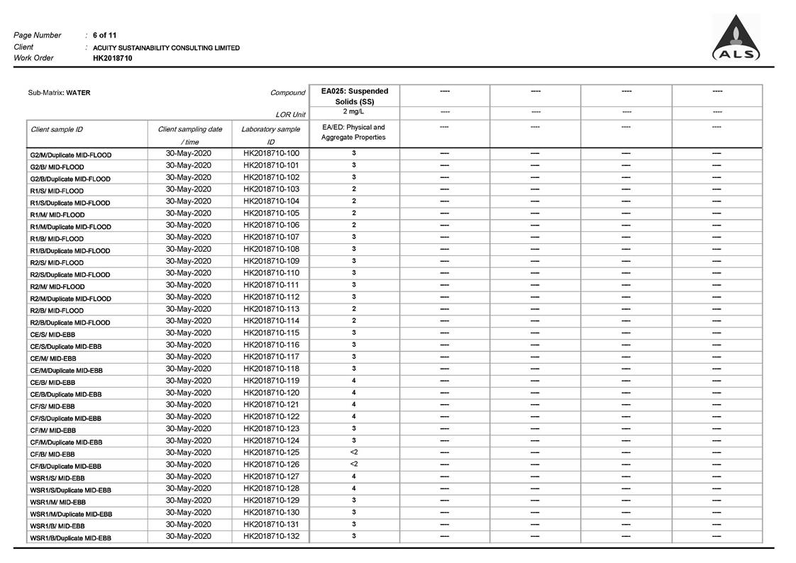
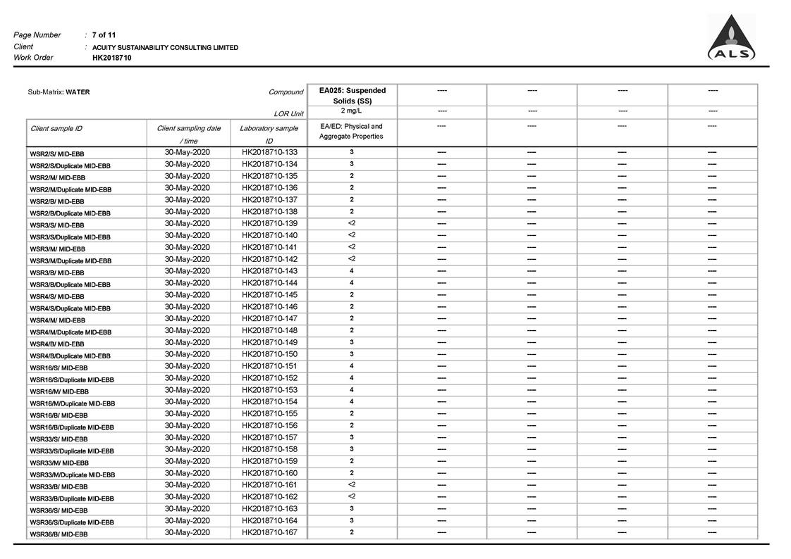
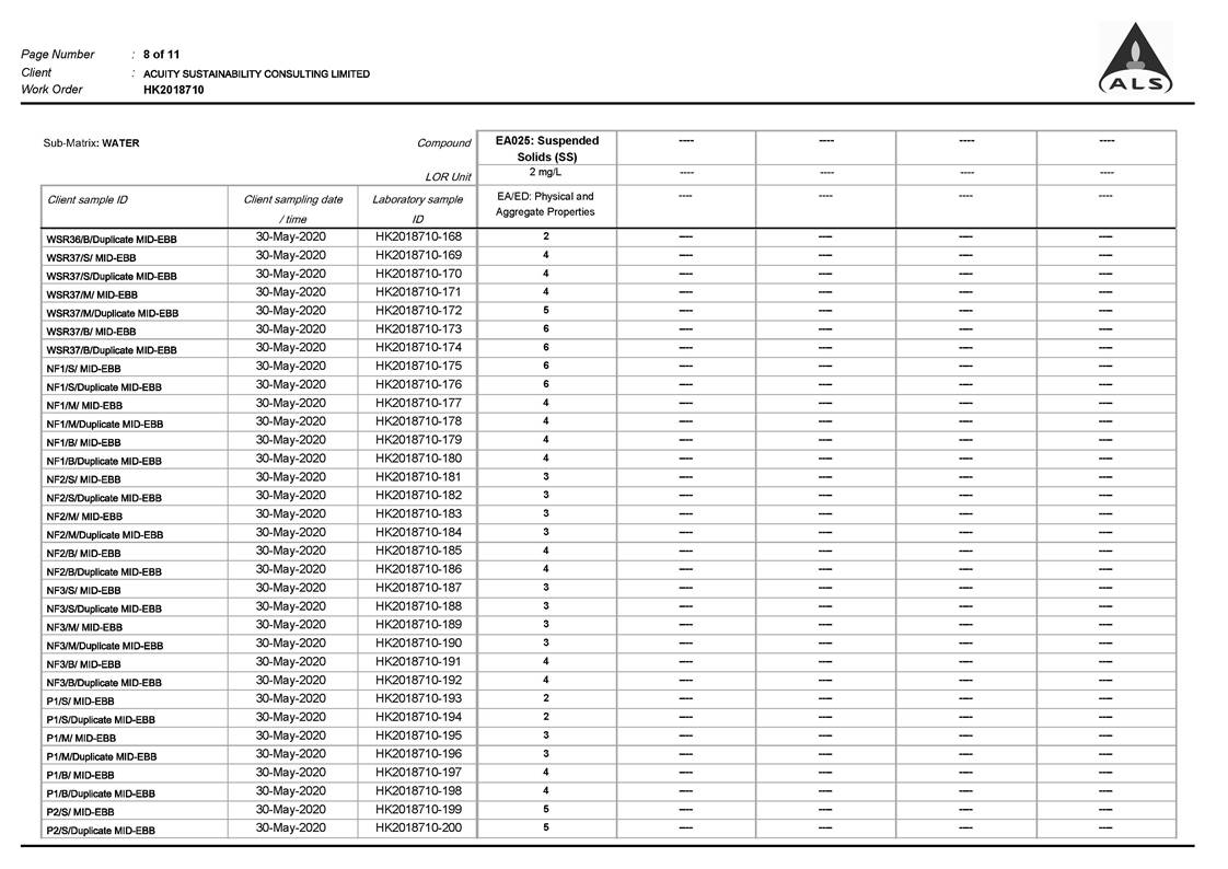
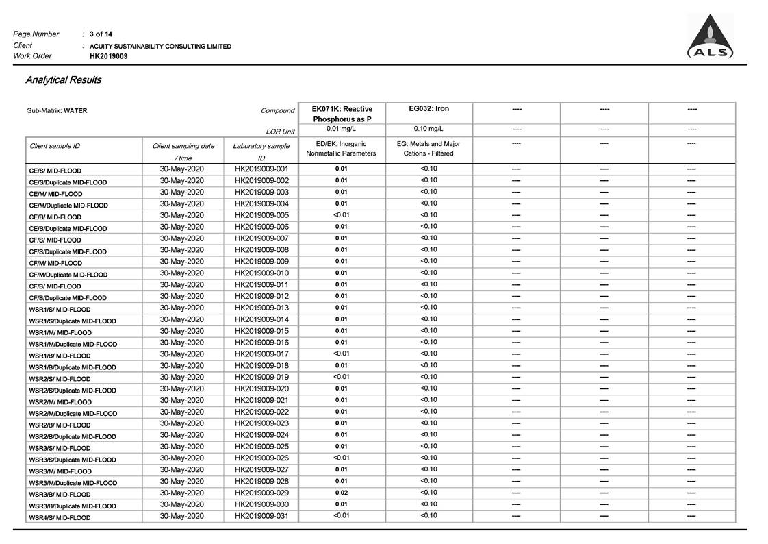
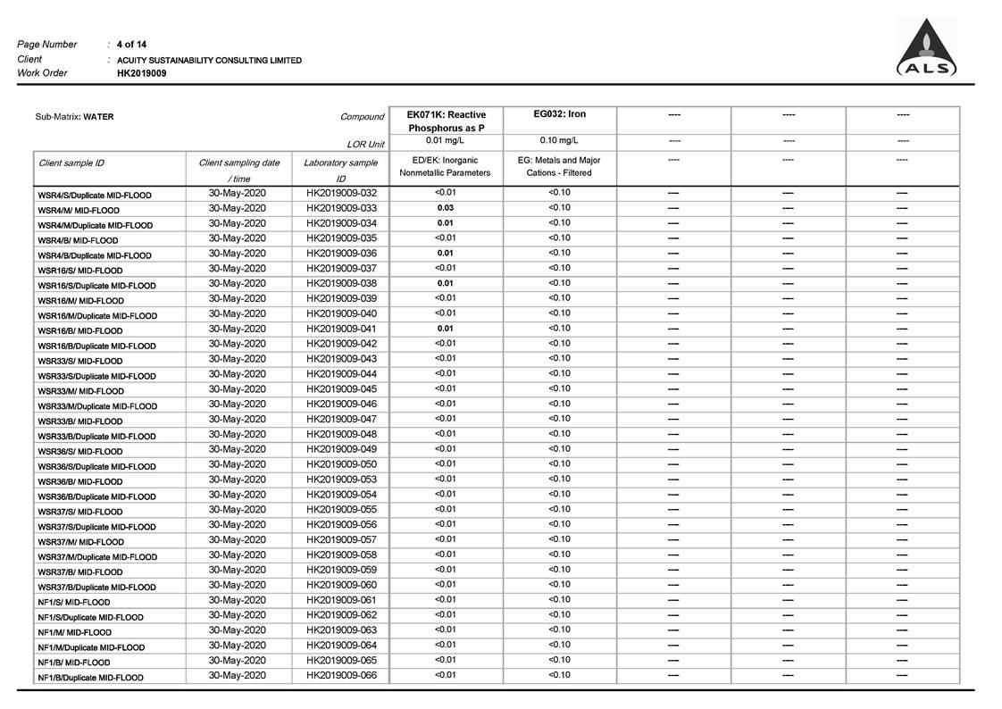
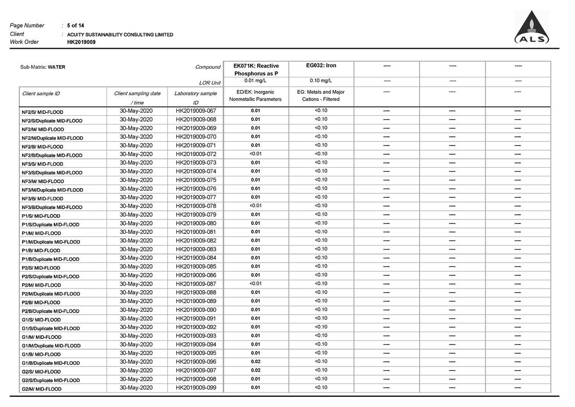
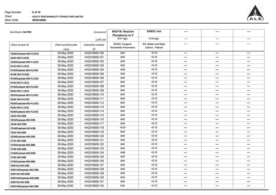
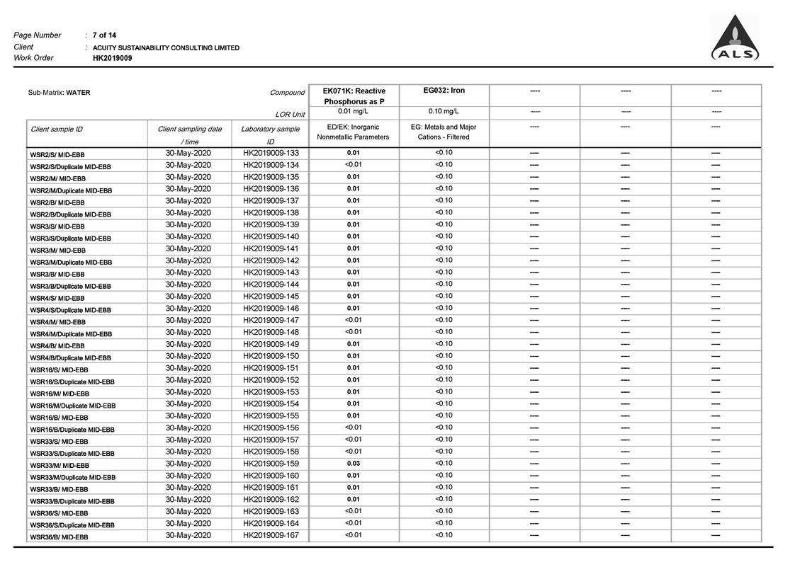
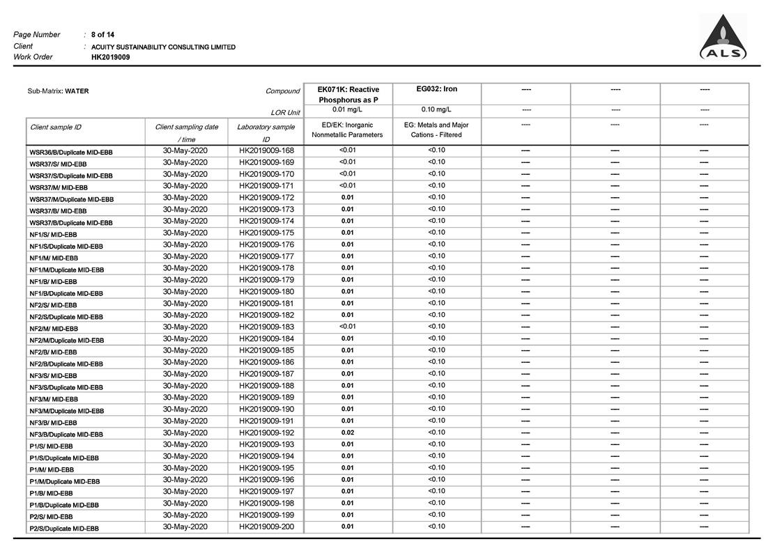
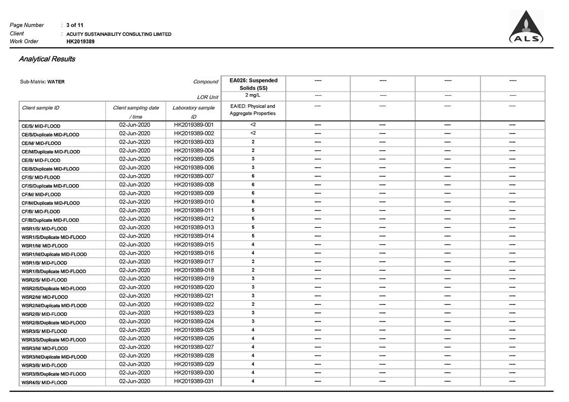
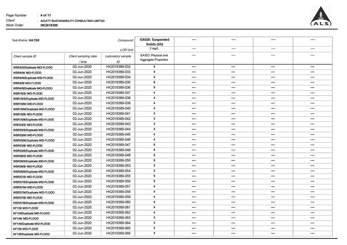
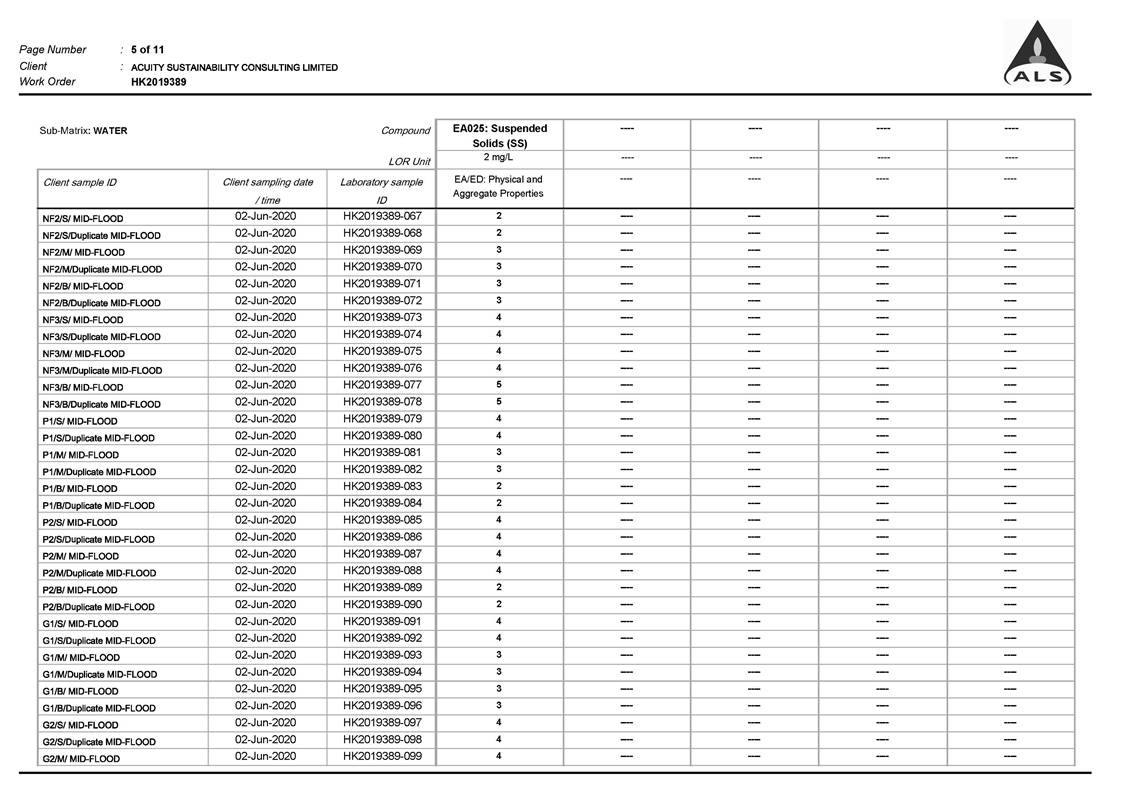
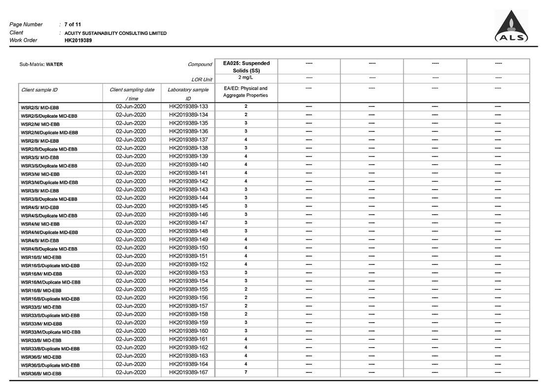
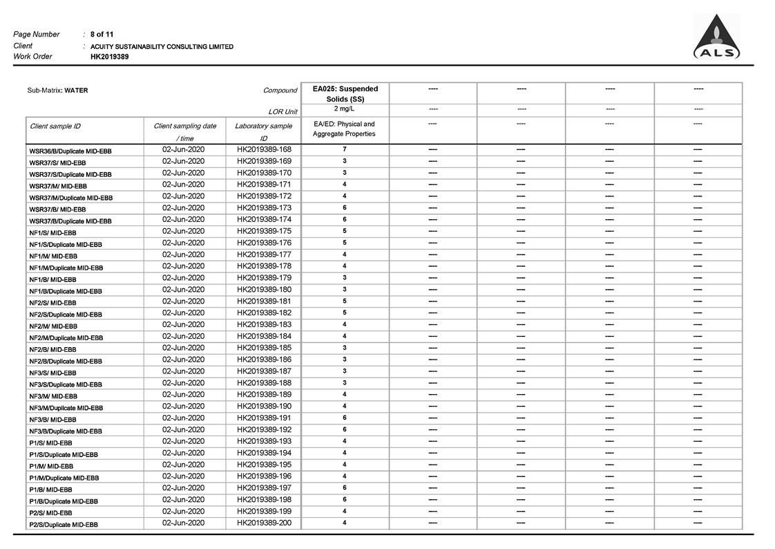
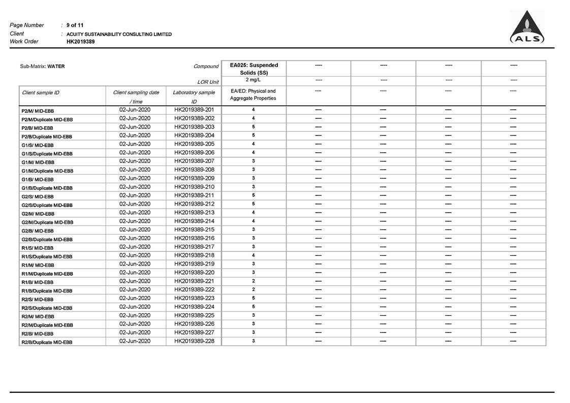
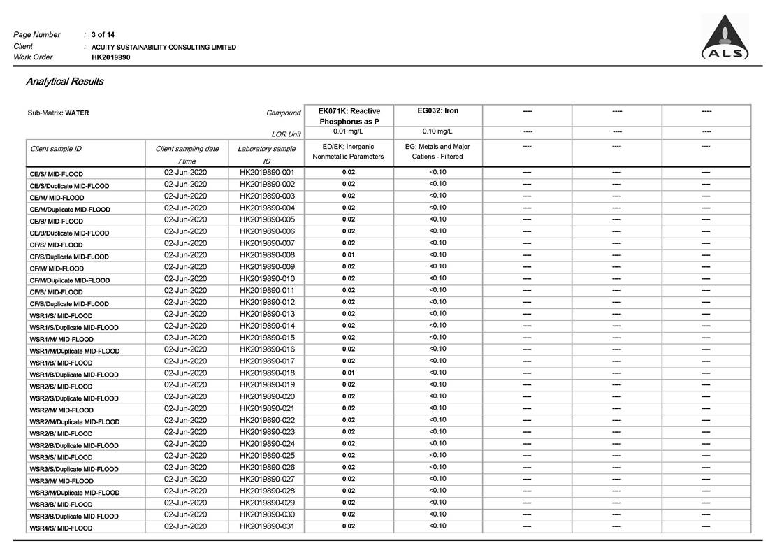
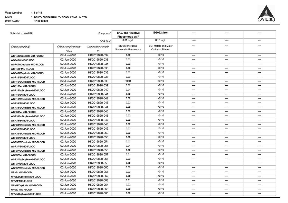
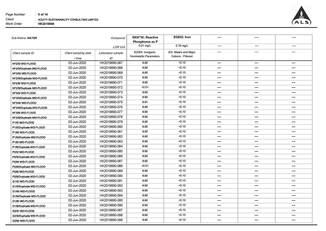
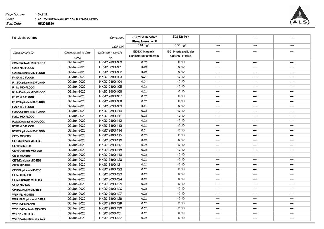
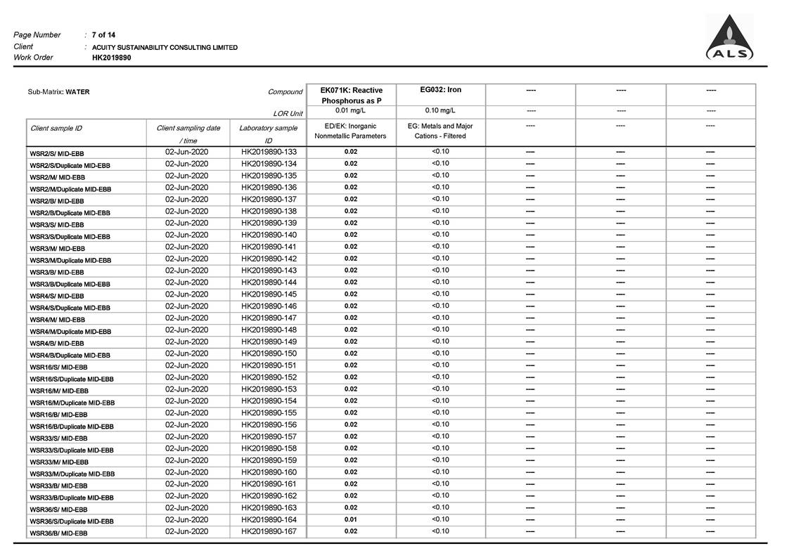
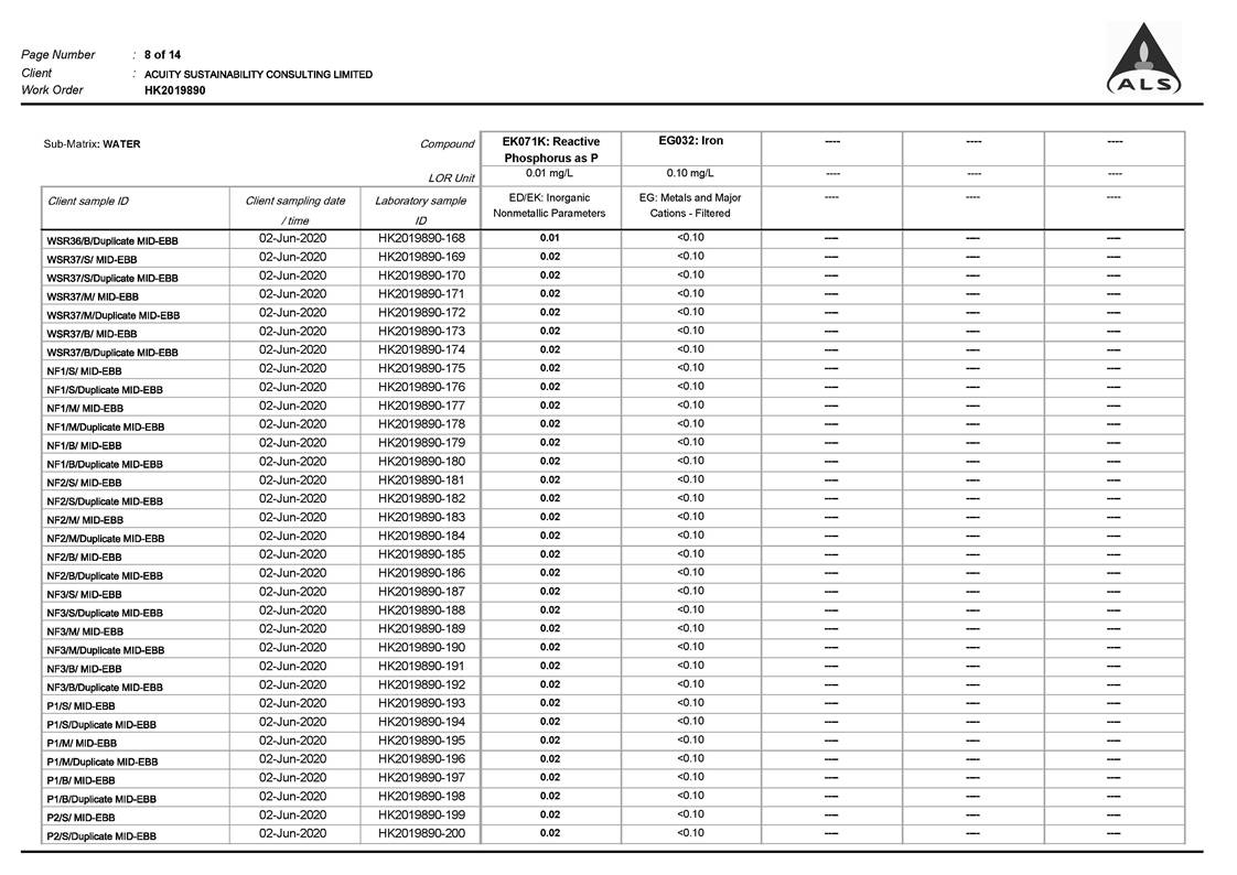
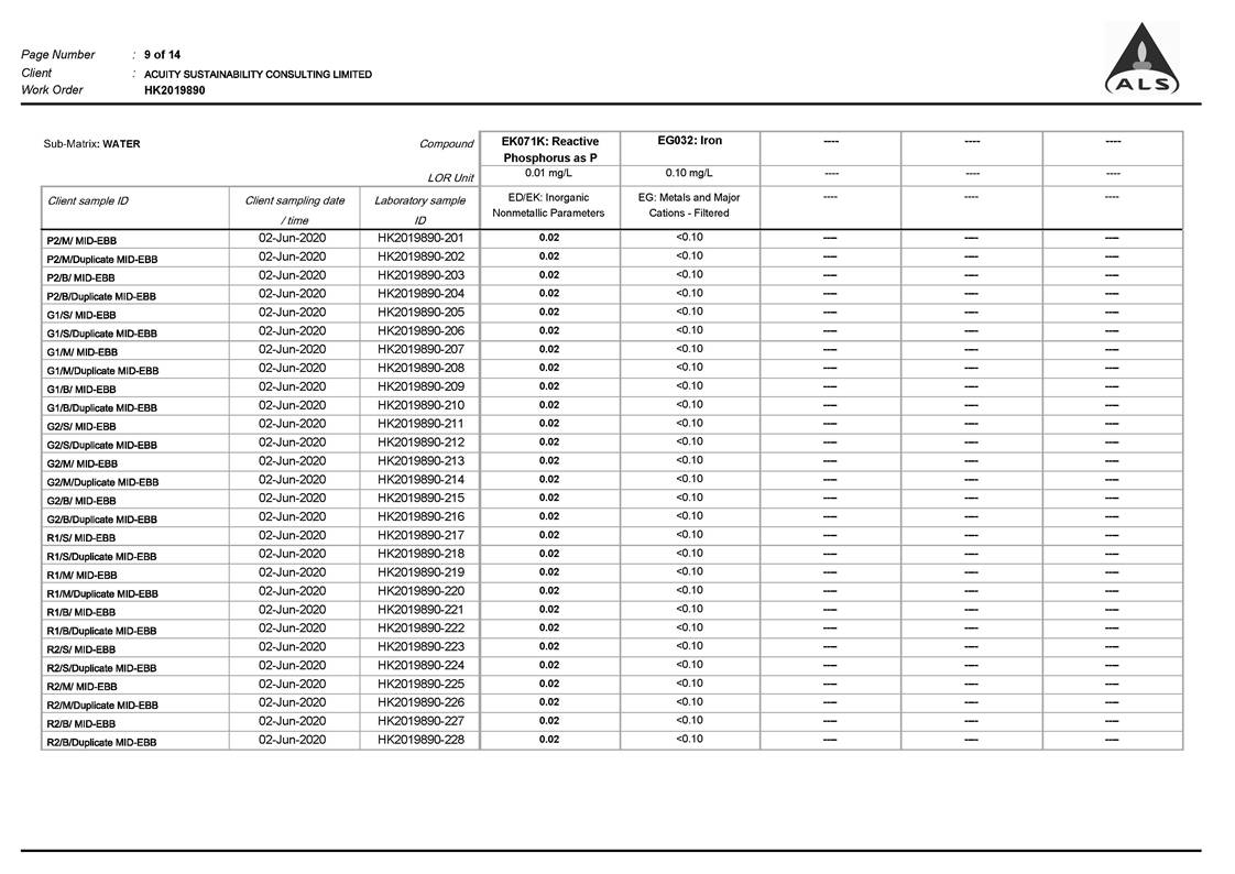
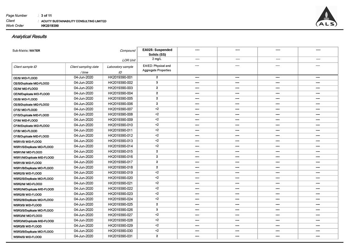
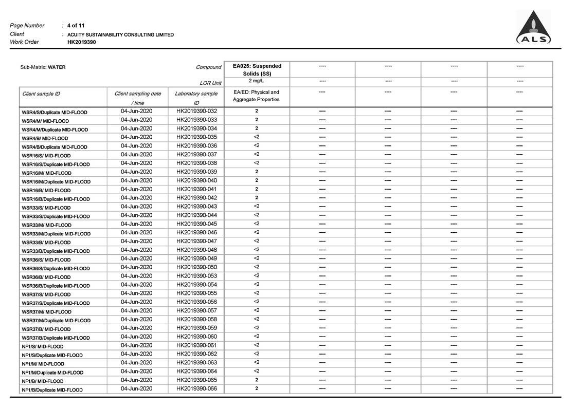
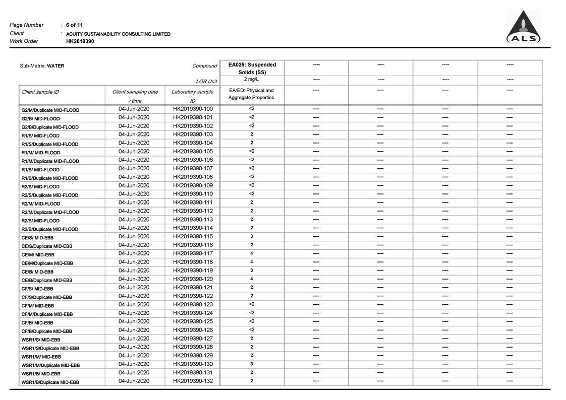
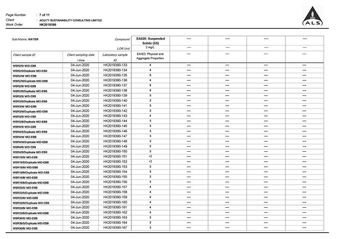
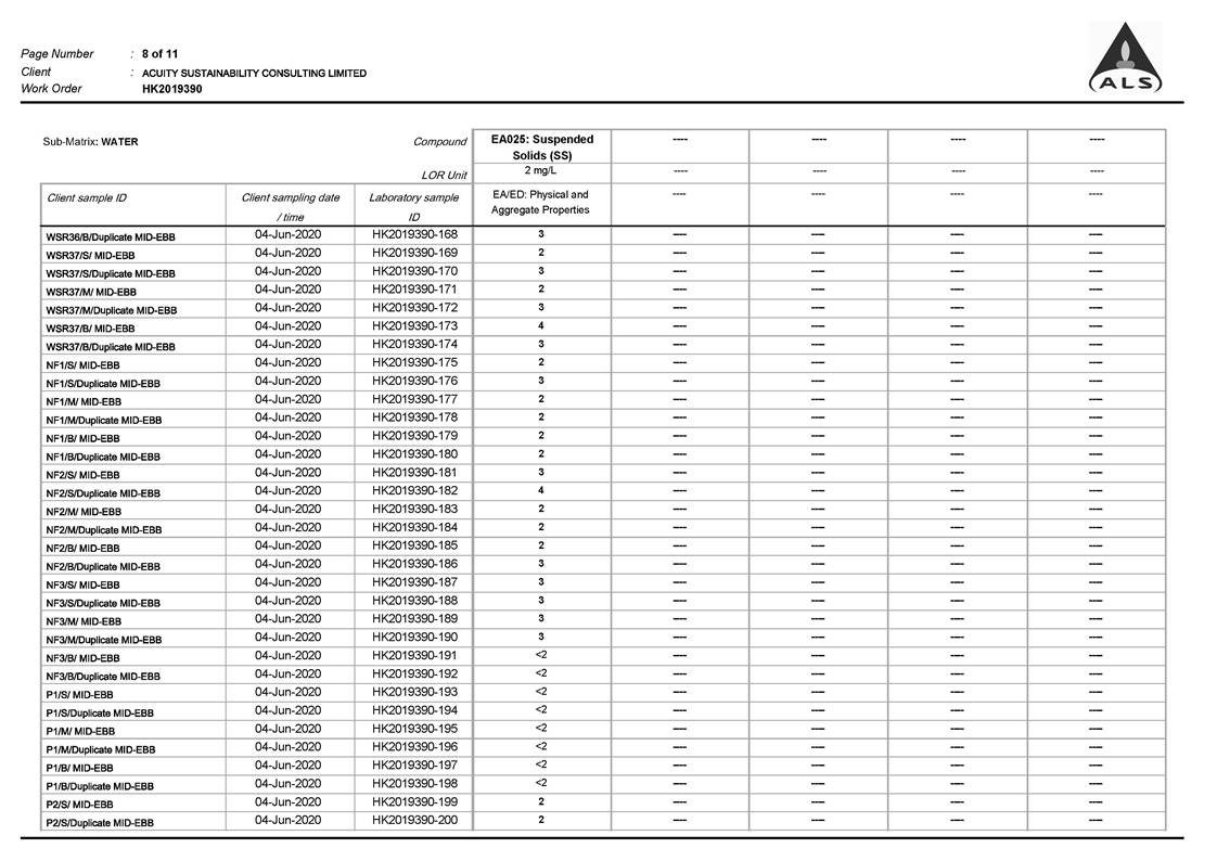
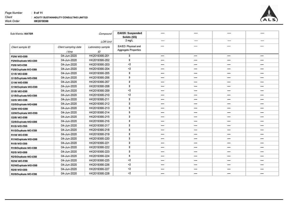
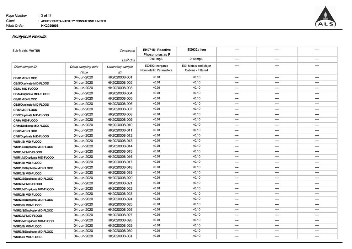
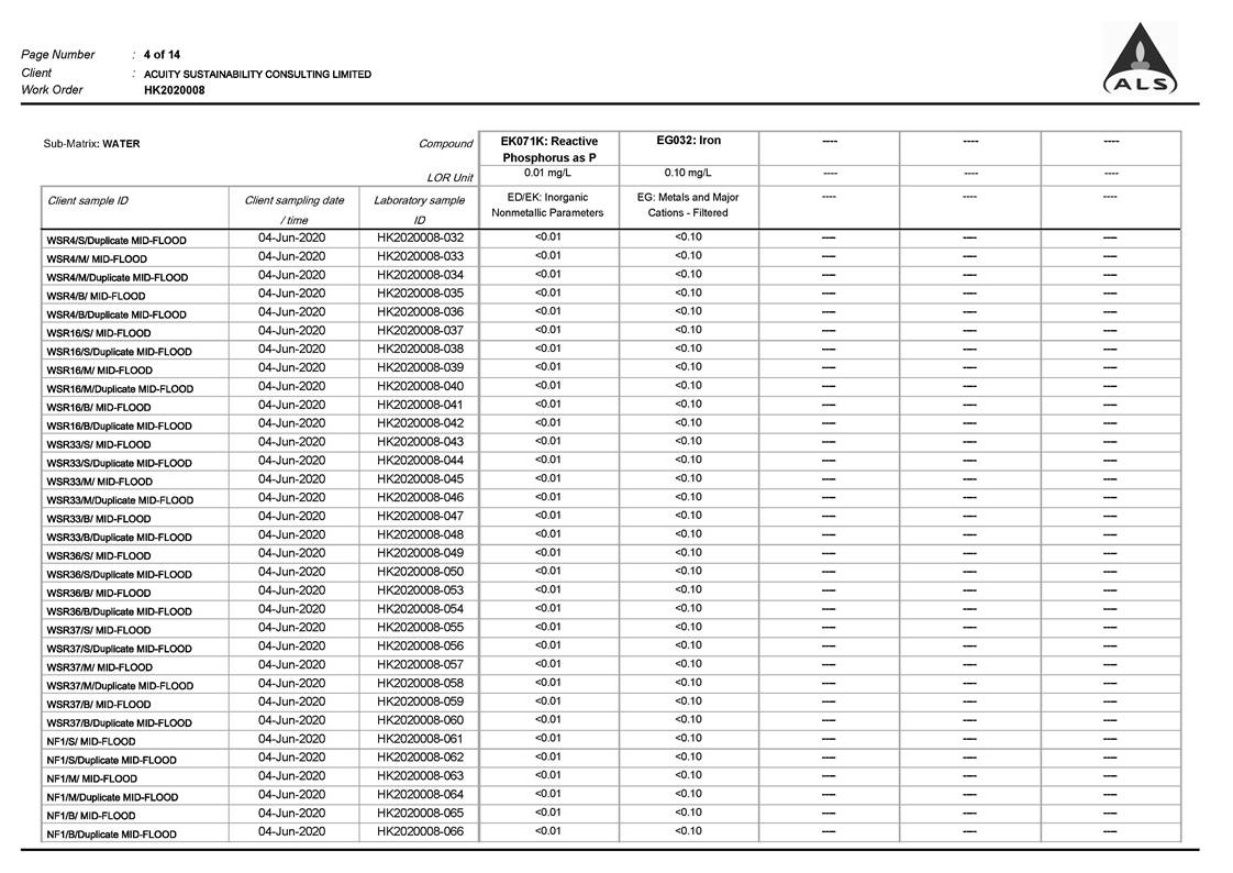
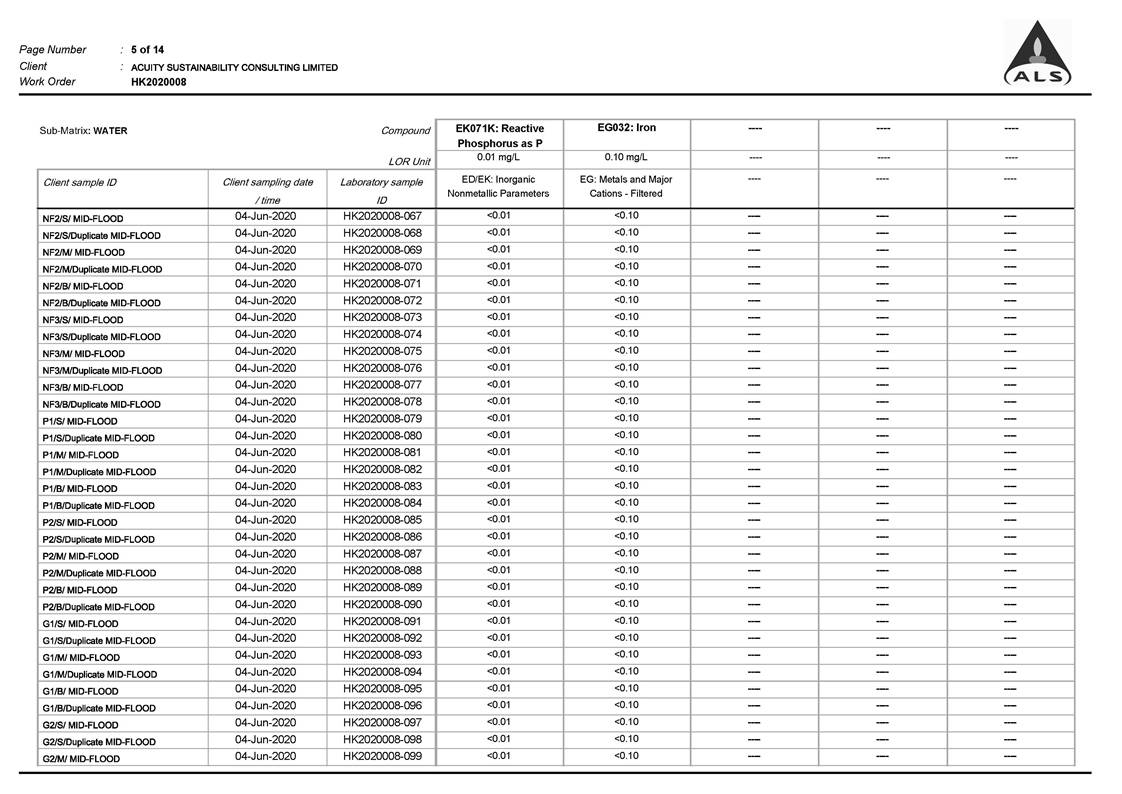
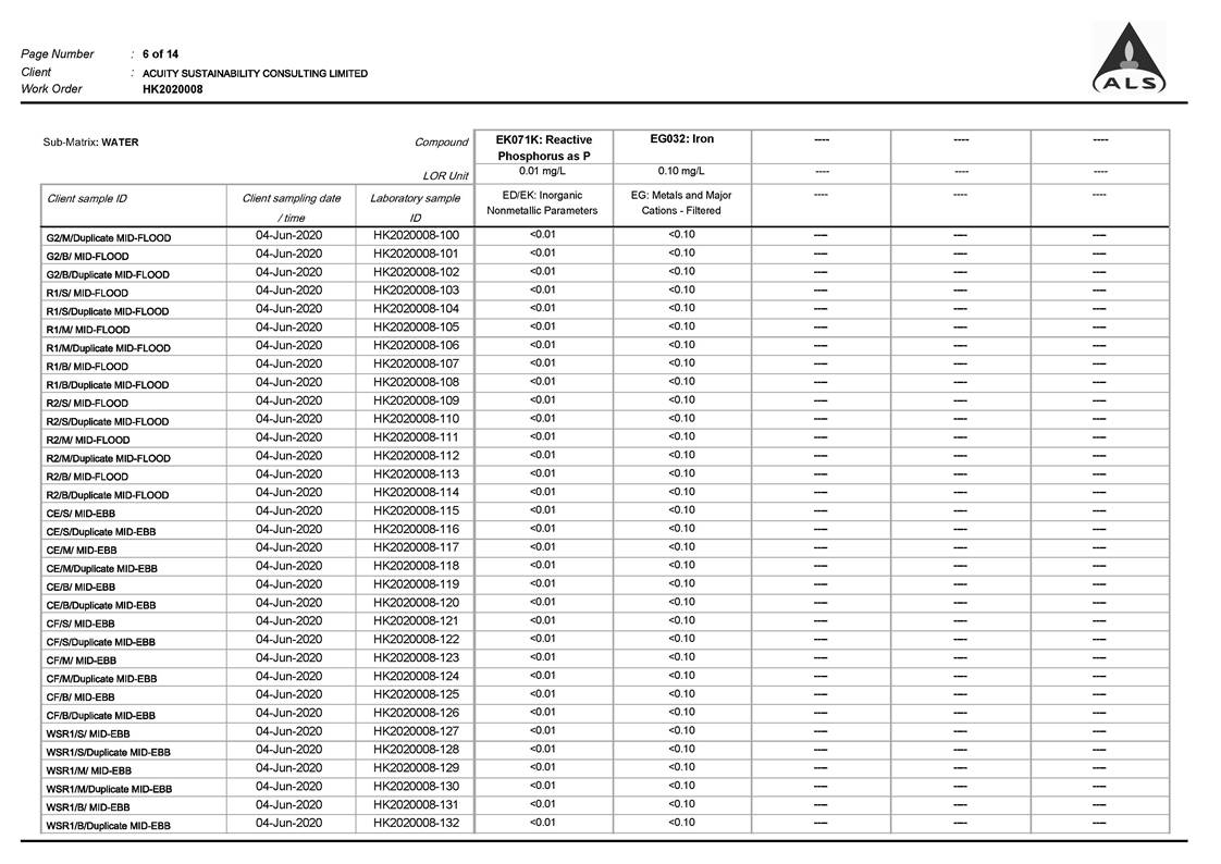
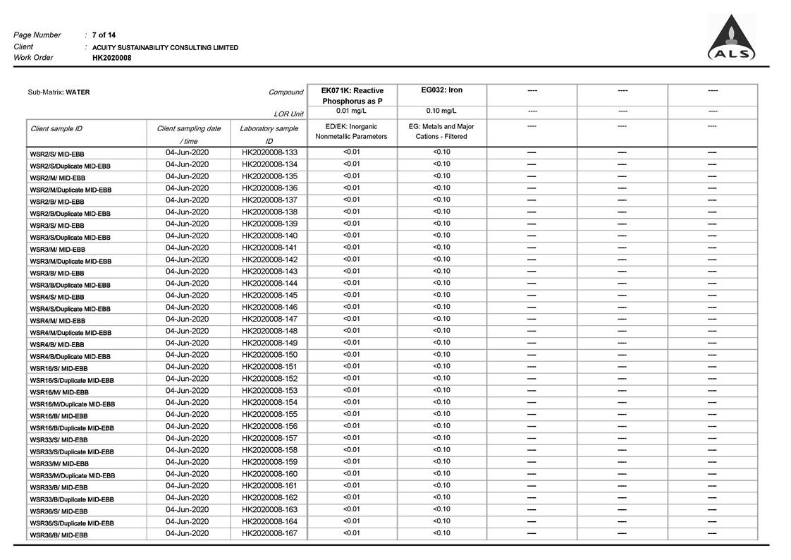
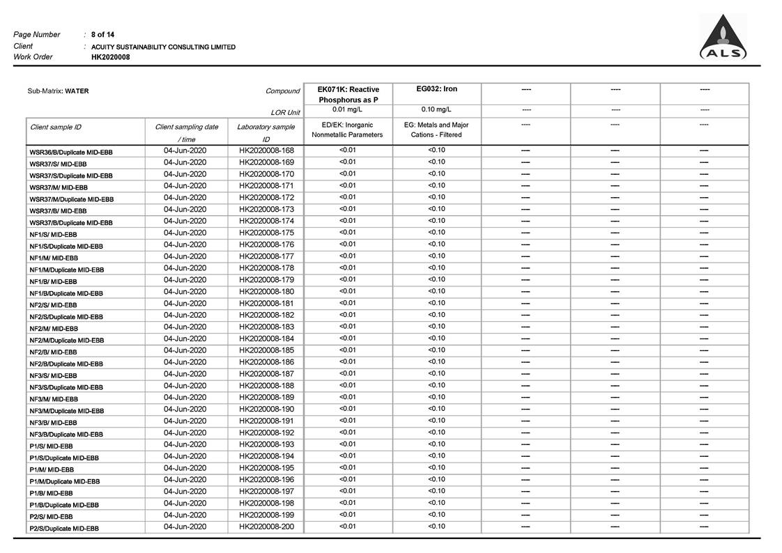
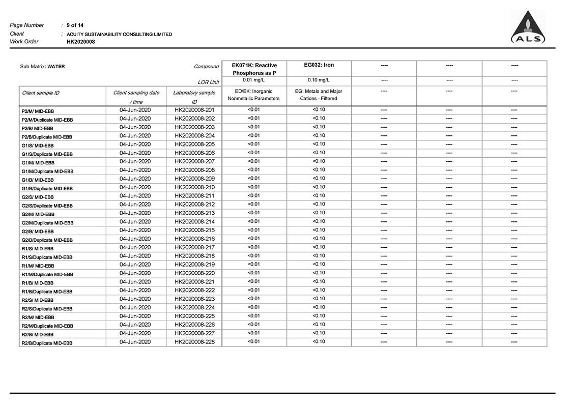
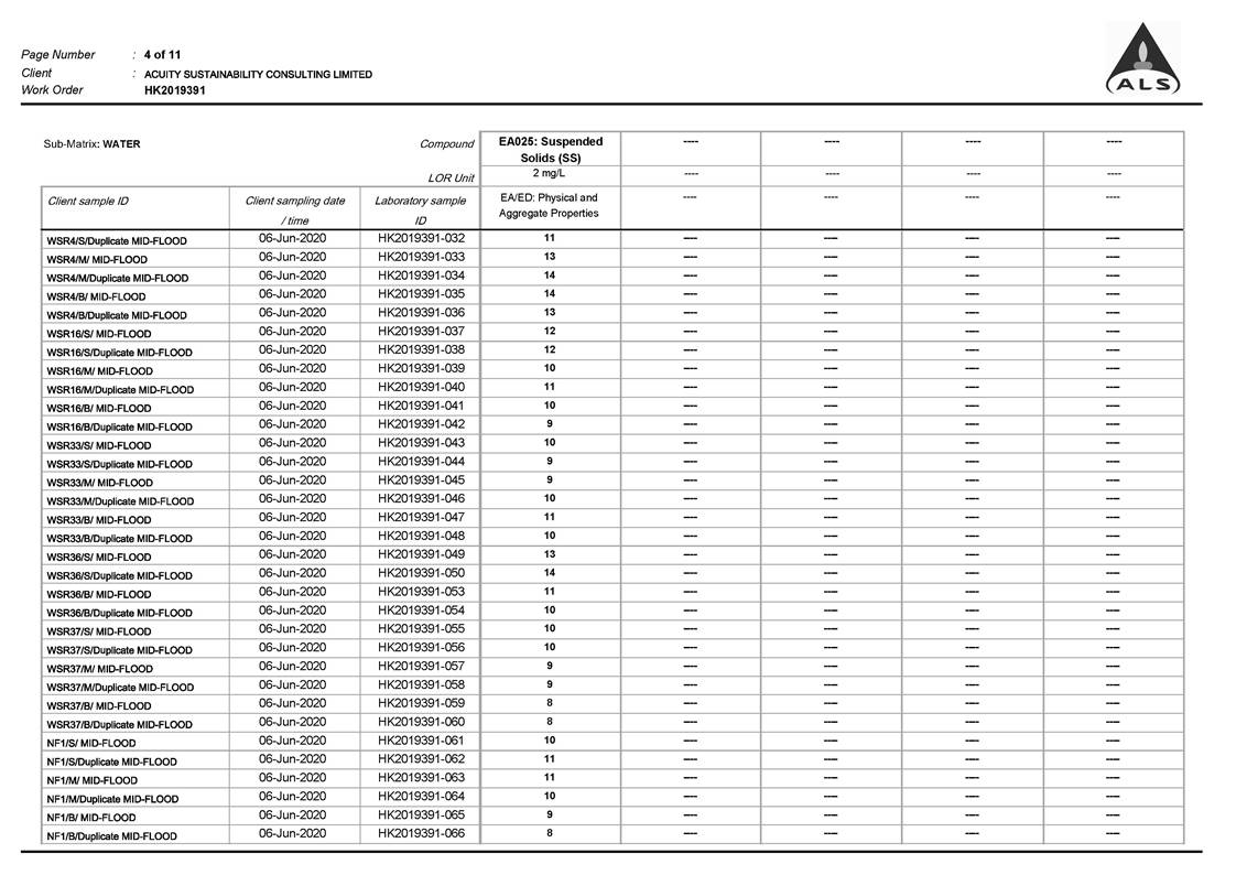
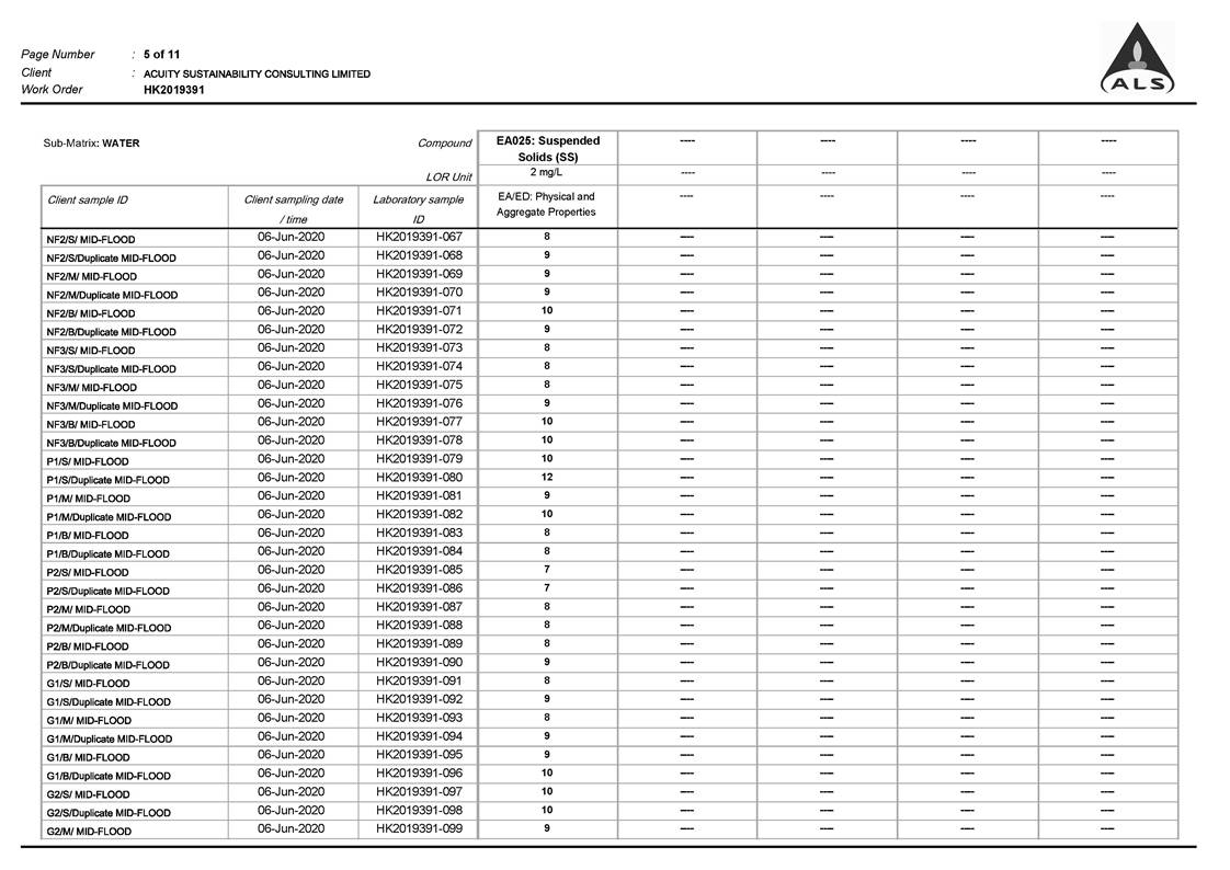
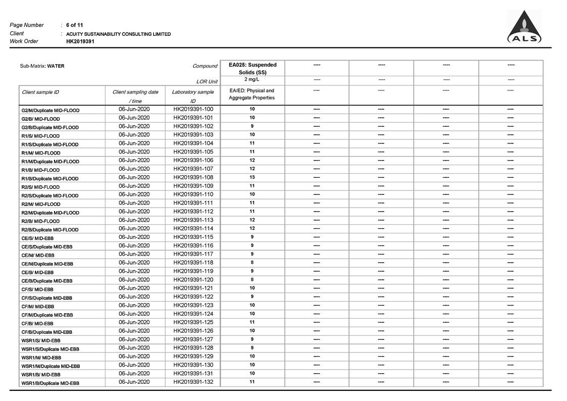
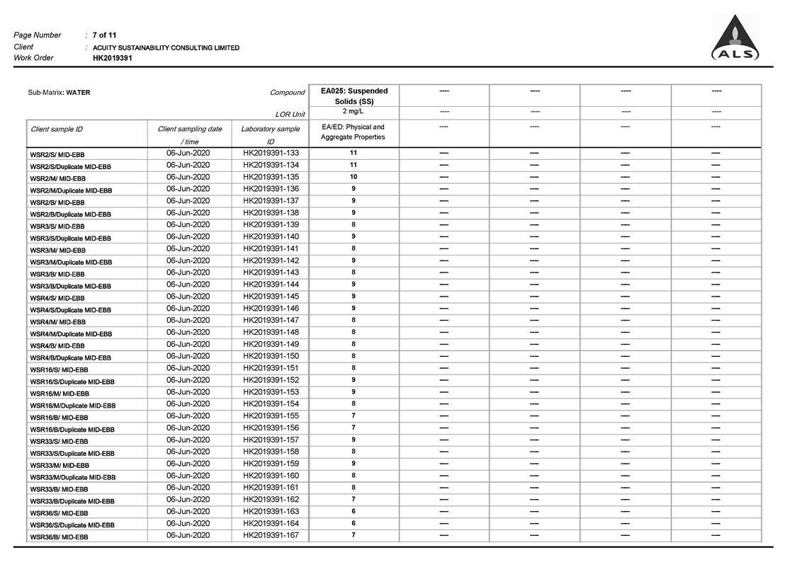
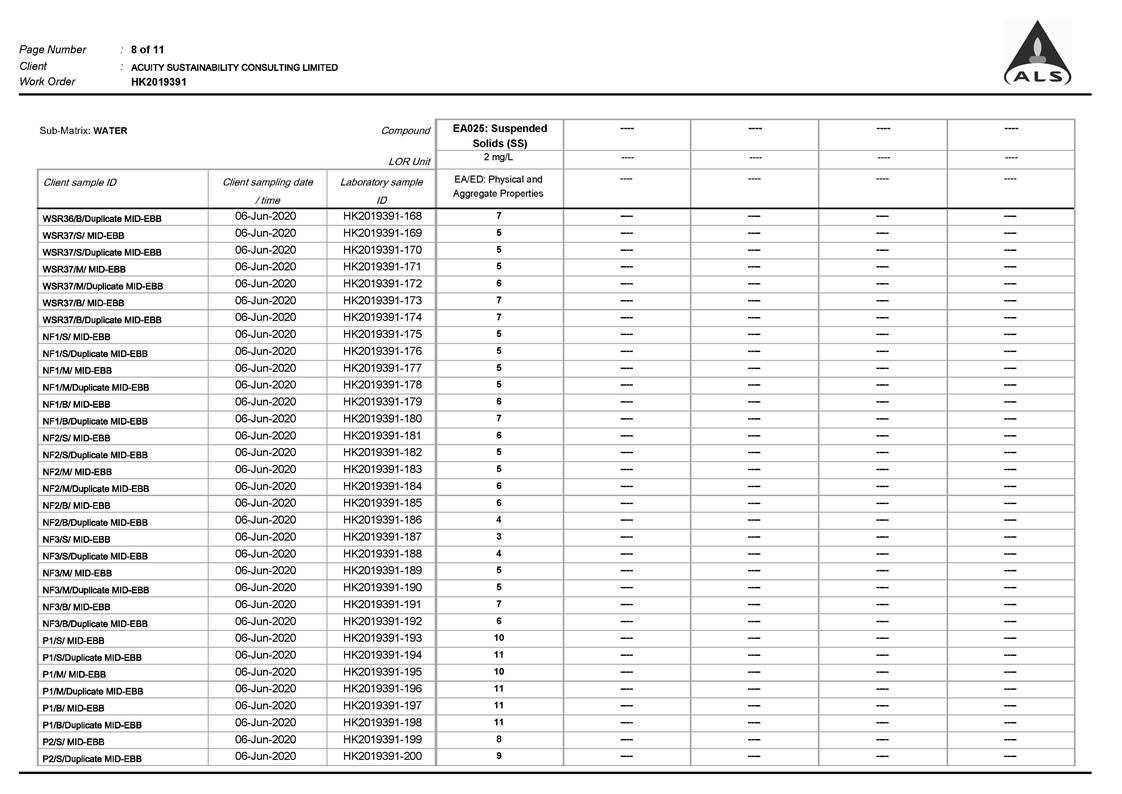
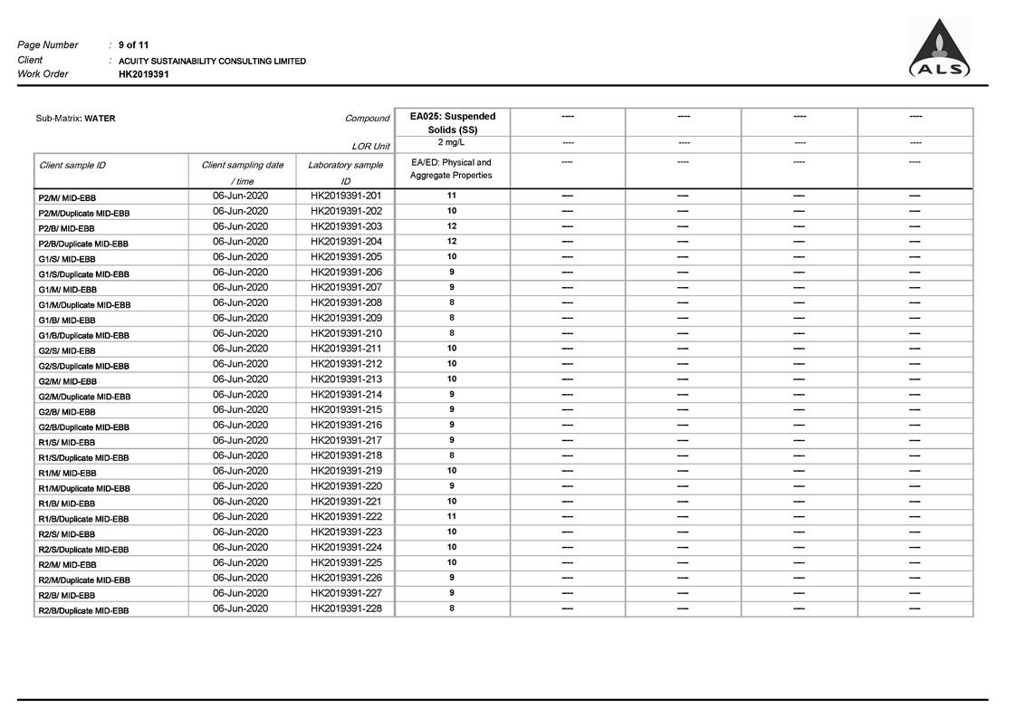
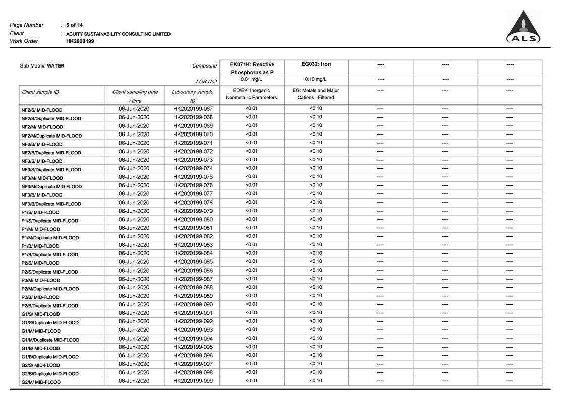
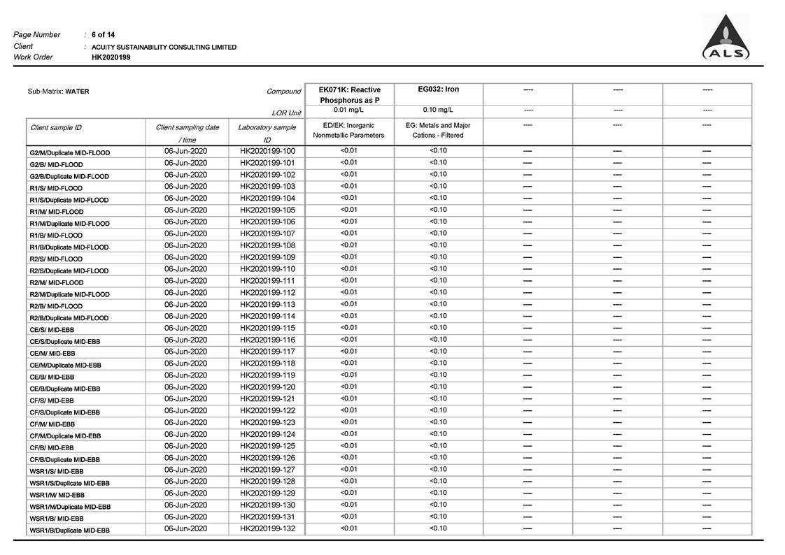
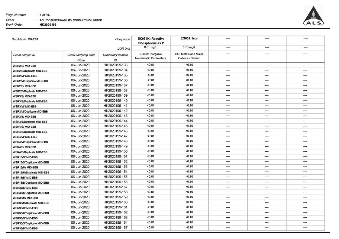
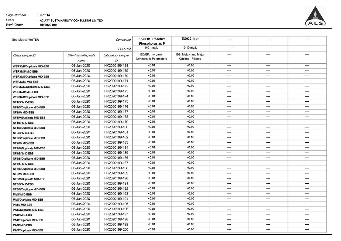
2.6.1. The baseline marine water quality monitoring was conducted from 12 May 2020 to 6 Jun 2020 at all thirteen monitoring stations. The monitoring results are summarized in Table 2.4. Details of water quality monitoring results are presented in Appendix D.
2.6.2.
The
weather conditions during the monitoring period were mainly sunny and cloudy.
Sea conditions for the majority of monitoring days were either slight, calm or
moderate. The data of 30 May 2020 and 6 June 2020 were collected under heavy
rain. The data measured and sampled on 6 June 2020 were not used as baseline
reference as agreed with the IEC. No construction activity, major pollution
source and extreme weather, except 6 June 2020, which might affect the results
were observed during the baseline water quality monitoring.
2.6.3.
There
is no significant difference between control and impact stations for the
parameters monitored.
2.6.4.
As
the southern water is affected by seasonal changes, the baseline water quality
monitoring has not taken into account the seasonal variations for determination
of Action and Limit Level for WQM. Therefore, during the future impact
monitoring, the water quality monitoring results at the control points shall
serve as a reference to determine if any elevated concentration of the
monitored parameter is due to seasonal variation or project contribution.
Revision on derivation criteria of the Action and Limit Level for WQM has
therefore been made as specified in Table 2.6 of the report.
Table 2.4 Summary
of Baseline Water Quality Monitoring Results
|
Location |
Parameters |
||||||||
|
Salinity (ppt) |
Dissolved Oxygen
(mg/L) note i |
pH |
Turbidity (NTU) |
Suspended solids (mg/L) |
Temperature (¢XC) |
Iron (mg/L) |
|||
|
Surface & Middle |
Bottom |
||||||||
|
CE |
Avg. |
31.40 |
8.61 |
8.70 |
8.24 |
1.6 |
3.32 |
26.9 |
<
0.10 |
|
Min. |
28.85 |
5.75 |
5.00 |
7.99 |
0.5 |
2.00 |
24.7 |
< 0.10 |
|
|
Max. |
33.29 |
10.02 |
10.85 |
8.75 |
4.7 |
13.00 |
29.2 |
< 0.10 |
|
|
CF |
Avg. |
31.39 |
8.71 |
8.71 |
8.24 |
1.6 |
3.53 |
27.0 |
<
0.10 |
|
Min. |
29.75 |
6.71 |
6.90 |
8.01 |
0.7 |
2.00 |
24.6 |
<
0.10 |
|
|
Max. |
32.75 |
10.34 |
10.39 |
8.79 |
2.7 |
12.00 |
29.2 |
<
0.10 |
|
|
WSR1 |
Avg. |
31.41 |
8.83 |
8.76 |
8.24 |
1.5 |
3.53 |
27.1 |
<
0.10 |
|
Min. |
29.71 |
6.96 |
7.00 |
8.00 |
0.8 |
2.00 |
25.1 |
<
0.10 |
|
|
Max. |
32.81 |
10.31 |
10.17 |
8.79 |
2.9 |
13.00 |
29.4 |
<
0.10 |
|
|
WSR2 |
Avg. |
31.44 |
8.72 |
8.68 |
8.24 |
1.5 |
3.55 |
27.1 |
<
0.10 |
|
Min. |
29.76 |
6.89 |
6.70 |
8.01 |
0.8 |
2.00 |
25.2 |
<
0.10 |
|
|
Max. |
32.93 |
10.31 |
10.19 |
8.74 |
2.7 |
12.00 |
29.3 |
<
0.10 |
|
|
WSR3 |
Avg. |
31.45 |
8.66 |
8.62 |
8.27 |
1.5 |
3.69 |
27.0 |
<
0.10 |
|
Min. |
29.65 |
6.34 |
5.73 |
8.01 |
0.3 |
2.00 |
25.1 |
<
0.10 |
|
|
Max. |
34.00 |
10.19 |
9.90 |
8.81 |
4.1 |
14.00 |
29.3 |
<
0.10 |
|
|
WSR4 |
Avg. |
31.41 |
8.84 |
8.71 |
8.26 |
1.6 |
3.46 |
27.1 |
<
0.10 |
|
Min. |
29.15 |
7.22 |
6.96 |
8.01 |
0.5 |
2.00 |
25.0 |
<
0.10 |
|
|
Max. |
34.22 |
11.34 |
10.18 |
8.83 |
4.2 |
14.00 |
29.3 |
<
0.10 |
|
|
WSR16 |
Avg. |
31.42 |
8.79 |
8.81 |
8.24 |
1.6 |
3.42 |
27.0 |
<
0.10 |
|
Min. |
30.04 |
6.72 |
6.82 |
8.01 |
0.7 |
2.00 |
24.9 |
<
0.10 |
|
|
Max. |
32.96 |
10.38 |
9.99 |
8.80 |
2.8 |
12.00 |
29.2 |
<
0.10 |
|
|
WSR33 |
Avg. |
31.36 |
8.90 |
8.84 |
8.25 |
1.5 |
3.44 |
27.1 |
<
0.10 |
|
Min. |
28.70 |
6.35 |
6.45 |
8.00 |
0.5 |
2.00 |
25.0 |
<
0.10 |
|
|
Max. |
33.52 |
11.44 |
10.76 |
9.17 |
4.5 |
11.00 |
29.4 |
<
0.10 |
|
|
WSR36 |
Avg. |
31.37 |
8.68 |
8.68 |
8.25 |
1.5 |
3.43 |
27.1 |
<
0.10 |
|
Min. |
27.88 |
6.13 |
6.59 |
8.01 |
0.5 |
2.00 |
24.9 |
<
0.10 |
|
|
Max. |
33.57 |
10.42 |
10.55 |
8.87 |
2.8 |
14.00 |
29.4 |
<
0.10 |
|
|
WSR37 |
Avg. |
31.49 |
8.72 |
8.71 |
8.25 |
1.5 |
3.29 |
27.1 |
<
0.10 |
|
Min. |
29.80 |
5.86 |
6.22 |
8.01 |
0.2 |
2.00 |
24.9 |
<
0.10 |
|
|
Max. |
32.91 |
10.06 |
10.25 |
8.93 |
3.2 |
10.00 |
29.2 |
<
0.10 |
|
|
NF1 |
Avg. |
31.48 |
8.76 |
8.93 |
8.24 |
1.5 |
3.35 |
27.0 |
<
0.10 |
|
Min. |
29.89 |
6.64 |
6.87 |
8.01 |
0.5 |
2.00 |
24.4 |
< 0.10 |
|
|
Max. |
33.78 |
10.44 |
11.30 |
9.00 |
4.3 |
11.00 |
29.2 |
< 0.10 |
|
|
NF2 |
Avg. |
31.46 |
8.81 |
8.73 |
8.26 |
1.5 |
3.34 |
27.1 |
<
0.10 |
|
Min. |
29.75 |
6.74 |
6.38 |
8.01 |
0.4 |
2.00 |
25.2 |
<
0.10 |
|
|
Max. |
33.58 |
12.07 |
10.56 |
8.97 |
2.8 |
10.00 |
29.3 |
<
0.10 |
|
|
Location |
Parameters |
||||||||
|
Salinity (ppt) |
Dissolved
Oxygen (mg/L)
note
i |
pH |
Turbidity (NTU) |
Suspended solids (mg/L) |
Temperature (¢XC) |
Iron (mg/L) |
|||
|
Surface & Middle |
Bottom |
||||||||
|
NF3 |
Avg. |
31.46 |
8.83 |
8.85 |
8.25 |
1.5 |
3.22 |
27.1 |
<
0.10 |
|
Min. |
29.62 |
6.87 |
6.99 |
8.01 |
0.4 |
2.00 |
25.1 |
<
0.10 |
|
|
Max. |
34.10 |
11.89 |
12.63 |
8.83 |
2.9 |
10.00 |
29.3 |
< 0.10 |
|
Notes:
i.
"Avg",
¡§Min¡¨ and ¡§Max¡¨ is the average, minimum and maximum respectively of the data
from measurements conducted under mid- flood and mid-ebb tides at three water
depths, except that of DO where the data for ¡§Surface & Middle¡¨ and
¡§Bottom¡¨ are calculated separately.
2.7.
ACTION AND LIMIT LEVELS
2.7.1.
The Action and
Limit Levels have been set based on the derivation criteria specified in the
EM&A Manual as shown in Table 2.5 below.
Table 2.5 Criteria
of Action and Limit Levels for Water Quality
|
Parameters |
Action |
Limit |
|
Construction Phase Impact Monitoring |
||
|
DO in mg/L |
Surface and Middle 5%-ile of baseline data for surface and middle
layer Bottom 5%-ile of baseline data for bottom layers Tung Lung Chau Fish Culture Zone 5.1 mgL-1 or level at control station (whichever the
lower) |
Surface and Middle 4 mg L-1 Bottom 2 mg L-1 Tung Lung Chau Fish Culture Zone 5.0 mgL-1 or level at control station (whichever the lower) |
|
SS in mg/L (Depth- averaged) |
≥ 95 %-ile of baseline data or 20% exceedance
of value at any impact station compared with corresponding data from control
station |
≥ 99 %-ile of baseline data or 30% exceedance
of value at any impact station compared with corresponding data from control
station |
|
Turbidity in NTU (Depth-averaged) |
≥ 95 %-ile of baseline data or 20% exceedance
of value at any impact station compared with corresponding data from control
station |
≥ 99 %-ile of baseline data or 30% exceedance
of value at any impact station compared with corresponding data from control
station |
|
First-year Operation Phase Monitoring |
||
|
DO in mg/L |
Surface and Middle 5%-ile of baseline data for surface and middle
layer Bottom 5%-ile of baseline data for bottom layers Tung Lung Chau Fish Culture Zone 5.1 mgL-1 or level at control station (whichever the lower) |
Surface and Middle 4 mg L-1 Bottom 2 mg L-1 Tung Lung Chau Fish Culture Zone 5.0 mgL-1 or level at control station (whichever the
lower) |
|
SS in mg/L (Depth- averaged) |
≥ 95 %-ile of baseline data or 20% exceedance
of value at any impact station compared with corresponding data from control
station |
≥ 99 %-ile of baseline data or 30% exceedance
of value at any impact station compared with corresponding data from control
station |
|
Turbidity in NTU (Depth-averaged) |
≥ 95 %-ile of baseline data or 20% exceedance
of value at any impact station compared with corresponding data from control
station |
≥ 99 %-ile of baseline data or 30% exceedance
of value at any impact station compared with corresponding data from control
station |
|
Salinity in PSU (Depth-averaged) |
109% of baseline level or 9% exceedance of
value at any impact station compared with corresponding data from control station |
110% of baseline level or 10% exceedance of
value at any impact station compared with corresponding data from control
station |
|
Iron in mg/L (Depth-averaged) |
0.3 mgL-1 |
0.3 mgL-1 |
2.7.2.
Based on the
baseline water quality monitoring data and the derivation criteria specified
above, the Action/Limit Levels have been derived and are presented in Table 2.6.
Table 2.6 Derived
Action and Limit Levels for Water Quality
|
Parameters |
Action |
Limit |
|
|
Construction Phase Impact Monitoring |
|
||
|
DO in mg/L |
Surface and Middle 7.30
mg L-1 Bottom 7.31
mg L-1 Tung Lung Chau Fish Culture Zone 5.1 mgL-1 or level at control station (whichever the
lower) |
Surface and Middle 4 mg L-1 Bottom 2 mg L-1 Tung Lung Chau Fish Culture Zone 5.0 mgL-1 or level at control station (whichever the
lower) |
|
|
SS in mg/L (Depth-averaged) |
5.00
mg L-1 or 20% exceedance of value at
any impact station compared with corresponding data from control station |
6.00
mg L-1 or 30% exceedance of value at
any impact station compared with corresponding data from control station |
|
|
Turbidity in NTU (Depth-averaged) |
2.41 NTU or 20% exceedance of
value at any impact station compared with corresponding data from control station |
2.84 NTU or 30% exceedance of
value at any impact station compared with corresponding data from control station |
|
|
First-year Operation Phase Monitoring iv |
|
||
|
DO in mg/L |
Surface and Middle 7.30
mg L-1 Bottom 7.31
mg L-1 Tung Lung Chau Fish Culture Zone 5.1 mgL-1 or level at control station (whichever the
lower) |
Surface and Middle 4 mg L-1 Bottom 2 mg L-1 Tung Lung Chau Fish Culture Zone 5.0 mgL-1 or level at control station (whichever the
lower) |
|
|
SS in mg/L (Depth-averaged) |
5.00
mg L-1 or 20% exceedance of value at
any impact station compared with corresponding data from control station |
6.00
mg L-1 or 30% exceedance of value at
any impact station compared with corresponding data from control station |
|
|
Turbidity in NTU (Depth-averaged) |
2.41 NTU or 20% exceedance of value
at any impact station compared with corresponding data from control station |
2.84 NTU or 30% exceedance of
value at any impact station compared with corresponding data from control
station |
|
|
Salinity in PSU (Depth-averaged) |
34.28 PSU or 9% exceedance of
value at any impact station compared with corresponding data from control station |
34.60 PSU or 10% exceedance of
value at any impact station compared with corresponding data from control station |
|
|
Iron in mg/L (Depth-averaged) |
0.3 mgL-1 |
0.3 mgL-1 |
|
Notes:
i.
"Depth-averaged"
is calculated by taking the arithmetic means of reading of all three depths.
ii.
For
DO, non-compliance of the water quality limits occurs when monitoring result is
lower than the limits.
iii.
For Turbidity, SS, iron and Salinity,
non-compliance of the water quality limits occurs when monitoring result is
higher than the limits.
iv.
For
the Action and Limit Levels adopted during First-year Operation Phase
Monitoring, further review would be made according to the EM&A Manual
during Operation Phase.
3.1.
REVISION FOR INCLUSION
IN THE EM&A DOCUMENTS
3.1.1. The baseline environmental
monitoring was conducted according to the EM&A Manual. The monitoring methodology,
parameters monitored, and monitoring locations are all in line with the
EM&A Manual for the Project.
3.2.
WATER QUALITY
3.2.1.
Baseline
marine water quality monitoring was conducted between 12 May 2020 to 6 Jun 2020
at thirteen monitoring stations. All monitoring stations as specified in
EM&A Manual were accessible and thus there is no revision for inclusion in
the EM&A Manual.
3.2.2. No major pollution sources affecting
the water quality baseline monitoring at the thirteen monitoring stations were observed.
3.2.3. Action and Limit Levels were derived
based on the baseline water quality monitoring results according to the
EM&A Manual.
Appendix A
Master
Programme




Appendix B
Overview of Desalination Plant in Tseung Kwan O


Appendix C
Baseline Water
Quality Monitoring Schedule
|
Baseline Monitoring Schedule for DPTKO |
||||||
|
May-20 |
||||||
|
Sun |
Mon |
Tue |
Wed |
Thu |
Fri |
Sat |
|
|
|
|
|
|
1 |
2 |
|
|
|
|
|
|
|
|
|
3 |
4 |
5 |
6 |
7 |
8 |
9 |
|
|
|
|
|
|
|
|
|
10 |
11 |
12 |
13 |
14 |
15 |
16 |
|
|
|
Baseline Water
Quality monitoring at CE, CF, WSR1, WSR2, WSR3, WSR4, WSR16, WSR33, WSR36, WSR37,
NF1, NF2, NF3, P1, P2, G1, G2, R1 & R2 Tidal Period: Ebb
Tide: 12:04 - 21:03 Flood Tide: 05:25 - 12:04 Monitoring Time: Mid-ebb: 14:48 - 18:18 *
Mid-flood: 08:00 - 11:30 |
|
Baseline Water
Quality monitoring at CE, CF, WSR1, WSR2, WSR3, WSR4, WSR16, WSR33, WSR36, WSR37,
NF1, NF2, NF3, P1, P2, G1, G2, R1 & R2 Tidal Period: Ebb Tide:
13:41 - 22:09 Flood Tide: 07:00 - 13:41 Monitoring Time: Mid-ebb: 14:06 -
17:36 Mid-flood:
08:35 - 12:05 |
|
Baseline Water
Quality monitoring at CE, CF, WSR1, WSR2, WSR3, WSR4, WSR16, WSR33, WSR36, WSR37,
NF1, NF2, NF3, P1, P2, G1, G2, R1 & R2 Tidal Period: Ebb
Tide: 07:12 - 11:00 Flood Tide: 11:00 - 16:12 Monitoring Time: *# Mid-ebb: 08:00 - 11:00 Mid-flood:
11:51 - 15:21 |
|
17 |
18 |
19 |
20 |
21 |
22 |
23 |
|
|
|
Baseline Water
Quality monitoring at CE, CF, WSR1, WSR2, WSR3, WSR4, WSR16, WSR33, WSR36, WSR37,
NF1, NF2, NF3, P1, P2, G1, G2, R1 & R2 Tidal Period: Ebb
Tide: 08:02 - 13:50 Flood Tide: 13:50 - 19:47 Monitoring Time: Mid-ebb:
09:11 - 12:41 Mid-flood:
15:03 - 18:33 |
|
Baseline Water
Quality monitoring at CE, CF, WSR1, WSR2, WSR3, WSR4, WSR16, WSR33, WSR36, WSR37,
NF1, NF2, NF3, P1, P2, G1, G2, R1 & R2 Tidal Period: Ebb
Tide: 08:33 - 15:03 Flood Tide: 15:03 - 21:22 Monitoring Time: Mid-ebb:
10:03 - 13:33 Mid-flood:
15:21 - 18:51 |
|
Baseline Water
Quality monitoring at CE, CF, WSR1, WSR2, WSR3, WSR4, WSR16, WSR33, WSR36, WSR37,
NF1, NF2, NF3, P1, P2, G1, G2, R1 & R2 Tidal Period: Ebb
Tide: 09:12 - 16:18 Flood Tide: 16:18 - 22:47 Monitoring Time: Mid-ebb:
11:00 - 14:30 &
Mid-flood: 16:20 - 19:00 |
|
24 |
25 |
26 |
27 |
28 |
29 |
29 |
|
|
|
Baseline Water
Quality monitoring at CE, CF, WSR1, WSR2, WSR3, WSR4, WSR16, WSR33, WSR36, WSR37,
NF1, NF2, NF3, P1, P2, G1, G2, R1 & R2 Tidal Period: Ebb
Tide: 11:00 - 18:28 Flood Tide: 03:44 - 11:00 Monitoring Time: Mid-ebb: 12:59 - 16:29 * Mid-flood:
08:00 - 11:00 |
|
Baseline Water
Quality monitoring at CE, CF, WSR1, WSR2, WSR3, WSR4, WSR16, WSR33, WSR36, WSR37,
NF1, NF2, NF3, P1, P2, G1, G2, R1 & R2 Tidal Period: Ebb
Tide: 11:29 - 20:21 Flood Tide: 04:41 - 11:29 Monitoring Time: Mid-ebb: 14:10 - 17:40 *
Mid-flood: 08:00 - 11:30 |
|
Baseline Water
Quality monitoring at CE, CF, WSR1, WSR2, WSR3, WSR4, WSR16, WSR33, WSR36, WSR37,
NF1, NF2, NF3, P1, P2, G1, G2, R1 & R2 Tidal Period: Ebb
Tide: 14:07 - 22:19 Flood Tide: 07:46 - 14:07 Monitoring Time: Mid-ebb: 14:31 -
18:01 Mid-flood:
09:11 - 12:41 |
|
30 |
31 |
|
|
|
|
|
|
|
|
|
|
|
|
|
|
Note: * - Due to safty
concern, Water Quality Monitoring would start at 0800. &
- Due to safety concern for sampling event in night-time, Water Quality
Monitoring would end at 1900. # -
The difference of tidal range closest to 0.5m is selected
as far as practicable. |
||||||
|
Baseline Monitoring Schedule for DPTKO |
||||||
|
Jun-20 |
||||||
|
Sun |
Mon |
Tue |
Wed |
Thu |
Fri |
Sat |
|
|
1 |
2 |
3 |
4 |
5 |
6 |
|
|
|
Baseline Water
Quality monitoring at CE, CF, WSR1, WSR2, WSR3, WSR4, WSR16, WSR33, WSR36, WSR37,
NF1, NF2, NF3, P1, P2, G1, G2, R1 & R2 Tidal Period: Ebb
Tide: 06:52 - 12:03 Flood Tide: 12:33 - 19:00 Monitoring Time: * Mid-ebb: 08:00 -
11:30 Mid-flood:
14:01 - 17:31 |
|
Baseline Water
Quality monitoring at CE, CF, WSR1, WSR2, WSR3, WSR4, WSR16, WSR33, WSR36, WSR37,
NF1, NF2, NF3, P1, P2, G1, G2, R1 & R2 Tidal Period: Ebb
Tide: 07:52 - 14:00 Flood Tide: 14:00 - 21:16 Monitoring Time: Mid-ebb: 09:11 -
12:41 Mid-flood:
14:21 - 17:51 |
|
Baseline Water
Quality monitoring at CE, CF, WSR1, WSR2, WSR3, WSR4, WSR16, WSR33, WSR36, WSR37,
NF1, NF2, NF3, P1, P2, G1, G2, R1 & R2 Tidal Period: Ebb
Tide: 09:00 - 16:00 Flood Tide: 16:00 - 23:00 Monitoring Time: Mid-ebb: 10:45 - 14:15 &
Mid-flood: 16:00 - 19:00 |
|
7 |
8 |
9 |
10 |
11 |
12 |
13 |
|
|
|
|
|
|
|
|
|
14 |
15 |
16 |
17 |
18 |
19 |
20 |
|
|
|
|
|
|
|
|
|
21 |
22 |
23 |
24 |
25 |
26 |
27 |
|
|
|
|
|
|
|
|
|
28 |
29 |
30 |
|
|
|
|
|
|
|
|
|
|
|
|
|
Note: * - Due to safty concern,
Water Quality Monitoring would start at 0800. &
- Due to safety concern for sampling event in night-time, Water Quality
Monitoring would end at 1900. # -
The difference of tidal range closest to 0.5m is selected
as far as practicable. |
||||||
|
|
||||||
Appendix D
Baseline Water Quality Monitoring Data
|
Location |
Date |
Weather |
Sea Condition |
Tidal |
Water Level |
Depth (m) |
Time |
DO (mg/L) |
pH |
Sal (ppt) |
Temp (¢XC) |
Turbidty (NTU) |
SS (mg/L) |
Iron (mg/L) |
Current Velocity (m/s) |
Current Direction (NSWE) |
|
CE |
20200512 |
Sunny |
Moderate |
Mid-Flood |
Bottom |
11.1 |
8:39 |
9.31 |
8.06 |
31.92 |
24.77 |
2.37 |
4 |
<0.10 |
0.175 |
NW |
|
CE |
20200512 |
Sunny |
Moderate |
Mid-Flood |
Bottom |
11.1 |
8:39 |
8.27 |
8.16 |
31.58 |
24.79 |
1.89 |
3 |
<0.10 |
0.177 |
NW |
|
CE |
20200512 |
Sunny |
Moderate |
Mid-Flood |
Middle |
6.05 |
8:40 |
8.3 |
8.15 |
31.27 |
24.73 |
2.51 |
2 |
<0.10 |
0.186 |
NW |
|
CE |
20200512 |
Sunny |
Moderate |
Mid-Flood |
Middle |
6.05 |
8:40 |
8.19 |
8.24 |
31.45 |
24.73 |
2.37 |
2 |
<0.10 |
0.18 |
NW |
|
CE |
20200512 |
Sunny |
Moderate |
Mid-Flood |
Surface |
1 |
8:41 |
7.8 |
8.14 |
31.38 |
24.91 |
2.23 |
<2 |
<0.10 |
0.204 |
NW |
|
CE |
20200512 |
Sunny |
Moderate |
Mid-Flood |
Surface |
1 |
8:41 |
9.21 |
8.24 |
31.6 |
24.76 |
2.11 |
<2 |
<0.10 |
0.175 |
N |
|
CF |
20200512 |
Sunny |
Moderate |
Mid-Flood |
Bottom |
11.3 |
8:03 |
8.13 |
8.18 |
31.74 |
24.86 |
2.01 |
5 |
<0.10 |
0.195 |
SW |
|
CF |
20200512 |
Sunny |
Moderate |
Mid-Flood |
Bottom |
11.3 |
8:03 |
8.49 |
8.01 |
31.39 |
24.74 |
1.54 |
5 |
<0.10 |
0.138 |
SW |
|
CF |
20200512 |
Sunny |
Moderate |
Mid-Flood |
Middle |
6.15 |
8:04 |
9.11 |
8.15 |
31.16 |
24.66 |
2.41 |
3 |
<0.10 |
0.135 |
W |
|
CF |
20200512 |
Sunny |
Moderate |
Mid-Flood |
Middle |
6.15 |
8:04 |
8.59 |
8.1 |
31.5 |
24.61 |
2.54 |
4 |
<0.10 |
0.154 |
NW |
|
CF |
20200512 |
Sunny |
Moderate |
Mid-Flood |
Surface |
1 |
8:05 |
9.42 |
8.06 |
31.25 |
24.72 |
2.17 |
2 |
<0.10 |
0.164 |
W |
|
CF |
20200512 |
Sunny |
Moderate |
Mid-Flood |
Surface |
1 |
8:05 |
7.56 |
8.22 |
31.55 |
24.93 |
2.34 |
2 |
<0.10 |
0.189 |
W |
|
NF1 |
20200512 |
Sunny |
Moderate |
Mid-Flood |
Bottom |
7.2 |
9:21 |
8.86 |
8.2 |
31.77 |
25.22 |
1.38 |
2 |
<0.10 |
0.158 |
SW |
|
NF1 |
20200512 |
Sunny |
Moderate |
Mid-Flood |
Bottom |
7.2 |
9:21 |
8.2 |
8.04 |
31.1 |
25.22 |
1.66 |
2 |
<0.10 |
0.13 |
W |
|
NF1 |
20200512 |
Sunny |
Moderate |
Mid-Flood |
Middle |
4.1 |
9:22 |
8.37 |
8.13 |
31.89 |
24.99 |
1.59 |
2 |
<0.10 |
0.156 |
W |
|
NF1 |
20200512 |
Sunny |
Moderate |
Mid-Flood |
Middle |
4.1 |
9:22 |
9.62 |
8.24 |
31.71 |
25.05 |
1.72 |
3 |
<0.10 |
0.13 |
W |
|
NF1 |
20200512 |
Sunny |
Moderate |
Mid-Flood |
Surface |
1 |
9:23 |
9.23 |
8.23 |
31.59 |
25.02 |
2.53 |
3 |
<0.10 |
0.185 |
NW |
|
NF1 |
20200512 |
Sunny |
Moderate |
Mid-Flood |
Surface |
1 |
9:23 |
9.42 |
8.01 |
31.6 |
25.07 |
1.96 |
2 |
<0.10 |
0.176 |
W |
|
NF2 |
20200512 |
Sunny |
Moderate |
Mid-Flood |
Bottom |
3.9 |
10:50 |
8.17 |
8.08 |
31.59 |
25.33 |
1.86 |
4 |
<0.10 |
0.144 |
NW |
|
NF2 |
20200512 |
Sunny |
Moderate |
Mid-Flood |
Bottom |
3.9 |
10:50 |
7.73 |
8.1 |
31.46 |
25.3 |
1.92 |
5 |
<0.10 |
0.19 |
W |
|
NF2 |
20200512 |
Sunny |
Moderate |
Mid-Flood |
Surface |
1 |
10:52 |
8.88 |
8.25 |
31.76 |
25.25 |
2.23 |
2 |
<0.10 |
0.14 |
W |
|
NF2 |
20200512 |
Sunny |
Moderate |
Mid-Flood |
Surface |
1 |
10:52 |
9 |
8.23 |
31.51 |
25.23 |
1.69 |
2 |
<0.10 |
0.184 |
NW |
|
NF3 |
20200512 |
Sunny |
Moderate |
Mid-Flood |
Bottom |
11.5 |
10:58 |
8.42 |
8.24 |
31.32 |
25.37 |
1.64 |
4 |
<0.10 |
0.165 |
NW |
|
NF3 |
20200512 |
Sunny |
Moderate |
Mid-Flood |
Bottom |
11.5 |
10:58 |
7.93 |
8.24 |
32.05 |
25.34 |
1.82 |
3 |
<0.10 |
0.147 |
W |
|
NF3 |
20200512 |
Sunny |
Moderate |
Mid-Flood |
Middle |
6.25 |
10:59 |
8.02 |
8.23 |
31.98 |
25.43 |
2.08 |
3 |
<0.10 |
0.14 |
W |
|
NF3 |
20200512 |
Sunny |
Moderate |
Mid-Flood |
Middle |
6.25 |
10:59 |
8.11 |
8.24 |
31.99 |
25.38 |
1.71 |
3 |
<0.10 |
0.138 |
SW |
|
NF3 |
20200512 |
Sunny |
Moderate |
Mid-Flood |
Surface |
1 |
11:00 |
9.18 |
8.2 |
32.33 |
25.72 |
2.4 |
2 |
<0.10 |
0.142 |
W |
|
NF3 |
20200512 |
Sunny |
Moderate |
Mid-Flood |
Surface |
1 |
11:00 |
8.69 |
8.22 |
31.55 |
25.62 |
2.24 |
2 |
<0.10 |
0.176 |
W |
|
WSR01 |
20200512 |
Sunny |
Moderate |
Mid-Flood |
Bottom |
9.7 |
11:06 |
8.27 |
8.24 |
31.12 |
25.53 |
1.75 |
3 |
<0.10 |
0.179 |
W |
|
WSR01 |
20200512 |
Sunny |
Moderate |
Mid-Flood |
Bottom |
9.7 |
11:06 |
9.35 |
8.08 |
31.22 |
25.68 |
1.54 |
3 |
<0.10 |
0.172 |
W |
|
WSR01 |
20200512 |
Sunny |
Moderate |
Mid-Flood |
Middle |
5.35 |
11:07 |
9.39 |
8.14 |
31.83 |
25.6 |
1.42 |
2 |
<0.10 |
0.196 |
NW |
|
WSR01 |
20200512 |
Sunny |
Moderate |
Mid-Flood |
Middle |
5.35 |
11:07 |
8.08 |
8.16 |
31.68 |
25.81 |
2.03 |
3 |
<0.10 |
0.177 |
W |
|
WSR01 |
20200512 |
Sunny |
Moderate |
Mid-Flood |
Surface |
1 |
11:08 |
9.23 |
8.18 |
31.85 |
25.6 |
2.27 |
3 |
<0.10 |
0.18 |
W |
|
WSR01 |
20200512 |
Sunny |
Moderate |
Mid-Flood |
Surface |
1 |
11:08 |
8.3 |
8.07 |
31.54 |
25.68 |
1.95 |
2 |
<0.10 |
0.173 |
SW |
|
WSR02 |
20200512 |
Sunny |
Moderate |
Mid-Flood |
Bottom |
6.7 |
10:38 |
9.1 |
8.02 |
31.8 |
25.47 |
1.28 |
2 |
<0.10 |
0.149 |
W |
|
WSR02 |
20200512 |
Sunny |
Moderate |
Mid-Flood |
Bottom |
6.7 |
10:38 |
8.64 |
8.18 |
31.25 |
25.52 |
1.49 |
3 |
<0.10 |
0.181 |
SW |
|
WSR02 |
20200512 |
Sunny |
Moderate |
Mid-Flood |
Middle |
3.85 |
10:39 |
9.06 |
8.1 |
31.28 |
25.52 |
1.57 |
2 |
<0.10 |
0.147 |
W |
|
WSR02 |
20200512 |
Sunny |
Moderate |
Mid-Flood |
Middle |
3.85 |
10:39 |
9.34 |
8.06 |
31.43 |
25.33 |
2.08 |
2 |
<0.10 |
0.173 |
W |
|
WSR02 |
20200512 |
Sunny |
Moderate |
Mid-Flood |
Surface |
1 |
10:40 |
8.82 |
8.19 |
31.14 |
25.47 |
1.66 |
<2 |
<0.10 |
0.174 |
W |
|
WSR02 |
20200512 |
Sunny |
Moderate |
Mid-Flood |
Surface |
1 |
10:40 |
9.53 |
8.02 |
31.09 |
25.29 |
2.34 |
<2 |
<0.10 |
0.191 |
W |
|
WSR03 |
20200512 |
Sunny |
Moderate |
Mid-Flood |
Bottom |
10 |
10:34 |
9.26 |
8.11 |
31.14 |
25.22 |
1.64 |
2 |
<0.10 |
0.155 |
W |
|
WSR03 |
20200512 |
Sunny |
Moderate |
Mid-Flood |
Bottom |
10 |
10:34 |
8.55 |
8.1 |
31.52 |
25.27 |
1.24 |
2 |
<0.10 |
0.193 |
SW |
|
WSR03 |
20200512 |
Sunny |
Moderate |
Mid-Flood |
Middle |
5.5 |
10:35 |
8.9 |
8.24 |
31.17 |
25.24 |
1.46 |
<2 |
<0.10 |
0.186 |
W |
|
WSR03 |
20200512 |
Sunny |
Moderate |
Mid-Flood |
Middle |
5.5 |
10:35 |
8.19 |
8.08 |
31.44 |
25.3 |
2.28 |
<2 |
<0.10 |
0.18 |
NW |
|
WSR03 |
20200512 |
Sunny |
Moderate |
Mid-Flood |
Surface |
1 |
10:36 |
8.58 |
8.1 |
31.88 |
25.39 |
2.37 |
<2 |
<0.10 |
0.137 |
W |
|
WSR03 |
20200512 |
Sunny |
Moderate |
Mid-Flood |
Surface |
1 |
10:36 |
8.38 |
8.15 |
31.23 |
25.34 |
2.41 |
<2 |
<0.10 |
0.162 |
NW |
|
WSR04 |
20200512 |
Sunny |
Moderate |
Mid-Flood |
Bottom |
5.8 |
10:18 |
8.66 |
8.23 |
31.36 |
25.39 |
1.28 |
4 |
<0.10 |
0.173 |
W |
|
WSR04 |
20200512 |
Sunny |
Moderate |
Mid-Flood |
Bottom |
5.8 |
10:18 |
7.56 |
8.19 |
31.37 |
25.3 |
1.26 |
5 |
<0.10 |
0.163 |
W |
|
WSR04 |
20200512 |
Sunny |
Moderate |
Mid-Flood |
Middle |
3.4 |
10:19 |
8.23 |
8.16 |
31.25 |
25.33 |
1.63 |
3 |
<0.10 |
0.167 |
W |
|
WSR04 |
20200512 |
Sunny |
Moderate |
Mid-Flood |
Middle |
3.4 |
10:19 |
8.55 |
8.15 |
31.64 |
25.27 |
1.87 |
3 |
<0.10 |
0.19 |
NW |
|
WSR04 |
20200512 |
Sunny |
Moderate |
Mid-Flood |
Surface |
1 |
10:20 |
8.07 |
8.19 |
31.29 |
25.25 |
2.39 |
2 |
<0.10 |
0.165 |
W |
|
WSR04 |
20200512 |
Sunny |
Moderate |
Mid-Flood |
Surface |
1 |
10:20 |
9.12 |
8.07 |
31.41 |
25.15 |
1.88 |
2 |
<0.10 |
0.189 |
SW |
|
WSR16 |
20200512 |
Sunny |
Moderate |
Mid-Flood |
Bottom |
9.5 |
9:00 |
9.13 |
8.21 |
31.55 |
24.97 |
1.86 |
2 |
<0.10 |
0.161 |
NW |
|
WSR16 |
20200512 |
Sunny |
Moderate |
Mid-Flood |
Bottom |
9.5 |
9:00 |
9.26 |
8.18 |
31.2 |
24.94 |
1.42 |
2 |
<0.10 |
0.21 |
NW |
|
WSR16 |
20200512 |
Sunny |
Moderate |
Mid-Flood |
Middle |
5.25 |
9:01 |
8.92 |
8.01 |
31.42 |
24.98 |
1.66 |
3 |
<0.10 |
0.192 |
NW |
|
WSR16 |
20200512 |
Sunny |
Moderate |
Mid-Flood |
Middle |
5.25 |
9:01 |
9.61 |
8.25 |
31.53 |
25.02 |
1.42 |
3 |
<0.10 |
0.183 |
NW |
|
WSR16 |
20200512 |
Sunny |
Moderate |
Mid-Flood |
Surface |
1 |
9:02 |
8.5 |
8.14 |
31.53 |
25.03 |
2.46 |
3 |
<0.10 |
0.17 |
NW |
|
WSR16 |
20200512 |
Sunny |
Moderate |
Mid-Flood |
Surface |
1 |
9:02 |
8.79 |
8.05 |
31.68 |
25.06 |
2.36 |
3 |
<0.10 |
0.16 |
NW |
|
WSR33 |
20200512 |
Sunny |
Moderate |
Mid-Flood |
Bottom |
8.3 |
10:02 |
8.8 |
8.06 |
31.4 |
25.04 |
1.8 |
4 |
<0.10 |
0.147 |
W |
|
WSR33 |
20200512 |
Sunny |
Moderate |
Mid-Flood |
Bottom |
8.3 |
10:02 |
8.6 |
8.07 |
31.58 |
25.07 |
1.76 |
5 |
<0.10 |
0.149 |
W |
|
WSR33 |
20200512 |
Sunny |
Moderate |
Mid-Flood |
Middle |
4.65 |
10:03 |
9.2 |
8.23 |
31.22 |
25.29 |
1.45 |
4 |
<0.10 |
0.149 |
W |
|
WSR33 |
20200512 |
Sunny |
Moderate |
Mid-Flood |
Middle |
4.65 |
10:03 |
9.48 |
8.19 |
31.32 |
25.22 |
2.29 |
3 |
<0.10 |
0.14 |
W |
|
WSR33 |
20200512 |
Sunny |
Moderate |
Mid-Flood |
Surface |
1 |
10:04 |
7.8 |
8.12 |
31.37 |
25.35 |
2.1 |
2 |
<0.10 |
0.194 |
W |
|
WSR33 |
20200512 |
Sunny |
Moderate |
Mid-Flood |
Surface |
1 |
10:04 |
8.86 |
8.06 |
31.78 |
25.08 |
1.71 |
3 |
<0.10 |
0.135 |
W |
|
WSR36 |
20200512 |
Sunny |
Moderate |
Mid-Flood |
Bottom |
4.8 |
9:50 |
8.73 |
8.11 |
29.57 |
25.02 |
1.33 |
<2 |
<0.10 |
0.154 |
W |
|
WSR36 |
20200512 |
Sunny |
Moderate |
Mid-Flood |
Bottom |
4.8 |
9:50 |
8.65 |
8.13 |
29.72 |
24.9 |
1.73 |
<2 |
<0.10 |
0.139 |
W |
|
WSR36 |
20200512 |
Sunny |
Moderate |
Mid-Flood |
Surface |
1 |
9:52 |
7.89 |
8.01 |
27.88 |
25.69 |
1.87 |
2 |
<0.10 |
0.174 |
W |
|
WSR36 |
20200512 |
Sunny |
Moderate |
Mid-Flood |
Surface |
1 |
9:52 |
7.48 |
8.06 |
28.2 |
25.56 |
1.81 |
2 |
<0.10 |
0.168 |
NW |
|
WSR37 |
20200512 |
Sunny |
Moderate |
Mid-Flood |
Bottom |
8.3 |
9:33 |
8.53 |
8.21 |
31.56 |
25.03 |
1.87 |
<2 |
<0.10 |
0.129 |
W |
|
WSR37 |
20200512 |
Sunny |
Moderate |
Mid-Flood |
Bottom |
8.3 |
9:33 |
7.92 |
8.2 |
31.36 |
24.91 |
1.56 |
<2 |
<0.10 |
0.137 |
W |
|
WSR37 |
20200512 |
Sunny |
Moderate |
Mid-Flood |
Middle |
4.65 |
9:34 |
8.12 |
8.16 |
31.57 |
25.11 |
1.59 |
2 |
<0.10 |
0.177 |
W |
|
WSR37 |
20200512 |
Sunny |
Moderate |
Mid-Flood |
Middle |
4.65 |
9:34 |
9.21 |
8.1 |
31.55 |
24.99 |
1.73 |
2 |
<0.10 |
0.183 |
W |
|
WSR37 |
20200512 |
Sunny |
Moderate |
Mid-Flood |
Surface |
1 |
9:35 |
8.55 |
8.2 |
32.31 |
25.4 |
1.84 |
3 |
<0.10 |
0.186 |
SW |
|
WSR37 |
20200512 |
Sunny |
Moderate |
Mid-Flood |
Surface |
1 |
9:35 |
8.51 |
8.2 |
32.37 |
25.41 |
2.18 |
3 |
<0.10 |
0.157 |
W |
|
CE |
20200512 |
Sunny |
Moderate |
Mid-Ebb |
Bottom |
11 |
14:49 |
9.11 |
8.17 |
31.8 |
25.61 |
1.71 |
2 |
<0.10 |
0.365 |
E |
|
CE |
20200512 |
Sunny |
Moderate |
Mid-Ebb |
Bottom |
11 |
14:49 |
8.77 |
8.16 |
31.85 |
25.71 |
2.2 |
3 |
<0.10 |
0.388 |
E |
|
CE |
20200512 |
Sunny |
Moderate |
Mid-Ebb |
Middle |
6 |
14:50 |
7.95 |
8.06 |
31.26 |
26.02 |
1.87 |
<2 |
<0.10 |
0.373 |
SE |
|
CE |
20200512 |
Sunny |
Moderate |
Mid-Ebb |
Middle |
6 |
14:50 |
7.56 |
8.04 |
31.8 |
25.84 |
2.23 |
<2 |
<0.10 |
0.369 |
E |
|
CE |
20200512 |
Sunny |
Moderate |
Mid-Ebb |
Surface |
1 |
14:51 |
7.75 |
8.2 |
31.98 |
25.66 |
2.32 |
<2 |
<0.10 |
0.365 |
SE |
|
CE |
20200512 |
Sunny |
Moderate |
Mid-Ebb |
Surface |
1 |
14:51 |
8.32 |
8.28 |
31.4 |
25.91 |
2.89 |
<2 |
<0.10 |
0.275 |
SE |
|
CF |
20200512 |
Sunny |
Moderate |
Mid-Ebb |
Bottom |
11.3 |
14:48 |
8.5 |
8.01 |
31.27 |
25.68 |
2.18 |
4 |
<0.10 |
0.2 |
SE |
|
CF |
20200512 |
Sunny |
Moderate |
Mid-Ebb |
Bottom |
11.3 |
14:48 |
7.47 |
8.05 |
31.74 |
25.67 |
1.69 |
4 |
<0.10 |
0.175 |
E |
|
CF |
20200512 |
Sunny |
Moderate |
Mid-Ebb |
Middle |
6.15 |
14:49 |
7.79 |
8.09 |
31.03 |
26.03 |
2.31 |
3 |
<0.10 |
0.19 |
SE |
|
CF |
20200512 |
Sunny |
Moderate |
Mid-Ebb |
Middle |
6.15 |
14:49 |
7.56 |
8.04 |
31.35 |
26.14 |
2.3 |
2 |
<0.10 |
0.158 |
E |
|
CF |
20200512 |
Sunny |
Moderate |
Mid-Ebb |
Surface |
1 |
14:50 |
8.83 |
8.17 |
31.18 |
25.84 |
2.44 |
3 |
<0.10 |
0.147 |
E |
|
CF |
20200512 |
Sunny |
Moderate |
Mid-Ebb |
Surface |
1 |
14:50 |
7.61 |
8.14 |
31.91 |
25.85 |
2.13 |
3 |
<0.10 |
0.217 |
E |
|
NF1 |
20200512 |
Sunny |
Moderate |
Mid-Ebb |
Bottom |
9.8 |
15:31 |
9.34 |
8.1 |
31.22 |
25.57 |
1.35 |
2 |
<0.10 |
0.136 |
SE |
|
NF1 |
20200512 |
Sunny |
Moderate |
Mid-Ebb |
Bottom |
9.8 |
15:31 |
9.13 |
8.15 |
31.2 |
25.9 |
1.67 |
2 |
<0.10 |
0.161 |
E |
|
NF1 |
20200512 |
Sunny |
Moderate |
Mid-Ebb |
Middle |
5.4 |
15:32 |
8.65 |
8.27 |
31.36 |
25.83 |
1.95 |
<2 |
<0.10 |
0.194 |
E |
|
NF1 |
20200512 |
Sunny |
Moderate |
Mid-Ebb |
Middle |
5.4 |
15:32 |
9.39 |
8.22 |
30.77 |
25.75 |
1.99 |
<2 |
<0.10 |
0.22 |
SE |
|
NF1 |
20200512 |
Sunny |
Moderate |
Mid-Ebb |
Surface |
1 |
15:33 |
8.79 |
8.03 |
31.16 |
25.81 |
1.95 |
<2 |
<0.10 |
0.2 |
E |
|
NF1 |
20200512 |
Sunny |
Moderate |
Mid-Ebb |
Surface |
1 |
15:33 |
7.51 |
8.12 |
31.7 |
25.65 |
1.8 |
<2 |
<0.10 |
0.221 |
E |
|
NF2 |
20200512 |
Sunny |
Moderate |
Mid-Ebb |
Bottom |
4.6 |
17:03 |
7.95 |
8.27 |
31.49 |
25.37 |
1.29 |
2 |
<0.10 |
0.207 |
SE |
|
NF2 |
20200512 |
Sunny |
Moderate |
Mid-Ebb |
Bottom |
4.6 |
17:03 |
9.13 |
8.27 |
31.11 |
25.36 |
1.73 |
2 |
<0.10 |
0.19 |
SE |
|
NF2 |
20200512 |
Sunny |
Moderate |
Mid-Ebb |
Surface |
1 |
17:05 |
9.28 |
8.31 |
31.64 |
25.47 |
2.34 |
2 |
<0.10 |
0.198 |
E |
|
NF2 |
20200512 |
Sunny |
Moderate |
Mid-Ebb |
Surface |
1 |
17:05 |
9.44 |
8.09 |
31.55 |
25.84 |
2.22 |
2 |
<0.10 |
0.147 |
SE |
|
NF3 |
20200512 |
Sunny |
Moderate |
Mid-Ebb |
Bottom |
10.3 |
17:13 |
8.01 |
8.01 |
31.21 |
25.8 |
1.46 |
4 |
<0.10 |
0.219 |
E |
|
NF3 |
20200512 |
Sunny |
Moderate |
Mid-Ebb |
Bottom |
10.3 |
17:13 |
8.3 |
8.3 |
31.29 |
25.48 |
1.25 |
2 |
<0.10 |
0.213 |
SE |
|
NF3 |
20200512 |
Sunny |
Moderate |
Mid-Ebb |
Middle |
5.65 |
17:14 |
9.14 |
8.21 |
30.89 |
25.66 |
1.65 |
3 |
<0.10 |
0.179 |
SE |
|
NF3 |
20200512 |
Sunny |
Moderate |
Mid-Ebb |
Middle |
5.65 |
17:14 |
7.83 |
8.16 |
31.62 |
25.5 |
1.36 |
2 |
<0.10 |
0.221 |
SE |
|
NF3 |
20200512 |
Sunny |
Moderate |
Mid-Ebb |
Surface |
1 |
17:15 |
9.22 |
8.14 |
31.08 |
25.73 |
2.3 |
<2 |
<0.10 |
0.219 |
E |
|
NF3 |
20200512 |
Sunny |
Moderate |
Mid-Ebb |
Surface |
1 |
17:15 |
9.13 |
8.03 |
31.81 |
25.84 |
2.37 |
<2 |
<0.10 |
0.134 |
E |
|
WSR01 |
20200512 |
Sunny |
Moderate |
Mid-Ebb |
Bottom |
8.4 |
17:50 |
8.39 |
8.18 |
31.09 |
25.54 |
1.37 |
2 |
<0.10 |
0.196 |
SE |
|
WSR01 |
20200512 |
Sunny |
Moderate |
Mid-Ebb |
Bottom |
8.4 |
17:50 |
8.84 |
8.01 |
31.8 |
25.74 |
1.24 |
3 |
<0.10 |
0.13 |
SE |
|
WSR01 |
20200512 |
Sunny |
Moderate |
Mid-Ebb |
Middle |
4.7 |
17:51 |
9.4 |
8.1 |
31.4 |
25.79 |
1.59 |
2 |
<0.10 |
0.164 |
SE |
|
WSR01 |
20200512 |
Sunny |
Moderate |
Mid-Ebb |
Middle |
4.7 |
17:51 |
8.93 |
8.27 |
31.38 |
25.55 |
1.97 |
3 |
<0.10 |
0.179 |
SE |
|
WSR01 |
20200512 |
Sunny |
Moderate |
Mid-Ebb |
Surface |
1 |
17:52 |
8.28 |
8.26 |
31.22 |
25.35 |
1.58 |
2 |
<0.10 |
0.203 |
E |
|
WSR01 |
20200512 |
Sunny |
Moderate |
Mid-Ebb |
Surface |
1 |
17:52 |
9.08 |
8.3 |
31.91 |
25.45 |
1.6 |
2 |
<0.10 |
0.154 |
SE |
|
WSR02 |
20200512 |
Sunny |
Moderate |
Mid-Ebb |
Bottom |
8.7 |
17:22 |
7.66 |
8.08 |
30.73 |
25.71 |
1.59 |
2 |
<0.10 |
0.16 |
E |
|
WSR02 |
20200512 |
Sunny |
Moderate |
Mid-Ebb |
Bottom |
8.7 |
17:22 |
9.57 |
8.27 |
31.78 |
25.36 |
1.28 |
2 |
<0.10 |
0.186 |
SE |
|
WSR02 |
20200512 |
Sunny |
Moderate |
Mid-Ebb |
Middle |
4.85 |
17:23 |
8.43 |
8.15 |
30.78 |
25.5 |
1.56 |
3 |
<0.10 |
0.216 |
E |
|
WSR02 |
20200512 |
Sunny |
Moderate |
Mid-Ebb |
Middle |
4.85 |
17:23 |
7.78 |
8.19 |
30.96 |
25.56 |
2.01 |
2 |
<0.10 |
0.202 |
SE |
|
WSR02 |
20200512 |
Sunny |
Moderate |
Mid-Ebb |
Surface |
1 |
17:24 |
9.26 |
8.06 |
30.73 |
25.8 |
2.2 |
3 |
<0.10 |
0.132 |
SE |
|
WSR02 |
20200512 |
Sunny |
Moderate |
Mid-Ebb |
Surface |
1 |
17:24 |
9.38 |
8.08 |
31.6 |
25.65 |
1.7 |
3 |
<0.10 |
0.211 |
E |
|
WSR03 |
20200512 |
Sunny |
Moderate |
Mid-Ebb |
Bottom |
6.8 |
16:46 |
8.36 |
8.2 |
30.84 |
25.81 |
1.81 |
3 |
<0.10 |
0.184 |
E |
|
WSR03 |
20200512 |
Sunny |
Moderate |
Mid-Ebb |
Bottom |
6.8 |
16:46 |
7.56 |
8.24 |
31.32 |
26.02 |
1.35 |
2 |
<0.10 |
0.189 |
E |
|
WSR03 |
20200512 |
Sunny |
Moderate |
Mid-Ebb |
Middle |
3.9 |
16:47 |
7.94 |
8.05 |
31.1 |
25.94 |
1.72 |
3 |
<0.10 |
0.182 |
SE |
|
WSR03 |
20200512 |
Sunny |
Moderate |
Mid-Ebb |
Middle |
3.9 |
16:47 |
9.2 |
8.3 |
31.9 |
25.47 |
1.91 |
3 |
<0.10 |
0.175 |
SE |
|
WSR03 |
20200512 |
Sunny |
Moderate |
Mid-Ebb |
Surface |
1 |
16:48 |
8.03 |
8.15 |
30.92 |
25.53 |
2.3 |
2 |
<0.10 |
0.193 |
E |
|
WSR03 |
20200512 |
Sunny |
Moderate |
Mid-Ebb |
Surface |
1 |
16:48 |
8.99 |
8.17 |
30.94 |
25.89 |
1.89 |
2 |
<0.10 |
0.189 |
E |
|
WSR04 |
20200512 |
Sunny |
Moderate |
Mid-Ebb |
Bottom |
6.5 |
16:30 |
7.99 |
8.13 |
31.87 |
25.48 |
1.81 |
3 |
<0.10 |
0.192 |
E |
|
WSR04 |
20200512 |
Sunny |
Moderate |
Mid-Ebb |
Bottom |
6.5 |
16:30 |
7.5 |
8.27 |
31.8 |
25.76 |
1.61 |
3 |
<0.10 |
0.205 |
SE |
|
WSR04 |
20200512 |
Sunny |
Moderate |
Mid-Ebb |
Middle |
3.75 |
16:31 |
8.94 |
8.04 |
31.73 |
25.52 |
1.92 |
<2 |
<0.10 |
0.149 |
SE |
|
WSR04 |
20200512 |
Sunny |
Moderate |
Mid-Ebb |
Middle |
3.75 |
16:31 |
7.6 |
8.15 |
31.41 |
25.99 |
1.34 |
<2 |
<0.10 |
0.13 |
SE |
|
WSR04 |
20200512 |
Sunny |
Moderate |
Mid-Ebb |
Surface |
1 |
16:32 |
9.59 |
8.06 |
31.26 |
25.65 |
1.89 |
<2 |
<0.10 |
0.133 |
E |
|
WSR04 |
20200512 |
Sunny |
Moderate |
Mid-Ebb |
Surface |
1 |
16:32 |
9.56 |
8.01 |
31.71 |
25.44 |
1.62 |
<2 |
<0.10 |
0.17 |
E |
|
WSR16 |
20200512 |
Sunny |
Moderate |
Mid-Ebb |
Bottom |
11.6 |
15:10 |
7.82 |
8.04 |
31.82 |
25.54 |
1.88 |
3 |
<0.10 |
0.211 |
E |
|
WSR16 |
20200512 |
Sunny |
Moderate |
Mid-Ebb |
Bottom |
11.6 |
15:10 |
9.32 |
8.1 |
31.61 |
25.56 |
1.18 |
3 |
<0.10 |
0.215 |
E |
|
WSR16 |
20200512 |
Sunny |
Moderate |
Mid-Ebb |
Middle |
6.3 |
15:11 |
9.31 |
8.21 |
30.86 |
25.53 |
1.78 |
2 |
<0.10 |
0.199 |
SE |
|
WSR16 |
20200512 |
Sunny |
Moderate |
Mid-Ebb |
Middle |
6.3 |
15:11 |
9.1 |
8.14 |
30.91 |
25.64 |
1.43 |
3 |
<0.10 |
0.198 |
SE |
|
WSR16 |
20200512 |
Sunny |
Moderate |
Mid-Ebb |
Surface |
1 |
15:12 |
8.29 |
8.21 |
31.63 |
25.53 |
1.7 |
2 |
<0.10 |
0.148 |
SE |
|
WSR16 |
20200512 |
Sunny |
Moderate |
Mid-Ebb |
Surface |
1 |
15:12 |
9.59 |
8.31 |
30.81 |
25.82 |
2.4 |
2 |
<0.10 |
0.214 |
SE |
|
WSR33 |
20200512 |
Sunny |
Moderate |
Mid-Ebb |
Bottom |
6.2 |
16:12 |
9.59 |
8.07 |
31.72 |
25.92 |
1.3 |
2 |
<0.10 |
0.211 |
SE |
|
WSR33 |
20200512 |
Sunny |
Moderate |
Mid-Ebb |
Bottom |
6.2 |
16:12 |
8.01 |
8.07 |
30.73 |
25.95 |
1.22 |
3 |
<0.10 |
0.133 |
E |
|
WSR33 |
20200512 |
Sunny |
Moderate |
Mid-Ebb |
Middle |
3.6 |
16:13 |
9.55 |
8.26 |
31.65 |
25.59 |
2.08 |
3 |
<0.10 |
0.204 |
E |
|
WSR33 |
20200512 |
Sunny |
Moderate |
Mid-Ebb |
Middle |
3.6 |
16:13 |
9.47 |
8.05 |
31.26 |
25.55 |
1.53 |
2 |
<0.10 |
0.152 |
E |
|
WSR33 |
20200512 |
Sunny |
Moderate |
Mid-Ebb |
Surface |
1 |
16:14 |
8.95 |
8.04 |
31.22 |
25.94 |
2.02 |
<2 |
<0.10 |
0.13 |
SE |
|
WSR33 |
20200512 |
Sunny |
Moderate |
Mid-Ebb |
Surface |
1 |
16:14 |
9.29 |
8.14 |
31.57 |
25.77 |
2.35 |
<2 |
<0.10 |
0.186 |
E |
|
WSR36 |
20200512 |
Sunny |
Moderate |
Mid-Ebb |
Bottom |
4 |
16:00 |
7.88 |
8.29 |
31.85 |
25.78 |
1.61 |
3 |
<0.10 |
0.193 |
SE |
|
WSR36 |
20200512 |
Sunny |
Moderate |
Mid-Ebb |
Bottom |
4 |
16:00 |
7.85 |
8.12 |
30.94 |
25.78 |
1.56 |
3 |
<0.10 |
0.181 |
SE |
|
WSR36 |
20200512 |
Sunny |
Moderate |
Mid-Ebb |
Surface |
1 |
16:02 |
8.73 |
8.06 |
31.64 |
25.45 |
1.58 |
2 |
<0.10 |
0.13 |
SE |
|
WSR36 |
20200512 |
Sunny |
Moderate |
Mid-Ebb |
Surface |
1 |
16:02 |
7.94 |
8.11 |
31.11 |
25.85 |
2.44 |
2 |
<0.10 |
0.148 |
SE |
|
WSR37 |
20200512 |
Sunny |
Moderate |
Mid-Ebb |
Bottom |
6.9 |
15:44 |
7.87 |
8.05 |
31.81 |
25.77 |
1.9 |
2 |
<0.10 |
0.217 |
SE |
|
WSR37 |
20200512 |
Sunny |
Moderate |
Mid-Ebb |
Bottom |
6.9 |
15:44 |
8.56 |
8.12 |
31.23 |
25.82 |
1.94 |
2 |
<0.10 |
0.171 |
E |
|
WSR37 |
20200512 |
Sunny |
Moderate |
Mid-Ebb |
Middle |
3.95 |
15:45 |
8.55 |
8.24 |
31.84 |
26.11 |
1.76 |
2 |
<0.10 |
0.152 |
SE |
|
WSR37 |
20200512 |
Sunny |
Moderate |
Mid-Ebb |
Middle |
3.95 |
15:45 |
8.64 |
8.06 |
31.46 |
26.09 |
2.11 |
2 |
<0.10 |
0.152 |
E |
|
WSR37 |
20200512 |
Sunny |
Moderate |
Mid-Ebb |
Surface |
1 |
15:46 |
8.47 |
8.3 |
30.73 |
25.67 |
1.93 |
2 |
<0.10 |
0.175 |
SE |
|
WSR37 |
20200512 |
Sunny |
Moderate |
Mid-Ebb |
Surface |
1 |
15:46 |
8.8 |
8.26 |
31.39 |
25.68 |
1.99 |
3 |
<0.10 |
0.197 |
SE |
|
CE |
20200514 |
Cloudy |
Moderate |
Mid-Flood |
Bottom |
12.1 |
8:35 |
8.61 |
8.46 |
30.99 |
25.62 |
2.33 |
3 |
<0.10 |
0.404 |
SE |
|
CE |
20200514 |
Cloudy |
Moderate |
Mid-Flood |
Bottom |
12.1 |
8:35 |
9.45 |
8.36 |
31.81 |
25.38 |
2.4 |
3 |
<0.10 |
0.417 |
E |
|
CE |
20200514 |
Cloudy |
Moderate |
Mid-Flood |
Middle |
6.55 |
8:36 |
8.55 |
8.23 |
31.02 |
25.56 |
2.46 |
2 |
<0.10 |
0.342 |
SE |
|
CE |
20200514 |
Cloudy |
Moderate |
Mid-Flood |
Middle |
6.55 |
8:36 |
9.9 |
8.31 |
31.85 |
25.62 |
1.84 |
3 |
<0.10 |
0.422 |
E |
|
CE |
20200514 |
Cloudy |
Moderate |
Mid-Flood |
Surface |
1 |
8:37 |
9.11 |
8.28 |
30.81 |
25.34 |
2.21 |
<2 |
<0.10 |
0.306 |
SE |
|
CE |
20200514 |
Cloudy |
Moderate |
Mid-Flood |
Surface |
1 |
8:37 |
9.38 |
8.24 |
31.6 |
25.66 |
2.55 |
<2 |
<0.10 |
0.342 |
SE |
|
CF |
20200514 |
Cloudy |
Moderate |
Mid-Flood |
Bottom |
11.3 |
8:35 |
9.77 |
8.41 |
30.75 |
25.34 |
1.71 |
3 |
<0.10 |
0.207 |
SE |
|
CF |
20200514 |
Cloudy |
Moderate |
Mid-Flood |
Bottom |
11.3 |
8:35 |
8.64 |
8.45 |
31.68 |
25.37 |
1.99 |
3 |
<0.10 |
0.181 |
SE |
|
CF |
20200514 |
Cloudy |
Moderate |
Mid-Flood |
Middle |
6.15 |
8:36 |
9.03 |
8.26 |
31.65 |
25.54 |
2.4 |
2 |
<0.10 |
0.166 |
SE |
|
CF |
20200514 |
Cloudy |
Moderate |
Mid-Flood |
Middle |
6.15 |
8:36 |
8.93 |
8.4 |
30.57 |
25.36 |
2.56 |
3 |
<0.10 |
0.201 |
SE |
|
CF |
20200514 |
Cloudy |
Moderate |
Mid-Flood |
Surface |
1 |
8:37 |
9 |
8.31 |
30.92 |
25.56 |
2.69 |
3 |
<0.10 |
0.164 |
E |
|
CF |
20200514 |
Cloudy |
Moderate |
Mid-Flood |
Surface |
1 |
8:37 |
9.47 |
8.46 |
31.19 |
25.47 |
2.23 |
2 |
<0.10 |
0.148 |
E |
|
NF1 |
20200514 |
Cloudy |
Moderate |
Mid-Flood |
Bottom |
9.4 |
9:17 |
8.58 |
8.43 |
31.88 |
25.31 |
1.58 |
3 |
<0.10 |
0.184 |
SE |
|
NF1 |
20200514 |
Cloudy |
Moderate |
Mid-Flood |
Bottom |
9.4 |
9:17 |
9.3 |
8.32 |
30.56 |
25.44 |
2.1 |
4 |
<0.10 |
0.173 |
SE |
|
NF1 |
20200514 |
Cloudy |
Moderate |
Mid-Flood |
Middle |
5.2 |
9:18 |
9.54 |
8.21 |
30.85 |
25.3 |
2.12 |
3 |
<0.10 |
0.202 |
SE |
|
NF1 |
20200514 |
Cloudy |
Moderate |
Mid-Flood |
Middle |
5.2 |
9:18 |
9.37 |
8.38 |
31.47 |
25.48 |
2.43 |
4 |
<0.10 |
0.163 |
SE |
|
NF1 |
20200514 |
Cloudy |
Moderate |
Mid-Flood |
Surface |
1 |
9:19 |
8.77 |
8.44 |
31 |
25.64 |
2.55 |
3 |
<0.10 |
0.17 |
E |
|
NF1 |
20200514 |
Cloudy |
Moderate |
Mid-Flood |
Surface |
1 |
9:19 |
9.51 |
8.4 |
30.85 |
25.49 |
2.12 |
3 |
<0.10 |
0.179 |
SE |
|
NF2 |
20200514 |
Cloudy |
Moderate |
Mid-Flood |
Bottom |
8.9 |
10:49 |
8.62 |
8.26 |
31.88 |
25.49 |
2.42 |
4 |
<0.10 |
0.171 |
SE |
|
NF2 |
20200514 |
Cloudy |
Moderate |
Mid-Flood |
Bottom |
8.9 |
10:49 |
9.19 |
8.33 |
30.65 |
25.3 |
2.26 |
3 |
<0.10 |
0.215 |
SE |
|
NF2 |
20200514 |
Cloudy |
Moderate |
Mid-Flood |
Middle |
4.95 |
10:50 |
9.98 |
8.39 |
30.65 |
25.72 |
2.65 |
4 |
<0.10 |
0.152 |
SE |
|
NF2 |
20200514 |
Cloudy |
Moderate |
Mid-Flood |
Middle |
4.95 |
10:50 |
8.93 |
8.47 |
31.32 |
25.74 |
2.21 |
3 |
<0.10 |
0.155 |
E |
|
NF2 |
20200514 |
Cloudy |
Moderate |
Mid-Flood |
Surface |
1 |
10:51 |
9.62 |
8.23 |
30.67 |
25.69 |
2.84 |
4 |
<0.10 |
0.167 |
E |
|
NF2 |
20200514 |
Cloudy |
Moderate |
Mid-Flood |
Surface |
1 |
10:51 |
9.51 |
8.27 |
31.77 |
25.51 |
2.05 |
4 |
<0.10 |
0.131 |
SE |
|
NF3 |
20200514 |
Cloudy |
Moderate |
Mid-Flood |
Bottom |
9.4 |
10:58 |
9.65 |
8.27 |
31.76 |
25.52 |
2.04 |
3 |
<0.10 |
0.195 |
SE |
|
NF3 |
20200514 |
Cloudy |
Moderate |
Mid-Flood |
Bottom |
9.4 |
10:58 |
9.78 |
8.25 |
31.22 |
25.82 |
1.6 |
3 |
<0.10 |
0.193 |
E |
|
NF3 |
20200514 |
Cloudy |
Moderate |
Mid-Flood |
Middle |
5.2 |
10:59 |
9.19 |
8.27 |
30.69 |
25.5 |
2.51 |
2 |
<0.10 |
0.205 |
SE |
|
NF3 |
20200514 |
Cloudy |
Moderate |
Mid-Flood |
Middle |
5.2 |
10:59 |
9.75 |
8.39 |
31.54 |
25.32 |
1.97 |
3 |
<0.10 |
0.175 |
E |
|
NF3 |
20200514 |
Cloudy |
Moderate |
Mid-Flood |
Surface |
1 |
11:00 |
9.4 |
8.25 |
31.78 |
25.74 |
2.06 |
2 |
<0.10 |
0.151 |
SE |
|
NF3 |
20200514 |
Cloudy |
Moderate |
Mid-Flood |
Surface |
1 |
11:00 |
9.7 |
8.29 |
30.55 |
25.57 |
2.79 |
3 |
<0.10 |
0.151 |
E |
|
WSR01 |
20200514 |
Cloudy |
Moderate |
Mid-Flood |
Bottom |
7.4 |
11:44 |
8.43 |
8.38 |
31.27 |
25.86 |
1.57 |
3 |
<0.10 |
0.219 |
SE |
|
WSR01 |
20200514 |
Cloudy |
Moderate |
Mid-Flood |
Bottom |
7.4 |
11:44 |
9.33 |
8.36 |
31.32 |
25.71 |
1.57 |
3 |
<0.10 |
0.16 |
E |
|
WSR01 |
20200514 |
Cloudy |
Moderate |
Mid-Flood |
Middle |
4.2 |
11:45 |
9.26 |
8.43 |
31.45 |
25.75 |
2.57 |
2 |
<0.10 |
0.13 |
E |
|
WSR01 |
20200514 |
Cloudy |
Moderate |
Mid-Flood |
Middle |
4.2 |
11:45 |
8.82 |
8.25 |
31.83 |
25.64 |
2.31 |
3 |
<0.10 |
0.138 |
E |
|
WSR01 |
20200514 |
Cloudy |
Moderate |
Mid-Flood |
Surface |
1 |
11:46 |
9.47 |
8.18 |
30.57 |
25.4 |
2.89 |
3 |
<0.10 |
0.19 |
SE |
|
WSR01 |
20200514 |
Cloudy |
Moderate |
Mid-Flood |
Surface |
1 |
11:46 |
8.47 |
8.23 |
31.44 |
25.86 |
2.44 |
2 |
<0.10 |
0.18 |
SE |
|
WSR02 |
20200514 |
Cloudy |
Moderate |
Mid-Flood |
Bottom |
8.1 |
11:16 |
9.28 |
8.46 |
31.61 |
25.53 |
1.7 |
4 |
<0.10 |
0.15 |
SE |
|
WSR02 |
20200514 |
Cloudy |
Moderate |
Mid-Flood |
Bottom |
8.1 |
11:16 |
8.68 |
8.34 |
30.56 |
25.54 |
2.27 |
5 |
<0.10 |
0.168 |
E |
|
WSR02 |
20200514 |
Cloudy |
Moderate |
Mid-Flood |
Middle |
4.55 |
11:17 |
8.67 |
8.35 |
30.49 |
25.42 |
2.65 |
2 |
<0.10 |
0.18 |
E |
|
WSR02 |
20200514 |
Cloudy |
Moderate |
Mid-Flood |
Middle |
4.55 |
11:17 |
9.11 |
8.38 |
31.58 |
25.7 |
1.78 |
2 |
<0.10 |
0.205 |
SE |
|
WSR02 |
20200514 |
Cloudy |
Moderate |
Mid-Flood |
Surface |
1 |
11:18 |
9.97 |
8.29 |
31.73 |
25.63 |
2.3 |
2 |
<0.10 |
0.189 |
E |
|
WSR02 |
20200514 |
Cloudy |
Moderate |
Mid-Flood |
Surface |
1 |
11:18 |
8.67 |
8.17 |
31.27 |
25.53 |
2.53 |
2 |
<0.10 |
0.134 |
SE |
|
WSR03 |
20200514 |
Cloudy |
Moderate |
Mid-Flood |
Bottom |
6.7 |
10:31 |
8.8 |
8.45 |
31.86 |
25.58 |
2.02 |
8 |
<0.10 |
0.162 |
SE |
|
WSR03 |
20200514 |
Cloudy |
Moderate |
Mid-Flood |
Bottom |
6.7 |
10:31 |
9.81 |
8.33 |
31.81 |
25.54 |
1.75 |
9 |
<0.10 |
0.175 |
SE |
|
WSR03 |
20200514 |
Cloudy |
Moderate |
Mid-Flood |
Middle |
3.85 |
10:32 |
9.59 |
8.5 |
31.82 |
25.72 |
1.86 |
5 |
<0.10 |
0.213 |
SE |
|
WSR03 |
20200514 |
Cloudy |
Moderate |
Mid-Flood |
Middle |
3.85 |
10:32 |
9.38 |
8.2 |
31.05 |
25.76 |
1.82 |
4 |
<0.10 |
0.167 |
SE |
|
WSR03 |
20200514 |
Cloudy |
Moderate |
Mid-Flood |
Surface |
1 |
10:33 |
8.69 |
8.41 |
31.37 |
25.34 |
2.42 |
3 |
<0.10 |
0.136 |
E |
|
WSR03 |
20200514 |
Cloudy |
Moderate |
Mid-Flood |
Surface |
1 |
10:33 |
8.44 |
8.41 |
31.67 |
25.71 |
2.25 |
4 |
<0.10 |
0.176 |
SE |
|
WSR04 |
20200514 |
Cloudy |
Moderate |
Mid-Flood |
Bottom |
6.5 |
10:14 |
9.85 |
8.23 |
30.54 |
25.8 |
2.32 |
2 |
<0.10 |
0.148 |
E |
|
WSR04 |
20200514 |
Cloudy |
Moderate |
Mid-Flood |
Bottom |
6.5 |
10:14 |
9.19 |
8.37 |
31.85 |
25.76 |
1.83 |
3 |
<0.10 |
0.14 |
SE |
|
WSR04 |
20200514 |
Cloudy |
Moderate |
Mid-Flood |
Middle |
3.75 |
10:15 |
9.35 |
8.47 |
30.69 |
25.46 |
2.45 |
3 |
<0.10 |
0.133 |
E |
|
WSR04 |
20200514 |
Cloudy |
Moderate |
Mid-Flood |
Middle |
3.75 |
10:15 |
8.54 |
8.27 |
31.14 |
25.46 |
1.9 |
2 |
<0.10 |
0.148 |
E |
|
WSR04 |
20200514 |
Cloudy |
Moderate |
Mid-Flood |
Surface |
1 |
10:16 |
9.93 |
8.18 |
30.81 |
25.71 |
2.68 |
5 |
<0.10 |
0.181 |
SE |
|
WSR04 |
20200514 |
Cloudy |
Moderate |
Mid-Flood |
Surface |
1 |
10:16 |
8.46 |
8.21 |
30.81 |
25.35 |
2.55 |
4 |
<0.10 |
0.183 |
E |
|
WSR16 |
20200514 |
Cloudy |
Moderate |
Mid-Flood |
Bottom |
11.4 |
8:55 |
9.3 |
8.27 |
30.93 |
25.48 |
2.04 |
4 |
<0.10 |
0.202 |
SE |
|
WSR16 |
20200514 |
Cloudy |
Moderate |
Mid-Flood |
Bottom |
11.4 |
8:55 |
8.92 |
8.21 |
31.39 |
25.41 |
2.13 |
4 |
<0.10 |
0.206 |
SE |
|
WSR16 |
20200514 |
Cloudy |
Moderate |
Mid-Flood |
Middle |
6.2 |
8:56 |
9.04 |
8.31 |
31.78 |
25.61 |
2.56 |
3 |
<0.10 |
0.218 |
SE |
|
WSR16 |
20200514 |
Cloudy |
Moderate |
Mid-Flood |
Middle |
6.2 |
8:56 |
9.31 |
8.27 |
31.16 |
25.46 |
2.44 |
4 |
<0.10 |
0.228 |
E |
|
WSR16 |
20200514 |
Cloudy |
Moderate |
Mid-Flood |
Surface |
1 |
8:57 |
8.91 |
8.22 |
31.09 |
25.46 |
2.71 |
4 |
<0.10 |
0.149 |
E |
|
WSR16 |
20200514 |
Cloudy |
Moderate |
Mid-Flood |
Surface |
1 |
8:57 |
9.52 |
8.38 |
30.8 |
25.48 |
2.81 |
3 |
<0.10 |
0.175 |
SE |
|
WSR33 |
20200514 |
Cloudy |
Moderate |
Mid-Flood |
Bottom |
6.7 |
9:58 |
9.5 |
8.31 |
30.88 |
25.57 |
1.99 |
3 |
<0.10 |
0.165 |
E |
|
WSR33 |
20200514 |
Cloudy |
Moderate |
Mid-Flood |
Bottom |
6.7 |
9:58 |
8.81 |
8.46 |
31.05 |
25.42 |
1.89 |
3 |
<0.10 |
0.203 |
SE |
|
WSR33 |
20200514 |
Cloudy |
Moderate |
Mid-Flood |
Middle |
3.85 |
9:59 |
8.84 |
8.37 |
30.86 |
25.32 |
2.22 |
3 |
<0.10 |
0.206 |
E |
|
WSR33 |
20200514 |
Cloudy |
Moderate |
Mid-Flood |
Middle |
3.85 |
9:59 |
9.39 |
8.4 |
31.14 |
25.43 |
2.32 |
3 |
<0.10 |
0.152 |
SE |
|
WSR33 |
20200514 |
Cloudy |
Moderate |
Mid-Flood |
Surface |
1 |
10:00 |
8.48 |
8.34 |
31.42 |
25.37 |
2.45 |
2 |
<0.10 |
0.215 |
E |
|
WSR33 |
20200514 |
Cloudy |
Moderate |
Mid-Flood |
Surface |
1 |
10:00 |
8.96 |
8.21 |
31.35 |
25.58 |
2.78 |
2 |
<0.10 |
0.191 |
SE |
|
WSR36 |
20200514 |
Cloudy |
Moderate |
Mid-Flood |
Bottom |
4.1 |
9:45 |
9.54 |
8.36 |
31.74 |
25.57 |
1.78 |
2 |
<0.10 |
0.157 |
E |
|
WSR36 |
20200514 |
Cloudy |
Moderate |
Mid-Flood |
Bottom |
4.1 |
9:45 |
8.45 |
8.48 |
31.51 |
25.56 |
1.96 |
2 |
<0.10 |
0.211 |
E |
|
WSR36 |
20200514 |
Cloudy |
Moderate |
Mid-Flood |
Surface |
1 |
9:47 |
8.91 |
8.24 |
30.98 |
25.56 |
2.78 |
4 |
<0.10 |
0.177 |
E |
|
WSR36 |
20200514 |
Cloudy |
Moderate |
Mid-Flood |
Surface |
1 |
9:47 |
8.69 |
8.25 |
31.01 |
25.33 |
2.34 |
3 |
<0.10 |
0.183 |
SE |
|
WSR37 |
20200514 |
Cloudy |
Moderate |
Mid-Flood |
Bottom |
6.6 |
9:28 |
9.84 |
8.22 |
31.06 |
25.33 |
2.24 |
5 |
<0.10 |
0.201 |
E |
|
WSR37 |
20200514 |
Cloudy |
Moderate |
Mid-Flood |
Bottom |
6.6 |
9:28 |
9.72 |
8.38 |
31.05 |
25.52 |
1.76 |
4 |
<0.10 |
0.168 |
E |
|
WSR37 |
20200514 |
Cloudy |
Moderate |
Mid-Flood |
Middle |
3.8 |
9:29 |
9.65 |
8.37 |
31.28 |
25.66 |
1.99 |
3 |
<0.10 |
0.141 |
SE |
|
WSR37 |
20200514 |
Cloudy |
Moderate |
Mid-Flood |
Middle |
3.8 |
9:29 |
9.2 |
8.33 |
30.58 |
25.33 |
2.17 |
2 |
<0.10 |
0.175 |
E |
|
WSR37 |
20200514 |
Cloudy |
Moderate |
Mid-Flood |
Surface |
1 |
9:30 |
9.87 |
8.35 |
31.86 |
25.68 |
2.08 |
2 |
<0.10 |
0.184 |
E |
|
WSR37 |
20200514 |
Cloudy |
Moderate |
Mid-Flood |
Surface |
1 |
9:30 |
9.55 |
8.38 |
31.01 |
25.42 |
2.06 |
2 |
<0.10 |
0.202 |
SE |
|
CE |
20200514 |
Cloudy |
Moderate |
Mid-Ebb |
Bottom |
10.4 |
14:11 |
9.14 |
8.25 |
31.68 |
25.66 |
1.61 |
3 |
<0.10 |
0.184 |
NW |
|
CE |
20200514 |
Cloudy |
Moderate |
Mid-Ebb |
Bottom |
10.4 |
14:11 |
8.98 |
8.36 |
31.13 |
26.17 |
1.75 |
3 |
<0.10 |
0.163 |
NW |
|
CE |
20200514 |
Cloudy |
Moderate |
Mid-Ebb |
Middle |
5.7 |
14:12 |
8.61 |
8.41 |
30.88 |
25.77 |
2.59 |
2 |
<0.10 |
0.195 |
NW |
|
CE |
20200514 |
Cloudy |
Moderate |
Mid-Ebb |
Middle |
5.7 |
14:12 |
9.5 |
8.29 |
30.36 |
25.9 |
2.21 |
2 |
<0.10 |
0.196 |
NW |
|
CE |
20200514 |
Cloudy |
Moderate |
Mid-Ebb |
Surface |
1 |
14:13 |
9.18 |
8.4 |
31.09 |
26.21 |
2.17 |
3 |
<0.10 |
0.218 |
NW |
|
CE |
20200514 |
Cloudy |
Moderate |
Mid-Ebb |
Surface |
1 |
14:13 |
9.89 |
8.24 |
30.71 |
25.71 |
2.11 |
2 |
<0.10 |
0.18 |
N |
|
CF |
20200514 |
Cloudy |
Moderate |
Mid-Ebb |
Bottom |
11 |
14:06 |
8.83 |
8.42 |
30.48 |
25.85 |
2.26 |
3 |
<0.10 |
0.178 |
W |
|
CF |
20200514 |
Cloudy |
Moderate |
Mid-Ebb |
Bottom |
11 |
14:06 |
8.72 |
8.51 |
30.89 |
26.21 |
2.07 |
3 |
<0.10 |
0.163 |
W |
|
CF |
20200514 |
Cloudy |
Moderate |
Mid-Ebb |
Middle |
6 |
14:07 |
9.78 |
8.36 |
31.56 |
25.89 |
2.48 |
3 |
<0.10 |
0.246 |
NW |
|
CF |
20200514 |
Cloudy |
Moderate |
Mid-Ebb |
Middle |
6 |
14:07 |
8.73 |
8.36 |
30.44 |
26.01 |
1.86 |
2 |
<0.10 |
0.168 |
NW |
|
CF |
20200514 |
Cloudy |
Moderate |
Mid-Ebb |
Surface |
1 |
14:08 |
10.12 |
8.23 |
30.37 |
25.61 |
2.28 |
3 |
<0.10 |
0.192 |
SW |
|
CF |
20200514 |
Cloudy |
Moderate |
Mid-Ebb |
Surface |
1 |
14:08 |
10.03 |
8.42 |
31.06 |
26.18 |
2.08 |
2 |
<0.10 |
0.224 |
W |
|
NF1 |
20200514 |
Cloudy |
Moderate |
Mid-Ebb |
Bottom |
10.2 |
14:53 |
8.58 |
8.46 |
30.9 |
26.03 |
2.28 |
4 |
<0.10 |
0.185 |
W |
|
NF1 |
20200514 |
Cloudy |
Moderate |
Mid-Ebb |
Bottom |
10.2 |
14:53 |
9.16 |
8.4 |
30.62 |
25.87 |
2.4 |
3 |
<0.10 |
0.155 |
W |
|
NF1 |
20200514 |
Cloudy |
Moderate |
Mid-Ebb |
Middle |
5.6 |
14:54 |
9.98 |
8.3 |
31.09 |
26.26 |
2.16 |
2 |
<0.10 |
0.152 |
W |
|
NF1 |
20200514 |
Cloudy |
Moderate |
Mid-Ebb |
Middle |
5.6 |
14:54 |
9.77 |
8.28 |
30.38 |
26.06 |
1.89 |
4 |
<0.10 |
0.159 |
NW |
|
NF1 |
20200514 |
Cloudy |
Moderate |
Mid-Ebb |
Surface |
1 |
14:55 |
8.89 |
8.46 |
31.2 |
26.19 |
2.29 |
<2 |
<0.10 |
0.176 |
W |
|
NF1 |
20200514 |
Cloudy |
Moderate |
Mid-Ebb |
Surface |
1 |
14:55 |
9.04 |
8.29 |
31.53 |
26.23 |
2.12 |
<2 |
<0.10 |
0.155 |
NW |
|
NF2 |
20200514 |
Cloudy |
Moderate |
Mid-Ebb |
Bottom |
8.7 |
16:28 |
9.72 |
8.24 |
31.11 |
25.96 |
1.69 |
3 |
<0.10 |
0.196 |
W |
|
NF2 |
20200514 |
Cloudy |
Moderate |
Mid-Ebb |
Bottom |
8.7 |
16:28 |
9.95 |
8.4 |
31.11 |
25.79 |
1.95 |
2 |
<0.10 |
0.133 |
NW |
|
NF2 |
20200514 |
Cloudy |
Moderate |
Mid-Ebb |
Middle |
4.85 |
16:29 |
10.15 |
8.24 |
31.37 |
26.08 |
2.21 |
2 |
<0.10 |
0.138 |
SW |
|
NF2 |
20200514 |
Cloudy |
Moderate |
Mid-Ebb |
Middle |
4.85 |
16:29 |
8.83 |
8.21 |
30.42 |
26.05 |
2 |
2 |
<0.10 |
0.183 |
SW |
|
NF2 |
20200514 |
Cloudy |
Moderate |
Mid-Ebb |
Surface |
1 |
16:30 |
10.01 |
8.34 |
31.19 |
25.86 |
2.2 |
<2 |
<0.10 |
0.183 |
SW |
|
NF2 |
20200514 |
Cloudy |
Moderate |
Mid-Ebb |
Surface |
1 |
16:30 |
10.09 |
8.27 |
31.16 |
26.08 |
2.57 |
<2 |
<0.10 |
0.141 |
W |
|
NF3 |
20200514 |
Cloudy |
Moderate |
Mid-Ebb |
Bottom |
9.9 |
16:36 |
9.12 |
8.26 |
31.1 |
25.9 |
1.61 |
4 |
<0.10 |
0.155 |
W |
|
NF3 |
20200514 |
Cloudy |
Moderate |
Mid-Ebb |
Bottom |
9.9 |
16:36 |
10.11 |
8.23 |
31.12 |
25.76 |
1.63 |
3 |
<0.10 |
0.172 |
NW |
|
NF3 |
20200514 |
Cloudy |
Moderate |
Mid-Ebb |
Middle |
5.45 |
16:37 |
9.25 |
8.43 |
30.58 |
26.11 |
2.66 |
2 |
<0.10 |
0.138 |
NW |
|
NF3 |
20200514 |
Cloudy |
Moderate |
Mid-Ebb |
Middle |
5.45 |
16:37 |
8.73 |
8.36 |
30.75 |
26.16 |
2.03 |
3 |
<0.10 |
0.171 |
SW |
|
NF3 |
20200514 |
Cloudy |
Moderate |
Mid-Ebb |
Surface |
1 |
16:38 |
9.49 |
8.48 |
30.66 |
25.78 |
2.84 |
2 |
<0.10 |
0.171 |
W |
|
NF3 |
20200514 |
Cloudy |
Moderate |
Mid-Ebb |
Surface |
1 |
16:38 |
9.78 |
8.25 |
30.9 |
25.78 |
2.89 |
2 |
<0.10 |
0.168 |
SW |
|
WSR01 |
20200514 |
Cloudy |
Moderate |
Mid-Ebb |
Bottom |
7.5 |
17:13 |
9.32 |
8.48 |
31.3 |
25.77 |
1.69 |
4 |
<0.10 |
0.194 |
W |
|
WSR01 |
20200514 |
Cloudy |
Moderate |
Mid-Ebb |
Bottom |
7.5 |
17:13 |
9.4 |
8.38 |
31.58 |
26.1 |
1.84 |
5 |
<0.10 |
0.174 |
SW |
|
WSR01 |
20200514 |
Cloudy |
Moderate |
Mid-Ebb |
Middle |
4.25 |
17:14 |
9.81 |
8.31 |
31.24 |
25.83 |
2.18 |
4 |
<0.10 |
0.155 |
NW |
|
WSR01 |
20200514 |
Cloudy |
Moderate |
Mid-Ebb |
Middle |
4.25 |
17:14 |
9.81 |
8.24 |
30.9 |
25.93 |
1.95 |
3 |
<0.10 |
0.144 |
W |
|
WSR01 |
20200514 |
Cloudy |
Moderate |
Mid-Ebb |
Surface |
1 |
17:15 |
9.85 |
8.35 |
30.64 |
25.74 |
2.22 |
3 |
<0.10 |
0.142 |
SW |
|
WSR01 |
20200514 |
Cloudy |
Moderate |
Mid-Ebb |
Surface |
1 |
17:15 |
9.18 |
8.33 |
30.66 |
25.77 |
2.7 |
4 |
<0.10 |
0.155 |
W |
|
WSR02 |
20200514 |
Cloudy |
Moderate |
Mid-Ebb |
Bottom |
8 |
16:47 |
8.72 |
8.45 |
31.23 |
26.18 |
2.19 |
3 |
<0.10 |
0.162 |
W |
|
WSR02 |
20200514 |
Cloudy |
Moderate |
Mid-Ebb |
Bottom |
8 |
16:47 |
9.52 |
8.42 |
30.9 |
26.12 |
1.96 |
2 |
<0.10 |
0.148 |
W |
|
WSR02 |
20200514 |
Cloudy |
Moderate |
Mid-Ebb |
Middle |
4.5 |
16:48 |
9.33 |
8.42 |
30.98 |
25.76 |
1.95 |
3 |
<0.10 |
0.162 |
NW |
|
WSR02 |
20200514 |
Cloudy |
Moderate |
Mid-Ebb |
Middle |
4.5 |
16:48 |
8.71 |
8.21 |
31.27 |
26.14 |
2.44 |
3 |
<0.10 |
0.149 |
SW |
|
WSR02 |
20200514 |
Cloudy |
Moderate |
Mid-Ebb |
Surface |
1 |
16:49 |
9.55 |
8.31 |
31.6 |
26.07 |
2.59 |
4 |
<0.10 |
0.183 |
W |
|
WSR02 |
20200514 |
Cloudy |
Moderate |
Mid-Ebb |
Surface |
1 |
16:49 |
9.3 |
8.26 |
30.99 |
26.11 |
2.47 |
5 |
<0.10 |
0.156 |
SW |
|
WSR03 |
20200514 |
Cloudy |
Moderate |
Mid-Ebb |
Bottom |
7.1 |
16:12 |
8.64 |
8.5 |
30.71 |
25.88 |
1.94 |
3 |
<0.10 |
0.15 |
NW |
|
WSR03 |
20200514 |
Cloudy |
Moderate |
Mid-Ebb |
Bottom |
7.1 |
16:12 |
9 |
8.51 |
31.65 |
26.08 |
2.29 |
2 |
<0.10 |
0.159 |
W |
|
WSR03 |
20200514 |
Cloudy |
Moderate |
Mid-Ebb |
Middle |
4.05 |
16:13 |
9.66 |
8.28 |
31.39 |
26.35 |
2.2 |
2 |
<0.10 |
0.159 |
SW |
|
WSR03 |
20200514 |
Cloudy |
Moderate |
Mid-Ebb |
Middle |
4.05 |
16:13 |
9.27 |
8.39 |
31.34 |
26.04 |
2.43 |
3 |
<0.10 |
0.128 |
W |
|
WSR03 |
20200514 |
Cloudy |
Moderate |
Mid-Ebb |
Surface |
1 |
16:14 |
9.04 |
8.51 |
31.24 |
25.83 |
2.69 |
4 |
<0.10 |
0.169 |
NW |
|
WSR03 |
20200514 |
Cloudy |
Moderate |
Mid-Ebb |
Surface |
1 |
16:14 |
9.43 |
8.46 |
31.05 |
26.3 |
2.82 |
3 |
<0.10 |
0.162 |
W |
|
WSR04 |
20200514 |
Cloudy |
Moderate |
Mid-Ebb |
Bottom |
6.3 |
15:55 |
9.33 |
8.45 |
30.63 |
26.13 |
1.57 |
4 |
<0.10 |
0.164 |
W |
|
WSR04 |
20200514 |
Cloudy |
Moderate |
Mid-Ebb |
Bottom |
6.3 |
15:55 |
9.4 |
8.4 |
31.48 |
26.01 |
2.02 |
3 |
<0.10 |
0.189 |
W |
|
WSR04 |
20200514 |
Cloudy |
Moderate |
Mid-Ebb |
Middle |
3.65 |
15:56 |
9.61 |
8.51 |
30.85 |
26.32 |
2.55 |
4 |
<0.10 |
0.19 |
SW |
|
WSR04 |
20200514 |
Cloudy |
Moderate |
Mid-Ebb |
Middle |
3.65 |
15:56 |
9.08 |
8.33 |
31.29 |
25.82 |
2.39 |
3 |
<0.10 |
0.163 |
SW |
|
WSR04 |
20200514 |
Cloudy |
Moderate |
Mid-Ebb |
Surface |
1 |
15:57 |
9.03 |
8.47 |
30.32 |
26.02 |
2.12 |
2 |
<0.10 |
0.162 |
W |
|
WSR04 |
20200514 |
Cloudy |
Moderate |
Mid-Ebb |
Surface |
1 |
15:57 |
9.89 |
8.46 |
30.61 |
25.82 |
2.33 |
2 |
<0.10 |
0.171 |
W |
|
WSR16 |
20200514 |
Cloudy |
Moderate |
Mid-Ebb |
Bottom |
11.2 |
14:31 |
9.65 |
8.41 |
31.59 |
25.89 |
1.99 |
3 |
<0.10 |
0.165 |
N |
|
WSR16 |
20200514 |
Cloudy |
Moderate |
Mid-Ebb |
Bottom |
11.2 |
14:31 |
9.55 |
8.26 |
30.93 |
25.6 |
2.03 |
3 |
<0.10 |
0.183 |
N |
|
WSR16 |
20200514 |
Cloudy |
Moderate |
Mid-Ebb |
Middle |
6.1 |
14:32 |
8.67 |
8.47 |
30.57 |
26.14 |
2.01 |
6 |
<0.10 |
0.182 |
NW |
|
WSR16 |
20200514 |
Cloudy |
Moderate |
Mid-Ebb |
Middle |
6.1 |
14:32 |
9.24 |
8.42 |
31.47 |
25.79 |
2.5 |
5 |
<0.10 |
0.222 |
NW |
|
WSR16 |
20200514 |
Cloudy |
Moderate |
Mid-Ebb |
Surface |
1 |
14:33 |
10.04 |
8.22 |
30.75 |
25.6 |
2.27 |
6 |
<0.10 |
0.213 |
N |
|
WSR16 |
20200514 |
Cloudy |
Moderate |
Mid-Ebb |
Surface |
1 |
14:33 |
8.58 |
8.49 |
30.77 |
26.15 |
2.46 |
6 |
<0.10 |
0.207 |
NW |
|
WSR33 |
20200514 |
Cloudy |
Moderate |
Mid-Ebb |
Bottom |
6.1 |
15:38 |
9.99 |
8.27 |
30.87 |
25.86 |
2.16 |
5 |
<0.10 |
0.158 |
W |
|
WSR33 |
20200514 |
Cloudy |
Moderate |
Mid-Ebb |
Bottom |
6.1 |
15:38 |
9.32 |
8.45 |
30.37 |
26.19 |
2.11 |
4 |
<0.10 |
0.15 |
W |
|
WSR33 |
20200514 |
Cloudy |
Moderate |
Mid-Ebb |
Middle |
3.55 |
15:39 |
9.11 |
8.25 |
31.56 |
25.88 |
1.93 |
4 |
<0.10 |
0.167 |
W |
|
WSR33 |
20200514 |
Cloudy |
Moderate |
Mid-Ebb |
Middle |
3.55 |
15:39 |
8.68 |
8.43 |
30.71 |
26.33 |
2.15 |
3 |
<0.10 |
0.19 |
W |
|
WSR33 |
20200514 |
Cloudy |
Moderate |
Mid-Ebb |
Surface |
1 |
15:40 |
8.93 |
8.32 |
30.35 |
25.87 |
2.32 |
3 |
<0.10 |
0.177 |
SW |
|
WSR33 |
20200514 |
Cloudy |
Moderate |
Mid-Ebb |
Surface |
1 |
15:40 |
9.56 |
8.29 |
31.15 |
25.76 |
2.14 |
2 |
<0.10 |
0.194 |
SW |
|
WSR36 |
20200514 |
Cloudy |
Moderate |
Mid-Ebb |
Bottom |
4.2 |
15:26 |
8.92 |
8.34 |
31.28 |
26.32 |
2.37 |
3 |
<0.10 |
0.18 |
W |
|
WSR36 |
20200514 |
Cloudy |
Moderate |
Mid-Ebb |
Bottom |
4.2 |
15:26 |
10 |
8.22 |
30.31 |
25.81 |
1.78 |
3 |
<0.10 |
0.142 |
W |
|
WSR36 |
20200514 |
Cloudy |
Moderate |
Mid-Ebb |
Surface |
1 |
15:28 |
9.21 |
8.46 |
30.35 |
26.3 |
2.17 |
4 |
<0.10 |
0.19 |
W |
|
WSR36 |
20200514 |
Cloudy |
Moderate |
Mid-Ebb |
Surface |
1 |
15:28 |
9.27 |
8.34 |
30.46 |
25.75 |
2.47 |
4 |
<0.10 |
0.16 |
W |
|
WSR37 |
20200514 |
Cloudy |
Moderate |
Mid-Ebb |
Bottom |
7.1 |
15:07 |
8.65 |
8.49 |
30.57 |
25.87 |
1.9 |
2 |
<0.10 |
0.196 |
W |
|
WSR37 |
20200514 |
Cloudy |
Moderate |
Mid-Ebb |
Bottom |
7.1 |
15:07 |
9.91 |
8.41 |
30.92 |
25.95 |
2.07 |
3 |
<0.10 |
0.196 |
W |
|
WSR37 |
20200514 |
Cloudy |
Moderate |
Mid-Ebb |
Middle |
4.05 |
15:08 |
8.85 |
8.24 |
31.42 |
25.94 |
2.35 |
3 |
<0.10 |
0.17 |
W |
|
WSR37 |
20200514 |
Cloudy |
Moderate |
Mid-Ebb |
Middle |
4.05 |
15:08 |
9.33 |
8.26 |
31.67 |
26.19 |
1.86 |
2 |
<0.10 |
0.16 |
W |
|
WSR37 |
20200514 |
Cloudy |
Moderate |
Mid-Ebb |
Surface |
1 |
15:09 |
9.87 |
8.38 |
31.39 |
25.84 |
2.41 |
2 |
<0.10 |
0.182 |
W |
|
WSR37 |
20200514 |
Cloudy |
Moderate |
Mid-Ebb |
Surface |
1 |
15:09 |
8.6 |
8.23 |
31.03 |
25.85 |
2.39 |
3 |
<0.10 |
0.16 |
W |
|
CE |
20200516 |
Sunny |
Moderate |
Mid-Ebb |
Bottom |
11.1 |
8:00 |
8.69 |
8.43 |
31.42 |
28.59 |
2.1 |
4 |
<0.10 |
0.282 |
SE |
|
CE |
20200516 |
Sunny |
Moderate |
Mid-Ebb |
Bottom |
11.1 |
8:00 |
9.38 |
8.46 |
30.23 |
28.87 |
1.87 |
3 |
<0.10 |
0.437 |
SE |
|
CE |
20200516 |
Sunny |
Moderate |
Mid-Ebb |
Middle |
6.05 |
8:01 |
8.55 |
8.35 |
30.24 |
28.73 |
1.49 |
3 |
<0.10 |
0.284 |
E |
|
CE |
20200516 |
Sunny |
Moderate |
Mid-Ebb |
Middle |
6.05 |
8:01 |
8.3 |
8.38 |
30.15 |
28.58 |
1.75 |
4 |
<0.10 |
0.345 |
E |
|
CE |
20200516 |
Sunny |
Moderate |
Mid-Ebb |
Surface |
1 |
8:02 |
9.09 |
8.47 |
30.97 |
28.57 |
1.49 |
3 |
<0.10 |
0.428 |
SE |
|
CE |
20200516 |
Sunny |
Moderate |
Mid-Ebb |
Surface |
1 |
8:02 |
8.31 |
8.37 |
30.08 |
28.59 |
1.76 |
2 |
<0.10 |
0.266 |
E |
|
CF |
20200516 |
Sunny |
Moderate |
Mid-Ebb |
Bottom |
12.2 |
8:01 |
8.33 |
8.41 |
31.61 |
28.92 |
2.13 |
5 |
<0.10 |
0.186 |
SE |
|
CF |
20200516 |
Sunny |
Moderate |
Mid-Ebb |
Bottom |
12.2 |
8:01 |
8.43 |
8.42 |
31.28 |
28.74 |
1.97 |
4 |
<0.10 |
0.133 |
E |
|
CF |
20200516 |
Sunny |
Moderate |
Mid-Ebb |
Middle |
6.6 |
8:02 |
8.64 |
8.53 |
31.06 |
28.84 |
1.79 |
3 |
<0.10 |
0.194 |
SE |
|
CF |
20200516 |
Sunny |
Moderate |
Mid-Ebb |
Middle |
6.6 |
8:02 |
9.26 |
8.41 |
31.54 |
28.77 |
2.16 |
4 |
<0.10 |
0.188 |
SE |
|
CF |
20200516 |
Sunny |
Moderate |
Mid-Ebb |
Surface |
1 |
8:03 |
9.35 |
8.37 |
30.99 |
28.84 |
1.97 |
3 |
<0.10 |
0.142 |
SE |
|
CF |
20200516 |
Sunny |
Moderate |
Mid-Ebb |
Surface |
1 |
8:03 |
8.57 |
8.53 |
31.68 |
28.55 |
1.99 |
4 |
<0.10 |
0.162 |
SE |
|
NF1 |
20200516 |
Sunny |
Moderate |
Mid-Ebb |
Bottom |
9.9 |
8:40 |
8.14 |
8.55 |
30.35 |
29.05 |
1.89 |
4 |
<0.10 |
0.181 |
SE |
|
NF1 |
20200516 |
Sunny |
Moderate |
Mid-Ebb |
Bottom |
9.9 |
8:40 |
9.28 |
8.53 |
29.89 |
28.98 |
2.01 |
4 |
<0.10 |
0.18 |
SE |
|
NF1 |
20200516 |
Sunny |
Moderate |
Mid-Ebb |
Middle |
5.45 |
8:41 |
8.62 |
8.32 |
30.11 |
28.85 |
1.29 |
2 |
<0.10 |
0.171 |
SE |
|
NF1 |
20200516 |
Sunny |
Moderate |
Mid-Ebb |
Middle |
5.45 |
8:41 |
9.25 |
8.55 |
31.47 |
29.1 |
1.05 |
4 |
<0.10 |
0.182 |
SE |
|
NF1 |
20200516 |
Sunny |
Moderate |
Mid-Ebb |
Surface |
1 |
8:42 |
9.07 |
8.53 |
31.53 |
29.02 |
1.91 |
3 |
<0.10 |
0.196 |
SE |
|
NF1 |
20200516 |
Sunny |
Moderate |
Mid-Ebb |
Surface |
1 |
8:42 |
8.5 |
8.55 |
30.08 |
28.91 |
1.88 |
3 |
<0.10 |
0.138 |
SE |
|
NF2 |
20200516 |
Sunny |
Moderate |
Mid-Ebb |
Bottom |
9.3 |
10:12 |
8.74 |
8.38 |
31.66 |
28.99 |
1.7 |
7 |
<0.10 |
0.219 |
SE |
|
NF2 |
20200516 |
Sunny |
Moderate |
Mid-Ebb |
Bottom |
9.3 |
10:12 |
8.31 |
8.35 |
31.11 |
29.19 |
1.48 |
6 |
<0.10 |
0.21 |
SE |
|
NF2 |
20200516 |
Sunny |
Moderate |
Mid-Ebb |
Middle |
5.15 |
10:13 |
9.09 |
8.44 |
30.48 |
29.01 |
1.54 |
5 |
<0.10 |
0.14 |
E |
|
NF2 |
20200516 |
Sunny |
Moderate |
Mid-Ebb |
Middle |
5.15 |
10:13 |
9.21 |
8.44 |
31.09 |
29.26 |
1.24 |
4 |
<0.10 |
0.216 |
E |
|
NF2 |
20200516 |
Sunny |
Moderate |
Mid-Ebb |
Surface |
1 |
10:14 |
9.21 |
8.56 |
30.33 |
29.09 |
1.52 |
3 |
<0.10 |
0.214 |
E |
|
NF2 |
20200516 |
Sunny |
Moderate |
Mid-Ebb |
Surface |
1 |
10:14 |
9.13 |
8.47 |
29.94 |
29.11 |
1.42 |
4 |
<0.10 |
0.166 |
SE |
|
NF3 |
20200516 |
Sunny |
Moderate |
Mid-Ebb |
Bottom |
10 |
10:22 |
8.67 |
8.36 |
30.09 |
29.3 |
1.96 |
4 |
<0.10 |
0.171 |
E |
|
NF3 |
20200516 |
Sunny |
Moderate |
Mid-Ebb |
Bottom |
10 |
10:22 |
9.2 |
8.48 |
31.16 |
29.11 |
1.75 |
3 |
<0.10 |
0.211 |
SE |
|
NF3 |
20200516 |
Sunny |
Moderate |
Mid-Ebb |
Middle |
5.5 |
10:23 |
9.31 |
8.37 |
31.2 |
29.28 |
1.17 |
4 |
<0.10 |
0.17 |
SE |
|
NF3 |
20200516 |
Sunny |
Moderate |
Mid-Ebb |
Middle |
5.5 |
10:23 |
8.47 |
8.53 |
30.83 |
29.04 |
1.69 |
4 |
<0.10 |
0.193 |
SE |
|
NF3 |
20200516 |
Sunny |
Moderate |
Mid-Ebb |
Surface |
1 |
10:24 |
8.27 |
8.32 |
30.86 |
29.25 |
1.5 |
4 |
<0.10 |
0.158 |
E |
|
NF3 |
20200516 |
Sunny |
Moderate |
Mid-Ebb |
Surface |
1 |
10:24 |
8.53 |
8.32 |
30.09 |
29.32 |
1.9 |
4 |
<0.10 |
0.13 |
E |
|
WSR01 |
20200516 |
Sunny |
Moderate |
Mid-Ebb |
Bottom |
8.4 |
10:50 |
9.41 |
8.48 |
29.71 |
29.2 |
1.8 |
4 |
<0.10 |
0.157 |
SE |
|
WSR01 |
20200516 |
Sunny |
Moderate |
Mid-Ebb |
Bottom |
8.4 |
10:50 |
8.54 |
8.43 |
30.78 |
29.31 |
1.86 |
4 |
<0.10 |
0.148 |
E |
|
WSR01 |
20200516 |
Sunny |
Moderate |
Mid-Ebb |
Middle |
4.7 |
10:51 |
9.32 |
8.56 |
31.12 |
29.35 |
1.5 |
3 |
<0.10 |
0.179 |
E |
|
WSR01 |
20200516 |
Sunny |
Moderate |
Mid-Ebb |
Middle |
4.7 |
10:51 |
9.25 |
8.41 |
30.57 |
29.22 |
1.24 |
2 |
<0.10 |
0.153 |
SE |
|
WSR01 |
20200516 |
Sunny |
Moderate |
Mid-Ebb |
Surface |
1 |
10:52 |
8.84 |
8.46 |
31.43 |
28.98 |
1.5 |
3 |
<0.10 |
0.165 |
E |
|
WSR01 |
20200516 |
Sunny |
Moderate |
Mid-Ebb |
Surface |
1 |
10:52 |
8.16 |
8.31 |
29.93 |
29 |
1.13 |
3 |
<0.10 |
0.155 |
SE |
|
WSR02 |
20200516 |
Sunny |
Moderate |
Mid-Ebb |
Bottom |
8 |
10:27 |
8.35 |
8.41 |
31.06 |
29.02 |
2.07 |
8 |
<0.10 |
0.168 |
E |
|
WSR02 |
20200516 |
Sunny |
Moderate |
Mid-Ebb |
Bottom |
8 |
10:27 |
8.64 |
8.44 |
29.81 |
29.06 |
2.21 |
6 |
<0.10 |
0.143 |
SE |
|
WSR02 |
20200516 |
Sunny |
Moderate |
Mid-Ebb |
Middle |
4.5 |
10:28 |
8.78 |
8.4 |
30.6 |
29.28 |
1.52 |
7 |
<0.10 |
0.191 |
E |
|
WSR02 |
20200516 |
Sunny |
Moderate |
Mid-Ebb |
Middle |
4.5 |
10:28 |
8.84 |
8.53 |
30.22 |
28.99 |
1.29 |
7 |
<0.10 |
0.162 |
E |
|
WSR02 |
20200516 |
Sunny |
Moderate |
Mid-Ebb |
Surface |
1 |
10:29 |
8.42 |
8.42 |
30.72 |
29.28 |
1.66 |
4 |
<0.10 |
0.196 |
SE |
|
WSR02 |
20200516 |
Sunny |
Moderate |
Mid-Ebb |
Surface |
1 |
10:29 |
9.27 |
8.38 |
29.76 |
29.01 |
1.59 |
3 |
<0.10 |
0.188 |
SE |
|
WSR03 |
20200516 |
Sunny |
Moderate |
Mid-Ebb |
Bottom |
6.7 |
9:56 |
8.87 |
8.39 |
30.69 |
28.91 |
1.99 |
4 |
<0.10 |
0.212 |
E |
|
WSR03 |
20200516 |
Sunny |
Moderate |
Mid-Ebb |
Bottom |
6.7 |
9:56 |
8.48 |
8.51 |
30.64 |
28.95 |
1.73 |
3 |
<0.10 |
0.167 |
SE |
|
WSR03 |
20200516 |
Sunny |
Moderate |
Mid-Ebb |
Middle |
3.85 |
9:57 |
8.24 |
8.47 |
30.34 |
29.34 |
1.38 |
5 |
<0.10 |
0.211 |
SE |
|
WSR03 |
20200516 |
Sunny |
Moderate |
Mid-Ebb |
Middle |
3.85 |
9:57 |
8.62 |
8.44 |
29.65 |
29.08 |
1.73 |
6 |
<0.10 |
0.218 |
E |
|
WSR03 |
20200516 |
Sunny |
Moderate |
Mid-Ebb |
Surface |
1 |
9:58 |
8.55 |
8.56 |
31.15 |
29.09 |
1.16 |
7 |
<0.10 |
0.169 |
E |
|
WSR03 |
20200516 |
Sunny |
Moderate |
Mid-Ebb |
Surface |
1 |
9:58 |
8.66 |
8.43 |
31.37 |
29.02 |
1.58 |
6 |
<0.10 |
0.165 |
SE |
|
WSR04 |
20200516 |
Sunny |
Moderate |
Mid-Ebb |
Bottom |
6.8 |
9:40 |
9.29 |
8.47 |
30.53 |
29.22 |
1.85 |
2 |
<0.10 |
0.18 |
SE |
|
WSR04 |
20200516 |
Sunny |
Moderate |
Mid-Ebb |
Bottom |
6.8 |
9:40 |
8.5 |
8.53 |
31.01 |
29.14 |
1.72 |
2 |
<0.10 |
0.169 |
E |
|
WSR04 |
20200516 |
Sunny |
Moderate |
Mid-Ebb |
Middle |
3.9 |
9:41 |
9.16 |
8.39 |
30.3 |
29.26 |
1.58 |
3 |
<0.10 |
0.144 |
E |
|
WSR04 |
20200516 |
Sunny |
Moderate |
Mid-Ebb |
Middle |
3.9 |
9:41 |
8.87 |
8.5 |
29.7 |
28.91 |
1.2 |
2 |
<0.10 |
0.171 |
SE |
|
WSR04 |
20200516 |
Sunny |
Moderate |
Mid-Ebb |
Surface |
1 |
9:42 |
8.96 |
8.42 |
29.8 |
29.12 |
1.64 |
3 |
<0.10 |
0.22 |
E |
|
WSR04 |
20200516 |
Sunny |
Moderate |
Mid-Ebb |
Surface |
1 |
9:42 |
8.28 |
8.42 |
30.57 |
29.13 |
1.88 |
3 |
<0.10 |
0.203 |
SE |
|
WSR16 |
20200516 |
Sunny |
Moderate |
Mid-Ebb |
Bottom |
10.8 |
8:19 |
9.01 |
8.35 |
30.64 |
28.7 |
1.92 |
2 |
<0.10 |
0.222 |
E |
|
WSR16 |
20200516 |
Sunny |
Moderate |
Mid-Ebb |
Bottom |
10.8 |
8:19 |
8.81 |
8.45 |
30.1 |
28.77 |
2.31 |
2 |
<0.10 |
0.23 |
SE |
|
WSR16 |
20200516 |
Sunny |
Moderate |
Mid-Ebb |
Middle |
5.9 |
8:20 |
8.27 |
8.33 |
31.56 |
28.77 |
1.72 |
2 |
<0.10 |
0.214 |
E |
|
WSR16 |
20200516 |
Sunny |
Moderate |
Mid-Ebb |
Middle |
5.9 |
8:20 |
8.53 |
8.56 |
30.51 |
28.94 |
1.54 |
3 |
<0.10 |
0.182 |
SE |
|
WSR16 |
20200516 |
Sunny |
Moderate |
Mid-Ebb |
Surface |
1 |
8:21 |
9.33 |
8.49 |
30.81 |
28.68 |
1.44 |
3 |
<0.10 |
0.153 |
SE |
|
WSR16 |
20200516 |
Sunny |
Moderate |
Mid-Ebb |
Surface |
1 |
8:21 |
8.55 |
8.36 |
30.57 |
28.64 |
1.62 |
2 |
<0.10 |
0.142 |
SE |
|
WSR33 |
20200516 |
Sunny |
Moderate |
Mid-Ebb |
Bottom |
6.1 |
9:22 |
8.47 |
8.54 |
29.63 |
29.03 |
1.4 |
4 |
<0.10 |
0.132 |
E |
|
WSR33 |
20200516 |
Sunny |
Moderate |
Mid-Ebb |
Bottom |
6.1 |
9:22 |
9.02 |
8.33 |
29.97 |
29.36 |
1.98 |
5 |
<0.10 |
0.155 |
E |
|
WSR33 |
20200516 |
Sunny |
Moderate |
Mid-Ebb |
Middle |
3.55 |
9:23 |
8.37 |
8.41 |
31.33 |
29.13 |
1.78 |
4 |
<0.10 |
0.186 |
E |
|
WSR33 |
20200516 |
Sunny |
Moderate |
Mid-Ebb |
Middle |
3.55 |
9:23 |
8.53 |
8.34 |
30.74 |
29 |
1.12 |
4 |
<0.10 |
0.186 |
SE |
|
WSR33 |
20200516 |
Sunny |
Moderate |
Mid-Ebb |
Surface |
1 |
9:24 |
9.19 |
8.33 |
30.28 |
29.26 |
1.27 |
4 |
<0.10 |
0.182 |
E |
|
WSR33 |
20200516 |
Sunny |
Moderate |
Mid-Ebb |
Surface |
1 |
9:24 |
9.3 |
8.32 |
31.21 |
29.19 |
1.74 |
3 |
<0.10 |
0.18 |
SE |
|
WSR36 |
20200516 |
Sunny |
Moderate |
Mid-Ebb |
Bottom |
4.5 |
9:09 |
9.35 |
8.43 |
30.69 |
29 |
2.17 |
5 |
<0.10 |
0.181 |
SE |
|
WSR36 |
20200516 |
Sunny |
Moderate |
Mid-Ebb |
Bottom |
4.5 |
9:09 |
9.07 |
8.36 |
31.78 |
29.35 |
2.11 |
4 |
<0.10 |
0.2 |
SE |
|
WSR36 |
20200516 |
Sunny |
Moderate |
Mid-Ebb |
Surface |
1 |
9:10 |
9.24 |
8.43 |
31.15 |
29.03 |
1.11 |
3 |
<0.10 |
0.148 |
SE |
|
WSR36 |
20200516 |
Sunny |
Moderate |
Mid-Ebb |
Surface |
1 |
9:10 |
8.61 |
8.54 |
31.68 |
29.01 |
1.24 |
4 |
<0.10 |
0.158 |
E |
|
WSR37 |
20200516 |
Sunny |
Moderate |
Mid-Ebb |
Bottom |
7.5 |
8:53 |
8.53 |
8.5 |
31.45 |
29.14 |
2.12 |
5 |
<0.10 |
0.209 |
SE |
|
WSR37 |
20200516 |
Sunny |
Moderate |
Mid-Ebb |
Bottom |
7.5 |
8:53 |
8.8 |
8.56 |
30.15 |
28.9 |
1.63 |
4 |
<0.10 |
0.205 |
E |
|
WSR37 |
20200516 |
Sunny |
Moderate |
Mid-Ebb |
Middle |
4.25 |
8:54 |
9.15 |
8.39 |
31.37 |
29.08 |
1.58 |
3 |
<0.10 |
0.189 |
E |
|
WSR37 |
20200516 |
Sunny |
Moderate |
Mid-Ebb |
Middle |
4.25 |
8:54 |
8.92 |
8.31 |
31.59 |
29.02 |
1.45 |
4 |
<0.10 |
0.192 |
E |
|
WSR37 |
20200516 |
Sunny |
Moderate |
Mid-Ebb |
Surface |
1 |
8:55 |
8.72 |
8.34 |
31.14 |
28.91 |
1.15 |
4 |
<0.10 |
0.207 |
E |
|
WSR37 |
20200516 |
Sunny |
Moderate |
Mid-Ebb |
Surface |
1 |
8:55 |
8.57 |
8.32 |
30.03 |
28.98 |
1.71 |
2 |
<0.10 |
0.191 |
SE |
|
CE |
20200516 |
Sunny |
Moderate |
Mid-Flood |
Bottom |
12 |
11:55 |
8.21 |
8.3 |
29.95 |
29.14 |
2.19 |
4 |
<0.10 |
0.172 |
N |
|
CE |
20200516 |
Sunny |
Moderate |
Mid-Flood |
Bottom |
12 |
11:55 |
8.31 |
8.43 |
30.76 |
29.2 |
2.17 |
3 |
<0.10 |
0.193 |
NW |
|
CE |
20200516 |
Sunny |
Moderate |
Mid-Flood |
Middle |
6.5 |
11:56 |
8.57 |
8.44 |
31.3 |
28.93 |
1.44 |
3 |
<0.10 |
0.182 |
N |
|
CE |
20200516 |
Sunny |
Moderate |
Mid-Flood |
Middle |
6.5 |
11:56 |
8.72 |
8.31 |
30.73 |
29.09 |
1.15 |
4 |
<0.10 |
0.21 |
NW |
|
CE |
20200516 |
Sunny |
Moderate |
Mid-Flood |
Surface |
1 |
11:57 |
8.59 |
8.51 |
30.61 |
29.03 |
1.45 |
<2 |
<0.10 |
0.221 |
NW |
|
CE |
20200516 |
Sunny |
Moderate |
Mid-Flood |
Surface |
1 |
11:57 |
8.76 |
8.28 |
29.97 |
29.18 |
1.72 |
<2 |
<0.10 |
0.202 |
NW |
|
CF |
20200516 |
Sunny |
Moderate |
Mid-Flood |
Bottom |
11.3 |
11:51 |
8.61 |
8.23 |
29.95 |
29.12 |
1.79 |
5 |
<0.10 |
0.2 |
SW |
|
CF |
20200516 |
Sunny |
Moderate |
Mid-Flood |
Bottom |
11.3 |
11:51 |
9.11 |
8.49 |
30.6 |
29.2 |
1.64 |
4 |
<0.10 |
0.238 |
W |
|
CF |
20200516 |
Sunny |
Moderate |
Mid-Flood |
Middle |
6.15 |
11:52 |
8.59 |
8.27 |
30.88 |
29.12 |
1.67 |
4 |
<0.10 |
0.172 |
NW |
|
CF |
20200516 |
Sunny |
Moderate |
Mid-Flood |
Middle |
6.15 |
11:52 |
9.05 |
8.23 |
30.7 |
29.02 |
1.59 |
3 |
<0.10 |
0.161 |
W |
|
CF |
20200516 |
Sunny |
Moderate |
Mid-Flood |
Surface |
1 |
11:53 |
8.6 |
8.43 |
30.68 |
29.17 |
2 |
3 |
<0.10 |
0.219 |
W |
|
CF |
20200516 |
Sunny |
Moderate |
Mid-Flood |
Surface |
1 |
11:53 |
8.65 |
8.23 |
30.2 |
29.16 |
1.25 |
4 |
<0.10 |
0.193 |
W |
|
NF1 |
20200516 |
Sunny |
Moderate |
Mid-Flood |
Bottom |
9.6 |
12:34 |
8.36 |
8.41 |
30.18 |
29.21 |
1.6 |
2 |
<0.10 |
0.138 |
W |
|
NF1 |
20200516 |
Sunny |
Moderate |
Mid-Flood |
Bottom |
9.6 |
12:34 |
8.8 |
8.37 |
31.24 |
29.21 |
1.65 |
3 |
<0.10 |
0.144 |
NW |
|
NF1 |
20200516 |
Sunny |
Moderate |
Mid-Flood |
Middle |
5.3 |
12:35 |
8.27 |
8.25 |
30.89 |
29.1 |
1.54 |
2 |
<0.10 |
0.154 |
NW |
|
NF1 |
20200516 |
Sunny |
Moderate |
Mid-Flood |
Middle |
5.3 |
12:35 |
8.97 |
8.41 |
30.93 |
29.06 |
1.7 |
3 |
<0.10 |
0.151 |
W |
|
NF1 |
20200516 |
Sunny |
Moderate |
Mid-Flood |
Surface |
1 |
12:36 |
9.03 |
8.36 |
30.29 |
29.2 |
2 |
<2 |
<0.10 |
0.141 |
W |
|
NF1 |
20200516 |
Sunny |
Moderate |
Mid-Flood |
Surface |
1 |
12:36 |
8.95 |
8.48 |
31.53 |
29.22 |
1.94 |
<2 |
<0.10 |
0.14 |
W |
|
NF2 |
20200516 |
Sunny |
Moderate |
Mid-Flood |
Bottom |
9.2 |
14:10 |
8.34 |
8.27 |
30.33 |
29 |
1.88 |
5 |
<0.10 |
0.177 |
SW |
|
NF2 |
20200516 |
Sunny |
Moderate |
Mid-Flood |
Bottom |
9.2 |
14:10 |
8.41 |
8.28 |
30.42 |
29.28 |
1.68 |
6 |
<0.10 |
0.165 |
W |
|
NF2 |
20200516 |
Sunny |
Moderate |
Mid-Flood |
Middle |
5.1 |
14:11 |
8.21 |
8.51 |
31.78 |
29.24 |
1.42 |
5 |
<0.10 |
0.196 |
W |
|
NF2 |
20200516 |
Sunny |
Moderate |
Mid-Flood |
Middle |
5.1 |
14:11 |
8.56 |
8.47 |
31.32 |
29.14 |
1.44 |
4 |
<0.10 |
0.129 |
W |
|
NF2 |
20200516 |
Sunny |
Moderate |
Mid-Flood |
Surface |
1 |
14:12 |
8.03 |
8.26 |
31.64 |
29.19 |
1.24 |
3 |
<0.10 |
0.157 |
SW |
|
NF2 |
20200516 |
Sunny |
Moderate |
Mid-Flood |
Surface |
1 |
14:12 |
8.03 |
8.23 |
30.27 |
29.29 |
1.65 |
4 |
<0.10 |
0.133 |
NW |
|
NF3 |
20200516 |
Sunny |
Moderate |
Mid-Flood |
Bottom |
9.5 |
14:21 |
8.68 |
8.23 |
31.48 |
29.11 |
1.95 |
3 |
<0.10 |
0.147 |
W |
|
NF3 |
20200516 |
Sunny |
Moderate |
Mid-Flood |
Bottom |
9.5 |
14:21 |
8.5 |
8.37 |
31.43 |
28.95 |
1.65 |
3 |
<0.10 |
0.134 |
W |
|
NF3 |
20200516 |
Sunny |
Moderate |
Mid-Flood |
Middle |
5.25 |
14:22 |
8.26 |
8.51 |
31.77 |
28.93 |
1.9 |
4 |
<0.10 |
0.172 |
NW |
|
NF3 |
20200516 |
Sunny |
Moderate |
Mid-Flood |
Middle |
5.25 |
14:22 |
8.19 |
8.43 |
31.2 |
29.11 |
1.11 |
3 |
<0.10 |
0.133 |
W |
|
NF3 |
20200516 |
Sunny |
Moderate |
Mid-Flood |
Surface |
1 |
14:23 |
8.81 |
8.4 |
31.29 |
29.14 |
1.51 |
3 |
<0.10 |
0.188 |
NW |
|
NF3 |
20200516 |
Sunny |
Moderate |
Mid-Flood |
Surface |
1 |
14:23 |
8.5 |
8.26 |
31.77 |
29 |
1.67 |
4 |
<0.10 |
0.138 |
NW |
|
WSR01 |
20200516 |
Sunny |
Moderate |
Mid-Flood |
Bottom |
8.5 |
14:44 |
8.62 |
8.32 |
31.13 |
29.17 |
1.86 |
3 |
<0.10 |
0.174 |
W |
|
WSR01 |
20200516 |
Sunny |
Moderate |
Mid-Flood |
Bottom |
8.5 |
14:44 |
8.65 |
8.3 |
31.5 |
28.99 |
1.77 |
4 |
<0.10 |
0.186 |
W |
|
WSR01 |
20200516 |
Sunny |
Moderate |
Mid-Flood |
Middle |
4.75 |
14:45 |
9.09 |
8.31 |
30.53 |
29.13 |
1.97 |
4 |
<0.10 |
0.179 |
W |
|
WSR01 |
20200516 |
Sunny |
Moderate |
Mid-Flood |
Middle |
4.75 |
14:45 |
8.52 |
8.34 |
31.8 |
29.18 |
1.81 |
2 |
<0.10 |
0.16 |
W |
|
WSR01 |
20200516 |
Sunny |
Moderate |
Mid-Flood |
Surface |
1 |
14:46 |
8.54 |
8.42 |
31.8 |
29.02 |
1.86 |
5 |
<0.10 |
0.147 |
NW |
|
WSR01 |
20200516 |
Sunny |
Moderate |
Mid-Flood |
Surface |
1 |
14:46 |
9.12 |
8.27 |
30.54 |
29.18 |
1.27 |
5 |
<0.10 |
0.16 |
NW |
|
WSR02 |
20200516 |
Sunny |
Moderate |
Mid-Flood |
Bottom |
8 |
14:20 |
8.17 |
8.45 |
30.61 |
29.05 |
1.76 |
7 |
<0.10 |
0.18 |
W |
|
WSR02 |
20200516 |
Sunny |
Moderate |
Mid-Flood |
Bottom |
8 |
14:20 |
8.94 |
8.32 |
31.12 |
29.07 |
1.57 |
7 |
<0.10 |
0.172 |
W |
|
WSR02 |
20200516 |
Sunny |
Moderate |
Mid-Flood |
Middle |
4.5 |
14:21 |
8.31 |
8.53 |
29.99 |
29.2 |
1.67 |
3 |
<0.10 |
0.192 |
W |
|
WSR02 |
20200516 |
Sunny |
Moderate |
Mid-Flood |
Middle |
4.5 |
14:21 |
8.14 |
8.32 |
30.92 |
28.99 |
1.67 |
4 |
<0.10 |
0.153 |
W |
|
WSR02 |
20200516 |
Sunny |
Moderate |
Mid-Flood |
Surface |
1 |
14:22 |
8.52 |
8.48 |
31.43 |
28.98 |
1.82 |
2 |
<0.10 |
0.153 |
W |
|
WSR02 |
20200516 |
Sunny |
Moderate |
Mid-Flood |
Surface |
1 |
14:22 |
8.31 |
8.4 |
31.42 |
28.93 |
1.57 |
2 |
<0.10 |
0.196 |
SW |
|
WSR03 |
20200516 |
Sunny |
Moderate |
Mid-Flood |
Bottom |
7.3 |
13:52 |
7.98 |
8.3 |
29.98 |
29.31 |
1.59 |
7 |
<0.10 |
0.165 |
W |
|
WSR03 |
20200516 |
Sunny |
Moderate |
Mid-Flood |
Bottom |
7.3 |
13:52 |
8.35 |
8.53 |
30.63 |
29.1 |
1.73 |
8 |
<0.10 |
0.175 |
W |
|
WSR03 |
20200516 |
Sunny |
Moderate |
Mid-Flood |
Middle |
4.15 |
13:53 |
8.48 |
8.52 |
31.44 |
29.12 |
1.85 |
6 |
<0.10 |
0.168 |
NW |
|
WSR03 |
20200516 |
Sunny |
Moderate |
Mid-Flood |
Middle |
4.15 |
13:53 |
9.05 |
8.47 |
31.82 |
29.18 |
1.41 |
7 |
<0.10 |
0.138 |
W |
|
WSR03 |
20200516 |
Sunny |
Moderate |
Mid-Flood |
Surface |
1 |
13:54 |
8.14 |
8.5 |
31.16 |
29.07 |
1.25 |
4 |
<0.10 |
0.133 |
NW |
|
WSR03 |
20200516 |
Sunny |
Moderate |
Mid-Flood |
Surface |
1 |
13:54 |
8 |
8.27 |
30.97 |
29.11 |
1.35 |
5 |
<0.10 |
0.186 |
W |
|
WSR04 |
20200516 |
Sunny |
Moderate |
Mid-Flood |
Bottom |
6.7 |
13:34 |
8.04 |
8.44 |
31.29 |
29 |
1.93 |
6 |
<0.10 |
0.144 |
W |
|
WSR04 |
20200516 |
Sunny |
Moderate |
Mid-Flood |
Bottom |
6.7 |
13:34 |
9.16 |
8.38 |
30.84 |
29.1 |
2.19 |
5 |
<0.10 |
0.132 |
SW |
|
WSR04 |
20200516 |
Sunny |
Moderate |
Mid-Flood |
Middle |
3.85 |
13:35 |
8.13 |
8.43 |
30.45 |
29.21 |
1.76 |
4 |
<0.10 |
0.148 |
W |
|
WSR04 |
20200516 |
Sunny |
Moderate |
Mid-Flood |
Middle |
3.85 |
13:35 |
8.49 |
8.27 |
30.44 |
29.19 |
1.24 |
3 |
<0.10 |
0.17 |
W |
|
WSR04 |
20200516 |
Sunny |
Moderate |
Mid-Flood |
Surface |
1 |
13:36 |
8.08 |
8.49 |
31.68 |
29.09 |
1.26 |
4 |
<0.10 |
0.165 |
W |
|
WSR04 |
20200516 |
Sunny |
Moderate |
Mid-Flood |
Surface |
1 |
13:36 |
8.85 |
8.5 |
29.99 |
29.09 |
1.3 |
3 |
<0.10 |
0.136 |
W |
|
WSR16 |
20200516 |
Sunny |
Moderate |
Mid-Flood |
Bottom |
10.8 |
12:14 |
9.07 |
8.4 |
31.41 |
29.07 |
2.34 |
4 |
<0.10 |
0.189 |
NW |
|
WSR16 |
20200516 |
Sunny |
Moderate |
Mid-Flood |
Bottom |
10.8 |
12:14 |
8.22 |
8.37 |
30.42 |
28.94 |
2.11 |
3 |
<0.10 |
0.161 |
NW |
|
WSR16 |
20200516 |
Sunny |
Moderate |
Mid-Flood |
Middle |
5.9 |
12:15 |
8.08 |
8.42 |
30.81 |
29.06 |
1.15 |
4 |
<0.10 |
0.187 |
NW |
|
WSR16 |
20200516 |
Sunny |
Moderate |
Mid-Flood |
Middle |
5.9 |
12:15 |
9.08 |
8.44 |
30.36 |
28.99 |
1.68 |
3 |
<0.10 |
0.203 |
N |
|
WSR16 |
20200516 |
Sunny |
Moderate |
Mid-Flood |
Surface |
1 |
12:16 |
8.44 |
8.52 |
30.87 |
29.24 |
2.03 |
4 |
<0.10 |
0.19 |
NW |
|
WSR16 |
20200516 |
Sunny |
Moderate |
Mid-Flood |
Surface |
1 |
12:16 |
8.17 |
8.3 |
30.76 |
29.13 |
1.54 |
4 |
<0.10 |
0.208 |
NW |
|
WSR33 |
20200516 |
Sunny |
Moderate |
Mid-Flood |
Bottom |
6.6 |
13:17 |
8.3 |
8.53 |
31.25 |
29 |
1.59 |
4 |
<0.10 |
0.192 |
W |
|
WSR33 |
20200516 |
Sunny |
Moderate |
Mid-Flood |
Bottom |
6.6 |
13:17 |
9.12 |
8.24 |
31.64 |
29.1 |
1.72 |
4 |
<0.10 |
0.176 |
NW |
|
WSR33 |
20200516 |
Sunny |
Moderate |
Mid-Flood |
Middle |
3.8 |
13:18 |
8.64 |
8.5 |
30.06 |
29.07 |
1.2 |
4 |
<0.10 |
0.191 |
W |
|
WSR33 |
20200516 |
Sunny |
Moderate |
Mid-Flood |
Middle |
3.8 |
13:18 |
9.17 |
8.21 |
31.77 |
29.2 |
1.21 |
3 |
<0.10 |
0.167 |
W |
|
WSR33 |
20200516 |
Sunny |
Moderate |
Mid-Flood |
Surface |
1 |
13:19 |
8.11 |
8.25 |
30.77 |
29.07 |
1.49 |
3 |
<0.10 |
0.14 |
NW |
|
WSR33 |
20200516 |
Sunny |
Moderate |
Mid-Flood |
Surface |
1 |
13:19 |
8.83 |
8.24 |
31.49 |
29.19 |
1.89 |
4 |
<0.10 |
0.136 |
NW |
|
WSR36 |
20200516 |
Sunny |
Moderate |
Mid-Flood |
Bottom |
4.6 |
13:03 |
8.17 |
8.35 |
31.55 |
29.3 |
2.01 |
2 |
<0.10 |
0.15 |
SW |
|
WSR36 |
20200516 |
Sunny |
Moderate |
Mid-Flood |
Bottom |
4.6 |
13:03 |
8.72 |
8.38 |
30.18 |
29.08 |
2.06 |
3 |
<0.10 |
0.144 |
SW |
|
WSR36 |
20200516 |
Sunny |
Moderate |
Mid-Flood |
Surface |
1 |
13:04 |
8.48 |
8.41 |
31.66 |
29.05 |
1.97 |
2 |
<0.10 |
0.146 |
NW |
|
WSR36 |
20200516 |
Sunny |
Moderate |
Mid-Flood |
Surface |
1 |
13:04 |
8.89 |
8.22 |
29.95 |
29.18 |
1.73 |
2 |
<0.10 |
0.19 |
W |
|
WSR37 |
20200516 |
Sunny |
Moderate |
Mid-Flood |
Bottom |
7.8 |
12:47 |
8.09 |
8.37 |
29.95 |
29.08 |
1.96 |
3 |
<0.10 |
0.181 |
NW |
|
WSR37 |
20200516 |
Sunny |
Moderate |
Mid-Flood |
Bottom |
7.8 |
12:47 |
8.18 |
8.3 |
31.4 |
29.08 |
2.38 |
4 |
<0.10 |
0.145 |
W |
|
WSR37 |
20200516 |
Sunny |
Moderate |
Mid-Flood |
Middle |
4.4 |
12:48 |
8.97 |
8.21 |
31.08 |
29.16 |
1.33 |
3 |
<0.10 |
0.158 |
W |
|
WSR37 |
20200516 |
Sunny |
Moderate |
Mid-Flood |
Middle |
4.4 |
12:48 |
8.52 |
8.24 |
30.51 |
29.02 |
1.82 |
2 |
<0.10 |
0.185 |
W |
|
WSR37 |
20200516 |
Sunny |
Moderate |
Mid-Flood |
Surface |
1 |
12:49 |
8.95 |
8.4 |
30.4 |
29.23 |
1.19 |
2 |
<0.10 |
0.196 |
W |
|
WSR37 |
20200516 |
Sunny |
Moderate |
Mid-Flood |
Surface |
1 |
12:49 |
8.88 |
8.5 |
30.98 |
29.09 |
1.72 |
2 |
<0.10 |
0.18 |
W |
|
CE |
20200519 |
Cloudy |
Moderate |
Mid-Ebb |
Bottom |
10.8 |
9:11 |
8.13 |
8.18 |
30.92 |
27.78 |
1.74 |
2 |
<0.10 |
0.438 |
SE |
|
CE |
20200519 |
Cloudy |
Moderate |
Mid-Ebb |
Bottom |
10.8 |
9:11 |
8.82 |
8.3 |
30.56 |
27.54 |
1.52 |
2 |
<0.10 |
0.434 |
SE |
|
CE |
20200519 |
Cloudy |
Moderate |
Mid-Ebb |
Middle |
5.9 |
9:12 |
8.41 |
8.35 |
31.31 |
27.77 |
1 |
2 |
<0.10 |
0.351 |
SE |
|
CE |
20200519 |
Cloudy |
Moderate |
Mid-Ebb |
Middle |
5.9 |
9:12 |
9.07 |
8.14 |
31.16 |
27.64 |
0.94 |
2 |
<0.10 |
0.437 |
SE |
|
CE |
20200519 |
Cloudy |
Moderate |
Mid-Ebb |
Surface |
1 |
9:13 |
8.93 |
8.36 |
30.51 |
27.78 |
1.27 |
2 |
<0.10 |
0.429 |
E |
|
CE |
20200519 |
Cloudy |
Moderate |
Mid-Ebb |
Surface |
1 |
9:13 |
8.08 |
8.12 |
31.1 |
27.8 |
1.12 |
3 |
<0.10 |
0.289 |
SE |
|
CF |
20200519 |
Cloudy |
Moderate |
Mid-Ebb |
Bottom |
12 |
9:16 |
8.11 |
8.24 |
31.66 |
27.5 |
0.91 |
4 |
<0.10 |
0.212 |
E |
|
CF |
20200519 |
Cloudy |
Moderate |
Mid-Ebb |
Bottom |
12 |
9:16 |
8.5 |
8.29 |
30.4 |
27.86 |
1.65 |
3 |
<0.10 |
0.187 |
SE |
|
CF |
20200519 |
Cloudy |
Moderate |
Mid-Ebb |
Middle |
6.5 |
9:17 |
8.32 |
8.3 |
30.64 |
27.66 |
1.34 |
3 |
<0.10 |
0.165 |
E |
|
CF |
20200519 |
Cloudy |
Moderate |
Mid-Ebb |
Middle |
6.5 |
9:17 |
8.2 |
8.33 |
31.25 |
27.54 |
1.45 |
2 |
<0.10 |
0.177 |
E |
|
CF |
20200519 |
Cloudy |
Moderate |
Mid-Ebb |
Surface |
1 |
9:18 |
8.29 |
8.3 |
31.31 |
27.88 |
1.62 |
2 |
<0.10 |
0.136 |
SE |
|
CF |
20200519 |
Cloudy |
Moderate |
Mid-Ebb |
Surface |
1 |
9:18 |
8.53 |
8.21 |
30.53 |
27.69 |
1.07 |
3 |
<0.10 |
0.148 |
E |
|
NF1 |
20200519 |
Cloudy |
Moderate |
Mid-Ebb |
Bottom |
9.4 |
9:55 |
9.08 |
8.2 |
30.74 |
27.56 |
1.13 |
4 |
<0.10 |
0.142 |
SE |
|
NF1 |
20200519 |
Cloudy |
Moderate |
Mid-Ebb |
Bottom |
9.4 |
9:55 |
8.3 |
8.27 |
30.35 |
27.7 |
1.7 |
3 |
<0.10 |
0.221 |
SE |
|
NF1 |
20200519 |
Cloudy |
Moderate |
Mid-Ebb |
Middle |
5.2 |
9:56 |
8.1 |
8.22 |
31.25 |
27.6 |
1.04 |
2 |
<0.10 |
0.136 |
E |
|
NF1 |
20200519 |
Cloudy |
Moderate |
Mid-Ebb |
Middle |
5.2 |
9:56 |
8.69 |
8.3 |
31.35 |
27.63 |
1.22 |
2 |
<0.10 |
0.188 |
E |
|
NF1 |
20200519 |
Cloudy |
Moderate |
Mid-Ebb |
Surface |
1 |
9:57 |
8.77 |
8.32 |
31.43 |
27.58 |
1.53 |
3 |
<0.10 |
0.204 |
SE |
|
NF1 |
20200519 |
Cloudy |
Moderate |
Mid-Ebb |
Surface |
1 |
9:57 |
9.04 |
8.35 |
31.19 |
27.91 |
0.86 |
2 |
<0.10 |
0.218 |
E |
|
NF2 |
20200519 |
Cloudy |
Moderate |
Mid-Ebb |
Bottom |
8.4 |
11:28 |
8.65 |
8.36 |
30.71 |
27.51 |
1.59 |
4 |
<0.10 |
0.149 |
E |
|
NF2 |
20200519 |
Cloudy |
Moderate |
Mid-Ebb |
Bottom |
8.4 |
11:28 |
8.64 |
8.28 |
31.51 |
27.74 |
1.33 |
4 |
<0.10 |
0.131 |
E |
|
NF2 |
20200519 |
Cloudy |
Moderate |
Mid-Ebb |
Middle |
4.7 |
11:29 |
8.26 |
8.11 |
30.58 |
27.6 |
1.72 |
4 |
<0.10 |
0.143 |
SE |
|
NF2 |
20200519 |
Cloudy |
Moderate |
Mid-Ebb |
Middle |
4.7 |
11:29 |
8.09 |
8.35 |
30.74 |
27.63 |
0.99 |
2 |
<0.10 |
0.17 |
SE |
|
NF2 |
20200519 |
Cloudy |
Moderate |
Mid-Ebb |
Surface |
1 |
11:30 |
8.08 |
8.36 |
31 |
27.84 |
1.23 |
3 |
<0.10 |
0.145 |
E |
|
NF2 |
20200519 |
Cloudy |
Moderate |
Mid-Ebb |
Surface |
1 |
11:30 |
8.51 |
8.25 |
30.47 |
27.86 |
1.73 |
3 |
<0.10 |
0.194 |
SE |
|
NF3 |
20200519 |
Cloudy |
Moderate |
Mid-Ebb |
Bottom |
9.5 |
11:36 |
8.29 |
8.18 |
31.2 |
27.79 |
1.62 |
<2 |
<0.10 |
0.148 |
SE |
|
NF3 |
20200519 |
Cloudy |
Moderate |
Mid-Ebb |
Bottom |
9.5 |
11:36 |
8.1 |
8.27 |
31 |
27.56 |
1.49 |
<2 |
<0.10 |
0.198 |
SE |
|
NF3 |
20200519 |
Cloudy |
Moderate |
Mid-Ebb |
Middle |
5.25 |
11:37 |
8.96 |
8.33 |
31.08 |
27.51 |
1.23 |
2 |
<0.10 |
0.218 |
SE |
|
NF3 |
20200519 |
Cloudy |
Moderate |
Mid-Ebb |
Middle |
5.25 |
11:37 |
8.31 |
8.23 |
31.65 |
27.61 |
1.35 |
2 |
<0.10 |
0.216 |
SE |
|
NF3 |
20200519 |
Cloudy |
Moderate |
Mid-Ebb |
Surface |
1 |
11:38 |
8.52 |
8.27 |
31.17 |
27.52 |
1.37 |
3 |
<0.10 |
0.204 |
E |
|
NF3 |
20200519 |
Cloudy |
Moderate |
Mid-Ebb |
Surface |
1 |
11:38 |
8.24 |
8.28 |
31.13 |
27.53 |
1.65 |
2 |
<0.10 |
0.173 |
SE |
|
WSR01 |
20200519 |
Cloudy |
Moderate |
Mid-Ebb |
Bottom |
7 |
12:09 |
8.27 |
8.29 |
30.48 |
27.85 |
1.55 |
3 |
<0.10 |
0.134 |
E |
|
WSR01 |
20200519 |
Cloudy |
Moderate |
Mid-Ebb |
Bottom |
7 |
12:09 |
8.72 |
8.13 |
31.55 |
27.51 |
0.86 |
2 |
<0.10 |
0.214 |
SE |
|
WSR01 |
20200519 |
Cloudy |
Moderate |
Mid-Ebb |
Middle |
4 |
12:10 |
8.99 |
8.18 |
31.45 |
27.7 |
1.57 |
4 |
<0.10 |
0.215 |
E |
|
WSR01 |
20200519 |
Cloudy |
Moderate |
Mid-Ebb |
Middle |
4 |
12:10 |
8.31 |
8.29 |
31.21 |
27.77 |
1.73 |
4 |
<0.10 |
0.206 |
E |
|
WSR01 |
20200519 |
Cloudy |
Moderate |
Mid-Ebb |
Surface |
1 |
12:11 |
8.95 |
8.21 |
30.85 |
27.77 |
1.29 |
6 |
<0.10 |
0.211 |
SE |
|
WSR01 |
20200519 |
Cloudy |
Moderate |
Mid-Ebb |
Surface |
1 |
12:11 |
8.59 |
8.26 |
31.48 |
27.61 |
1.29 |
6 |
<0.10 |
0.153 |
E |
|
WSR02 |
20200519 |
Cloudy |
Moderate |
Mid-Ebb |
Bottom |
8.5 |
11:44 |
8.82 |
8.26 |
30.93 |
27.57 |
0.91 |
4 |
<0.10 |
0.175 |
SE |
|
WSR02 |
20200519 |
Cloudy |
Moderate |
Mid-Ebb |
Bottom |
8.5 |
11:44 |
8.74 |
8.31 |
31.04 |
27.63 |
0.92 |
3 |
<0.10 |
0.142 |
E |
|
WSR02 |
20200519 |
Cloudy |
Moderate |
Mid-Ebb |
Middle |
4.75 |
11:45 |
8.54 |
8.15 |
31.45 |
27.63 |
1.17 |
4 |
<0.10 |
0.179 |
E |
|
WSR02 |
20200519 |
Cloudy |
Moderate |
Mid-Ebb |
Middle |
4.75 |
11:45 |
8.55 |
8.31 |
31.12 |
27.53 |
1.49 |
2 |
<0.10 |
0.183 |
SE |
|
WSR02 |
20200519 |
Cloudy |
Moderate |
Mid-Ebb |
Surface |
1 |
11:46 |
8.84 |
8.14 |
30.51 |
27.85 |
0.91 |
3 |
<0.10 |
0.179 |
SE |
|
WSR02 |
20200519 |
Cloudy |
Moderate |
Mid-Ebb |
Surface |
1 |
11:46 |
9.06 |
8.23 |
30.37 |
27.61 |
1.32 |
2 |
<0.10 |
0.192 |
E |
|
WSR03 |
20200519 |
Cloudy |
Moderate |
Mid-Ebb |
Bottom |
6.8 |
11:11 |
8.89 |
8.15 |
31.49 |
27.83 |
1.62 |
3 |
<0.10 |
0.204 |
E |
|
WSR03 |
20200519 |
Cloudy |
Moderate |
Mid-Ebb |
Bottom |
6.8 |
11:11 |
8.22 |
8.3 |
31.29 |
27.52 |
1.14 |
4 |
<0.10 |
0.161 |
SE |
|
WSR03 |
20200519 |
Cloudy |
Moderate |
Mid-Ebb |
Middle |
3.9 |
11:12 |
8.16 |
8.26 |
31.41 |
27.67 |
1.06 |
3 |
<0.10 |
0.211 |
SE |
|
WSR03 |
20200519 |
Cloudy |
Moderate |
Mid-Ebb |
Middle |
3.9 |
11:12 |
8.31 |
8.2 |
31.18 |
27.67 |
1.23 |
3 |
<0.10 |
0.182 |
E |
|
WSR03 |
20200519 |
Cloudy |
Moderate |
Mid-Ebb |
Surface |
1 |
11:13 |
8.99 |
8.21 |
31.27 |
27.8 |
0.91 |
3 |
<0.10 |
0.139 |
E |
|
WSR03 |
20200519 |
Cloudy |
Moderate |
Mid-Ebb |
Surface |
1 |
11:13 |
9.04 |
8.23 |
30.84 |
27.58 |
1.27 |
2 |
<0.10 |
0.187 |
SE |
|
WSR04 |
20200519 |
Cloudy |
Moderate |
Mid-Ebb |
Bottom |
6 |
10:55 |
9 |
8.12 |
31.19 |
27.69 |
1.37 |
2 |
<0.10 |
0.159 |
SE |
|
WSR04 |
20200519 |
Cloudy |
Moderate |
Mid-Ebb |
Bottom |
6 |
10:55 |
8.79 |
8.36 |
31.56 |
27.66 |
1.18 |
2 |
<0.10 |
0.166 |
SE |
|
WSR04 |
20200519 |
Cloudy |
Moderate |
Mid-Ebb |
Middle |
3.5 |
10:56 |
9.09 |
8.16 |
31.46 |
27.73 |
1.32 |
3 |
<0.10 |
0.166 |
E |
|
WSR04 |
20200519 |
Cloudy |
Moderate |
Mid-Ebb |
Middle |
3.5 |
10:56 |
8.32 |
8.13 |
31.24 |
27.86 |
1.31 |
3 |
<0.10 |
0.137 |
SE |
|
WSR04 |
20200519 |
Cloudy |
Moderate |
Mid-Ebb |
Surface |
1 |
10:57 |
8.85 |
8.16 |
31.07 |
27.53 |
1.06 |
3 |
<0.10 |
0.186 |
SE |
|
WSR04 |
20200519 |
Cloudy |
Moderate |
Mid-Ebb |
Surface |
1 |
10:57 |
8.12 |
8.34 |
31.56 |
27.5 |
1.22 |
3 |
<0.10 |
0.136 |
SE |
|
WSR16 |
20200519 |
Cloudy |
Moderate |
Mid-Ebb |
Bottom |
10.8 |
9:33 |
8.7 |
8.26 |
31.62 |
27.64 |
1.25 |
<2 |
<0.10 |
0.229 |
E |
|
WSR16 |
20200519 |
Cloudy |
Moderate |
Mid-Ebb |
Bottom |
10.8 |
9:33 |
8.78 |
8.35 |
31.06 |
27.85 |
1.53 |
<2 |
<0.10 |
0.141 |
SE |
|
WSR16 |
20200519 |
Cloudy |
Moderate |
Mid-Ebb |
Middle |
5.9 |
9:34 |
8.35 |
8.33 |
30.4 |
27.58 |
1.2 |
2 |
<0.10 |
0.22 |
E |
|
WSR16 |
20200519 |
Cloudy |
Moderate |
Mid-Ebb |
Middle |
5.9 |
9:34 |
8.75 |
8.12 |
30.55 |
27.5 |
1.14 |
2 |
<0.10 |
0.155 |
SE |
|
WSR16 |
20200519 |
Cloudy |
Moderate |
Mid-Ebb |
Surface |
1 |
9:35 |
8.27 |
8.36 |
31.14 |
27.59 |
1.51 |
2 |
<0.10 |
0.225 |
E |
|
WSR16 |
20200519 |
Cloudy |
Moderate |
Mid-Ebb |
Surface |
1 |
9:35 |
8.76 |
8.25 |
31.52 |
27.59 |
1.46 |
3 |
<0.10 |
0.221 |
E |
|
WSR33 |
20200519 |
Cloudy |
Moderate |
Mid-Ebb |
Bottom |
6.5 |
10:37 |
8.92 |
8.28 |
31.57 |
27.61 |
1.26 |
2 |
<0.10 |
0.13 |
SE |
|
WSR33 |
20200519 |
Cloudy |
Moderate |
Mid-Ebb |
Bottom |
6.5 |
10:37 |
8.18 |
8.27 |
31.28 |
27.7 |
1.21 |
2 |
<0.10 |
0.185 |
E |
|
WSR33 |
20200519 |
Cloudy |
Moderate |
Mid-Ebb |
Middle |
3.75 |
10:38 |
8.12 |
8.18 |
31.65 |
27.72 |
1.16 |
<2 |
<0.10 |
0.154 |
E |
|
WSR33 |
20200519 |
Cloudy |
Moderate |
Mid-Ebb |
Middle |
3.75 |
10:38 |
8.52 |
8.26 |
30.69 |
27.88 |
1.41 |
<2 |
<0.10 |
0.217 |
SE |
|
WSR33 |
20200519 |
Cloudy |
Moderate |
Mid-Ebb |
Surface |
1 |
10:39 |
8.34 |
8.31 |
31.26 |
27.84 |
1.58 |
<2 |
<0.10 |
0.192 |
SE |
|
WSR33 |
20200519 |
Cloudy |
Moderate |
Mid-Ebb |
Surface |
1 |
10:39 |
8.34 |
8.11 |
30.47 |
27.65 |
1.37 |
<2 |
<0.10 |
0.201 |
E |
|
WSR36 |
20200519 |
Cloudy |
Moderate |
Mid-Ebb |
Bottom |
4.1 |
10:25 |
9.08 |
8.13 |
31.58 |
27.86 |
1.43 |
3 |
<0.10 |
0.146 |
E |
|
WSR36 |
20200519 |
Cloudy |
Moderate |
Mid-Ebb |
Bottom |
4.1 |
10:25 |
8.33 |
8.11 |
30.44 |
27.67 |
1.46 |
3 |
<0.10 |
0.149 |
E |
|
WSR36 |
20200519 |
Cloudy |
Moderate |
Mid-Ebb |
Surface |
1 |
10:26 |
8.24 |
8.36 |
31.56 |
27.7 |
1.17 |
2 |
<0.10 |
0.194 |
E |
|
WSR36 |
20200519 |
Cloudy |
Moderate |
Mid-Ebb |
Surface |
1 |
10:26 |
8.22 |
8.36 |
30.46 |
27.91 |
1.64 |
2 |
<0.10 |
0.192 |
SE |
|
WSR37 |
20200519 |
Cloudy |
Moderate |
Mid-Ebb |
Bottom |
6.3 |
10:07 |
8.64 |
8.22 |
31.31 |
27.91 |
1.28 |
2 |
<0.10 |
0.136 |
E |
|
WSR37 |
20200519 |
Cloudy |
Moderate |
Mid-Ebb |
Bottom |
6.3 |
10:07 |
8.12 |
8.23 |
31.3 |
27.62 |
1.74 |
3 |
<0.10 |
0.136 |
E |
|
WSR37 |
20200519 |
Cloudy |
Moderate |
Mid-Ebb |
Middle |
3.65 |
10:08 |
8.29 |
8.24 |
30.72 |
27.53 |
1.13 |
2 |
<0.10 |
0.156 |
SE |
|
WSR37 |
20200519 |
Cloudy |
Moderate |
Mid-Ebb |
Middle |
3.65 |
10:08 |
8.66 |
8.3 |
31.37 |
27.79 |
1.34 |
2 |
<0.10 |
0.207 |
SE |
|
WSR37 |
20200519 |
Cloudy |
Moderate |
Mid-Ebb |
Surface |
1 |
10:09 |
8.42 |
8.24 |
31.32 |
27.5 |
1.54 |
2 |
<0.10 |
0.191 |
E |
|
WSR37 |
20200519 |
Cloudy |
Moderate |
Mid-Ebb |
Surface |
1 |
10:09 |
8.34 |
8.12 |
30.89 |
27.87 |
1.67 |
2 |
<0.10 |
0.14 |
SE |
|
CE |
20200519 |
Cloudy |
Moderate |
Mid-Flood |
Bottom |
11.3 |
15:04 |
8.37 |
8.5 |
31.13 |
28.03 |
1.69 |
4 |
<0.10 |
0.172 |
NW |
|
CE |
20200519 |
Cloudy |
Moderate |
Mid-Flood |
Bottom |
11.3 |
15:04 |
8.6 |
8.48 |
31.42 |
27.79 |
1.25 |
5 |
<0.10 |
0.173 |
N |
|
CE |
20200519 |
Cloudy |
Moderate |
Mid-Flood |
Middle |
6.15 |
15:05 |
8.79 |
8.3 |
31.45 |
27.92 |
1.21 |
3 |
<0.10 |
0.204 |
NW |
|
CE |
20200519 |
Cloudy |
Moderate |
Mid-Flood |
Middle |
6.15 |
15:05 |
8.64 |
8.27 |
30.66 |
27.86 |
1.15 |
4 |
<0.10 |
0.209 |
NW |
|
CE |
20200519 |
Cloudy |
Moderate |
Mid-Flood |
Surface |
1 |
15:06 |
8.46 |
8.36 |
31.1 |
27.9 |
0.95 |
3 |
<0.10 |
0.172 |
NW |
|
CE |
20200519 |
Cloudy |
Moderate |
Mid-Flood |
Surface |
1 |
15:06 |
8.21 |
8.3 |
31.05 |
28.08 |
1.75 |
4 |
<0.10 |
0.181 |
NW |
|
CF |
20200519 |
Cloudy |
Moderate |
Mid-Flood |
Bottom |
11.1 |
15:03 |
8.7 |
8.19 |
30.92 |
27.6 |
0.99 |
5 |
<0.10 |
0.194 |
W |
|
CF |
20200519 |
Cloudy |
Moderate |
Mid-Flood |
Bottom |
11.1 |
15:03 |
8.46 |
8.5 |
30.35 |
27.62 |
1.38 |
6 |
<0.10 |
0.218 |
W |
|
CF |
20200519 |
Cloudy |
Moderate |
Mid-Flood |
Middle |
6.05 |
15:04 |
8.84 |
8.21 |
30.43 |
27.73 |
1.33 |
4 |
<0.10 |
0.174 |
W |
|
CF |
20200519 |
Cloudy |
Moderate |
Mid-Flood |
Middle |
6.05 |
15:04 |
9.11 |
8.31 |
30.56 |
27.91 |
1.71 |
4 |
<0.10 |
0.212 |
W |
|
CF |
20200519 |
Cloudy |
Moderate |
Mid-Flood |
Surface |
1 |
15:05 |
8.48 |
8.23 |
31.33 |
27.82 |
1.48 |
4 |
<0.10 |
0.219 |
W |
|
CF |
20200519 |
Cloudy |
Moderate |
Mid-Flood |
Surface |
1 |
15:05 |
8.26 |
8.29 |
30.57 |
28.06 |
0.92 |
4 |
<0.10 |
0.24 |
NW |
|
NF1 |
20200519 |
Cloudy |
Moderate |
Mid-Flood |
Bottom |
9.5 |
15:43 |
8.4 |
8.45 |
30.47 |
27.95 |
1.53 |
2 |
<0.10 |
0.139 |
W |
|
NF1 |
20200519 |
Cloudy |
Moderate |
Mid-Flood |
Bottom |
9.5 |
15:43 |
8.65 |
8.39 |
31.41 |
27.88 |
1.57 |
3 |
<0.10 |
0.157 |
SW |
|
NF1 |
20200519 |
Cloudy |
Moderate |
Mid-Flood |
Middle |
5.25 |
15:44 |
8.42 |
8.29 |
30.31 |
28.06 |
1.46 |
3 |
<0.10 |
0.195 |
W |
|
NF1 |
20200519 |
Cloudy |
Moderate |
Mid-Flood |
Middle |
5.25 |
15:44 |
8.83 |
8.45 |
30.37 |
28 |
1.01 |
2 |
<0.10 |
0.139 |
W |
|
NF1 |
20200519 |
Cloudy |
Moderate |
Mid-Flood |
Surface |
1 |
15:45 |
8.24 |
8.29 |
30.34 |
27.77 |
1.06 |
2 |
<0.10 |
0.184 |
W |
|
NF1 |
20200519 |
Cloudy |
Moderate |
Mid-Flood |
Surface |
1 |
15:45 |
8.54 |
8.31 |
31.3 |
27.71 |
1.26 |
2 |
<0.10 |
0.143 |
SW |
|
NF2 |
20200519 |
Cloudy |
Moderate |
Mid-Flood |
Bottom |
9.4 |
17:16 |
8.84 |
8.42 |
30.95 |
27.74 |
1.02 |
4 |
<0.10 |
0.196 |
W |
|
NF2 |
20200519 |
Cloudy |
Moderate |
Mid-Flood |
Bottom |
9.4 |
17:16 |
8.78 |
8.39 |
30.91 |
27.96 |
1.36 |
3 |
<0.10 |
0.173 |
W |
|
NF2 |
20200519 |
Cloudy |
Moderate |
Mid-Flood |
Middle |
5.2 |
17:17 |
8.74 |
8.4 |
31.09 |
27.62 |
1.1 |
4 |
<0.10 |
0.14 |
W |
|
NF2 |
20200519 |
Cloudy |
Moderate |
Mid-Flood |
Middle |
5.2 |
17:17 |
8.41 |
8.49 |
30.62 |
27.78 |
1.41 |
3 |
<0.10 |
0.139 |
W |
|
NF2 |
20200519 |
Cloudy |
Moderate |
Mid-Flood |
Surface |
1 |
17:18 |
8.42 |
8.42 |
31.23 |
27.78 |
1.35 |
2 |
<0.10 |
0.18 |
W |
|
NF2 |
20200519 |
Cloudy |
Moderate |
Mid-Flood |
Surface |
1 |
17:18 |
8.63 |
8.28 |
31.21 |
27.82 |
1.79 |
2 |
<0.10 |
0.174 |
W |
|
NF3 |
20200519 |
Cloudy |
Moderate |
Mid-Flood |
Bottom |
9.8 |
17:25 |
8.41 |
8.3 |
30.53 |
27.9 |
1.6 |
3 |
<0.10 |
0.169 |
NW |
|
NF3 |
20200519 |
Cloudy |
Moderate |
Mid-Flood |
Bottom |
9.8 |
17:25 |
8.25 |
8.29 |
30.52 |
27.95 |
1.65 |
3 |
<0.10 |
0.129 |
W |
|
NF3 |
20200519 |
Cloudy |
Moderate |
Mid-Flood |
Middle |
5.4 |
17:26 |
8.71 |
8.4 |
30.67 |
27.68 |
1 |
2 |
<0.10 |
0.185 |
SW |
|
NF3 |
20200519 |
Cloudy |
Moderate |
Mid-Flood |
Middle |
5.4 |
17:26 |
8.63 |
8.17 |
30.45 |
27.85 |
1.58 |
2 |
<0.10 |
0.154 |
SW |
|
NF3 |
20200519 |
Cloudy |
Moderate |
Mid-Flood |
Surface |
1 |
17:27 |
9.09 |
8.21 |
30.8 |
28.06 |
1.3 |
2 |
<0.10 |
0.154 |
NW |
|
NF3 |
20200519 |
Cloudy |
Moderate |
Mid-Flood |
Surface |
1 |
17:27 |
9.1 |
8.42 |
30.52 |
27.95 |
1.5 |
3 |
<0.10 |
0.146 |
W |
|
WSR01 |
20200519 |
Cloudy |
Moderate |
Mid-Flood |
Bottom |
8 |
17:56 |
8.22 |
8.37 |
31.33 |
28.09 |
1.78 |
3 |
<0.10 |
0.132 |
SW |
|
WSR01 |
20200519 |
Cloudy |
Moderate |
Mid-Flood |
Bottom |
8 |
17:56 |
8.21 |
8.46 |
30.56 |
27.83 |
1.4 |
3 |
<0.10 |
0.153 |
NW |
|
WSR01 |
20200519 |
Cloudy |
Moderate |
Mid-Flood |
Middle |
4.5 |
17:57 |
8.22 |
8.31 |
30.63 |
27.69 |
1.02 |
3 |
<0.10 |
0.141 |
W |
|
WSR01 |
20200519 |
Cloudy |
Moderate |
Mid-Flood |
Middle |
4.5 |
17:57 |
8.6 |
8.24 |
30.93 |
28.01 |
1.36 |
2 |
<0.10 |
0.139 |
W |
|
WSR01 |
20200519 |
Cloudy |
Moderate |
Mid-Flood |
Surface |
1 |
17:58 |
8.9 |
8.33 |
31.33 |
28.06 |
1.29 |
2 |
<0.10 |
0.141 |
W |
|
WSR01 |
20200519 |
Cloudy |
Moderate |
Mid-Flood |
Surface |
1 |
17:58 |
8.82 |
8.23 |
31.47 |
27.6 |
1.14 |
3 |
<0.10 |
0.169 |
W |
|
WSR02 |
20200519 |
Cloudy |
Moderate |
Mid-Flood |
Bottom |
8 |
17:31 |
8.73 |
8.29 |
30.6 |
27.89 |
1.15 |
4 |
<0.10 |
0.144 |
SW |
|
WSR02 |
20200519 |
Cloudy |
Moderate |
Mid-Flood |
Bottom |
8 |
17:31 |
8.62 |
8.28 |
30.73 |
27.84 |
1.49 |
5 |
<0.10 |
0.172 |
SW |
|
WSR02 |
20200519 |
Cloudy |
Moderate |
Mid-Flood |
Middle |
4.5 |
17:32 |
8.28 |
8.5 |
30.96 |
27.77 |
1.68 |
4 |
<0.10 |
0.192 |
W |
|
WSR02 |
20200519 |
Cloudy |
Moderate |
Mid-Flood |
Middle |
4.5 |
17:32 |
8.89 |
8.42 |
31.06 |
27.79 |
1.13 |
4 |
<0.10 |
0.195 |
W |
|
WSR02 |
20200519 |
Cloudy |
Moderate |
Mid-Flood |
Surface |
1 |
17:33 |
8.97 |
8.17 |
30.37 |
27.94 |
1.35 |
3 |
<0.10 |
0.135 |
NW |
|
WSR02 |
20200519 |
Cloudy |
Moderate |
Mid-Flood |
Surface |
1 |
17:33 |
9.11 |
8.19 |
30.57 |
27.7 |
1.78 |
4 |
<0.10 |
0.168 |
W |
|
WSR03 |
20200519 |
Cloudy |
Moderate |
Mid-Flood |
Bottom |
6.8 |
16:58 |
8.35 |
8.48 |
30.51 |
27.73 |
1.35 |
2 |
<0.10 |
0.196 |
SW |
|
WSR03 |
20200519 |
Cloudy |
Moderate |
Mid-Flood |
Bottom |
6.8 |
16:58 |
8.4 |
8.31 |
31.06 |
28.08 |
1.39 |
3 |
<0.10 |
0.192 |
W |
|
WSR03 |
20200519 |
Cloudy |
Moderate |
Mid-Flood |
Middle |
3.9 |
16:59 |
8.8 |
8.3 |
30.72 |
27.9 |
1.63 |
3 |
<0.10 |
0.132 |
W |
|
WSR03 |
20200519 |
Cloudy |
Moderate |
Mid-Flood |
Middle |
3.9 |
16:59 |
8.77 |
8.4 |
31.35 |
27.78 |
1.7 |
3 |
<0.10 |
0.169 |
NW |
|
WSR03 |
20200519 |
Cloudy |
Moderate |
Mid-Flood |
Surface |
1 |
17:00 |
8.68 |
8.23 |
30.21 |
27.83 |
0.99 |
4 |
<0.10 |
0.148 |
W |
|
WSR03 |
20200519 |
Cloudy |
Moderate |
Mid-Flood |
Surface |
1 |
17:00 |
8.36 |
8.4 |
30.34 |
27.84 |
1.04 |
3 |
<0.10 |
0.178 |
W |
|
WSR04 |
20200519 |
Cloudy |
Moderate |
Mid-Flood |
Bottom |
6.6 |
16:42 |
8.97 |
8.17 |
30.33 |
27.89 |
1.42 |
4 |
<0.10 |
0.167 |
W |
|
WSR04 |
20200519 |
Cloudy |
Moderate |
Mid-Flood |
Bottom |
6.6 |
16:42 |
8.66 |
8.37 |
30.99 |
27.77 |
1.3 |
4 |
<0.10 |
0.18 |
W |
|
WSR04 |
20200519 |
Cloudy |
Moderate |
Mid-Flood |
Middle |
3.8 |
16:43 |
8.4 |
8.44 |
30.92 |
27.89 |
1.25 |
3 |
<0.10 |
0.169 |
NW |
|
WSR04 |
20200519 |
Cloudy |
Moderate |
Mid-Flood |
Middle |
3.8 |
16:43 |
8.92 |
8.28 |
30.51 |
28.01 |
1.64 |
3 |
<0.10 |
0.131 |
NW |
|
WSR04 |
20200519 |
Cloudy |
Moderate |
Mid-Flood |
Surface |
1 |
16:44 |
8.86 |
8.34 |
30.73 |
27.64 |
1.64 |
2 |
<0.10 |
0.159 |
W |
|
WSR04 |
20200519 |
Cloudy |
Moderate |
Mid-Flood |
Surface |
1 |
16:44 |
8.29 |
8.18 |
31.46 |
28.08 |
1.61 |
2 |
<0.10 |
0.155 |
W |
|
WSR16 |
20200519 |
Cloudy |
Moderate |
Mid-Flood |
Bottom |
11.1 |
15:23 |
8.43 |
8.19 |
30.83 |
27.72 |
1.72 |
3 |
<0.10 |
0.172 |
NW |
|
WSR16 |
20200519 |
Cloudy |
Moderate |
Mid-Flood |
Bottom |
11.1 |
15:23 |
8.99 |
8.35 |
30.27 |
28.02 |
1.25 |
4 |
<0.10 |
0.191 |
NW |
|
WSR16 |
20200519 |
Cloudy |
Moderate |
Mid-Flood |
Middle |
6.05 |
15:24 |
8.73 |
8.29 |
31.21 |
27.6 |
0.98 |
3 |
<0.10 |
0.201 |
N |
|
WSR16 |
20200519 |
Cloudy |
Moderate |
Mid-Flood |
Middle |
6.05 |
15:24 |
8.85 |
8.47 |
30.85 |
28.06 |
1.1 |
4 |
<0.10 |
0.173 |
NW |
|
WSR16 |
20200519 |
Cloudy |
Moderate |
Mid-Flood |
Surface |
1 |
15:25 |
8.7 |
8.5 |
30.58 |
27.89 |
1.11 |
2 |
<0.10 |
0.219 |
NW |
|
WSR16 |
20200519 |
Cloudy |
Moderate |
Mid-Flood |
Surface |
1 |
15:25 |
8.21 |
8.46 |
30.4 |
27.9 |
1.67 |
2 |
<0.10 |
0.207 |
NW |
|
WSR33 |
20200519 |
Cloudy |
Moderate |
Mid-Flood |
Bottom |
6.1 |
16:26 |
8.93 |
8.22 |
30.59 |
27.84 |
0.93 |
4 |
<0.10 |
0.134 |
W |
|
WSR33 |
20200519 |
Cloudy |
Moderate |
Mid-Flood |
Bottom |
6.1 |
16:26 |
8.99 |
8.25 |
30.65 |
27.62 |
1.22 |
4 |
<0.10 |
0.194 |
SW |
|
WSR33 |
20200519 |
Cloudy |
Moderate |
Mid-Flood |
Middle |
3.55 |
16:27 |
8.83 |
8.5 |
30.79 |
27.86 |
1.61 |
3 |
<0.10 |
0.177 |
W |
|
WSR33 |
20200519 |
Cloudy |
Moderate |
Mid-Flood |
Middle |
3.55 |
16:27 |
8.26 |
8.39 |
30.7 |
27.86 |
1.27 |
4 |
<0.10 |
0.174 |
W |
|
WSR33 |
20200519 |
Cloudy |
Moderate |
Mid-Flood |
Surface |
1 |
16:28 |
8.84 |
8.43 |
30.74 |
27.76 |
1.73 |
3 |
<0.10 |
0.138 |
W |
|
WSR33 |
20200519 |
Cloudy |
Moderate |
Mid-Flood |
Surface |
1 |
16:28 |
8.97 |
8.36 |
30.77 |
28.05 |
1.32 |
4 |
<0.10 |
0.162 |
W |
|
WSR36 |
20200519 |
Cloudy |
Moderate |
Mid-Flood |
Bottom |
4.6 |
16:13 |
8.38 |
8.44 |
31.34 |
27.69 |
1.12 |
3 |
<0.10 |
0.181 |
W |
|
WSR36 |
20200519 |
Cloudy |
Moderate |
Mid-Flood |
Bottom |
4.6 |
16:13 |
8.8 |
8.45 |
31.21 |
27.63 |
1.07 |
3 |
<0.10 |
0.183 |
W |
|
WSR36 |
20200519 |
Cloudy |
Moderate |
Mid-Flood |
Surface |
1 |
16:14 |
8.8 |
8.23 |
30.27 |
28.09 |
0.93 |
4 |
<0.10 |
0.14 |
W |
|
WSR36 |
20200519 |
Cloudy |
Moderate |
Mid-Flood |
Surface |
1 |
16:14 |
8.28 |
8.19 |
30.97 |
27.99 |
1.19 |
3 |
<0.10 |
0.159 |
W |
|
WSR37 |
20200519 |
Cloudy |
Moderate |
Mid-Flood |
Bottom |
7.6 |
15:54 |
8.66 |
8.46 |
30.52 |
27.64 |
1.63 |
4 |
<0.10 |
0.187 |
NW |
|
WSR37 |
20200519 |
Cloudy |
Moderate |
Mid-Flood |
Bottom |
7.6 |
15:54 |
8.61 |
8.2 |
31.23 |
27.99 |
1.43 |
4 |
<0.10 |
0.137 |
SW |
|
WSR37 |
20200519 |
Cloudy |
Moderate |
Mid-Flood |
Middle |
4.3 |
15:55 |
8.7 |
8.42 |
31.24 |
28.03 |
1.68 |
3 |
<0.10 |
0.131 |
NW |
|
WSR37 |
20200519 |
Cloudy |
Moderate |
Mid-Flood |
Middle |
4.3 |
15:55 |
8.42 |
8.23 |
30.85 |
27.61 |
1.19 |
4 |
<0.10 |
0.132 |
W |
|
WSR37 |
20200519 |
Cloudy |
Moderate |
Mid-Flood |
Surface |
1 |
15:56 |
8.83 |
8.43 |
30.23 |
28.08 |
1.17 |
2 |
<0.10 |
0.165 |
SW |
|
WSR37 |
20200519 |
Cloudy |
Moderate |
Mid-Flood |
Surface |
1 |
15:56 |
8.98 |
8.38 |
30.9 |
27.8 |
1.34 |
3 |
<0.10 |
0.144 |
SW |
|
CE |
20200521 |
Cloudy |
Moderate |
Mid-Ebb |
Bottom |
11.6 |
10:03 |
5.67 |
8.68 |
31.96 |
26.33 |
2.01 |
<2 |
<0.10 |
0.305 |
SE |
|
CE |
20200521 |
Cloudy |
Moderate |
Mid-Ebb |
Bottom |
11.6 |
10:03 |
5 |
8.67 |
32.01 |
26.3 |
1.77 |
<2 |
<0.10 |
0.412 |
SE |
|
CE |
20200521 |
Cloudy |
Moderate |
Mid-Ebb |
Middle |
6.3 |
10:04 |
5.87 |
8.71 |
30.75 |
26.88 |
1.52 |
<2 |
<0.10 |
0.391 |
SE |
|
CE |
20200521 |
Cloudy |
Moderate |
Mid-Ebb |
Middle |
6.3 |
10:04 |
6.1 |
8.71 |
30.52 |
26.88 |
2.02 |
<2 |
<0.10 |
0.385 |
E |
|
CE |
20200521 |
Cloudy |
Moderate |
Mid-Ebb |
Surface |
1 |
10:05 |
6.09 |
8.72 |
28.85 |
27.12 |
2.49 |
<2 |
<0.10 |
0.307 |
E |
|
CE |
20200521 |
Cloudy |
Moderate |
Mid-Ebb |
Surface |
1 |
10:05 |
5.75 |
8.72 |
28.89 |
27.12 |
2.85 |
<2 |
<0.10 |
0.327 |
SE |
|
CF |
20200521 |
Cloudy |
Moderate |
Mid-Ebb |
Bottom |
11.6 |
10:04 |
7.52 |
8.7 |
31.32 |
27.6 |
2.33 |
3 |
<0.10 |
0.172 |
SE |
|
CF |
20200521 |
Cloudy |
Moderate |
Mid-Ebb |
Bottom |
11.6 |
10:04 |
6.9 |
8.79 |
30.85 |
28.01 |
1.93 |
3 |
<0.10 |
0.145 |
E |
|
CF |
20200521 |
Cloudy |
Moderate |
Mid-Ebb |
Middle |
6.3 |
10:05 |
6.71 |
8.52 |
31.6 |
28.01 |
2.14 |
2 |
<0.10 |
0.178 |
SE |
|
CF |
20200521 |
Cloudy |
Moderate |
Mid-Ebb |
Middle |
6.3 |
10:05 |
6.83 |
8.79 |
30.43 |
27.82 |
2.29 |
3 |
<0.10 |
0.138 |
SE |
|
CF |
20200521 |
Cloudy |
Moderate |
Mid-Ebb |
Surface |
1 |
10:06 |
7.26 |
8.63 |
29.75 |
27.5 |
1.71 |
4 |
<0.10 |
0.197 |
SE |
|
CF |
20200521 |
Cloudy |
Moderate |
Mid-Ebb |
Surface |
1 |
10:06 |
7.22 |
8.69 |
29.86 |
27.89 |
1.9 |
3 |
<0.10 |
0.157 |
E |
|
NF1 |
20200521 |
Cloudy |
Moderate |
Mid-Ebb |
Bottom |
4.6 |
10:34 |
6.87 |
8.99 |
30.38 |
28.04 |
0.96 |
2 |
<0.10 |
0.182 |
E |
|
NF1 |
20200521 |
Cloudy |
Moderate |
Mid-Ebb |
Bottom |
4.6 |
10:34 |
7.26 |
9 |
30.42 |
28.07 |
0.78 |
2 |
<0.10 |
0.217 |
E |
|
NF1 |
20200521 |
Cloudy |
Moderate |
Mid-Ebb |
Surface |
1 |
10:35 |
6.86 |
9 |
30.36 |
28.08 |
0.76 |
<2 |
<0.10 |
0.164 |
E |
|
NF1 |
20200521 |
Cloudy |
Moderate |
Mid-Ebb |
Surface |
1 |
10:35 |
6.64 |
9 |
30.3 |
28.08 |
0.84 |
<2 |
<0.10 |
0.173 |
E |
|
NF2 |
20200521 |
Cloudy |
Moderate |
Mid-Ebb |
Bottom |
7.6 |
12:22 |
6.67 |
8.97 |
30.48 |
27.84 |
0.53 |
<2 |
<0.10 |
0.155 |
SE |
|
NF2 |
20200521 |
Cloudy |
Moderate |
Mid-Ebb |
Bottom |
7.6 |
12:22 |
6.38 |
8.85 |
30.59 |
27.81 |
0.49 |
<2 |
<0.10 |
0.169 |
E |
|
NF2 |
20200521 |
Cloudy |
Moderate |
Mid-Ebb |
Middle |
4.3 |
12:23 |
7.3 |
8.8 |
30.27 |
27.97 |
0.5 |
2 |
<0.10 |
0.183 |
E |
|
NF2 |
20200521 |
Cloudy |
Moderate |
Mid-Ebb |
Middle |
4.3 |
12:23 |
7.24 |
8.8 |
30.25 |
28 |
0.85 |
2 |
<0.10 |
0.15 |
SE |
|
NF2 |
20200521 |
Cloudy |
Moderate |
Mid-Ebb |
Surface |
1 |
12:24 |
6.98 |
8.79 |
29.82 |
28.08 |
0.74 |
<2 |
<0.10 |
0.22 |
E |
|
NF2 |
20200521 |
Cloudy |
Moderate |
Mid-Ebb |
Surface |
1 |
12:24 |
6.74 |
8.79 |
29.75 |
28.08 |
0.73 |
2 |
<0.10 |
0.155 |
SE |
|
NF3 |
20200521 |
Cloudy |
Moderate |
Mid-Ebb |
Bottom |
8.1 |
12:42 |
9.75 |
8.82 |
30.57 |
27.85 |
0.78 |
2 |
<0.10 |
0.2 |
E |
|
NF3 |
20200521 |
Cloudy |
Moderate |
Mid-Ebb |
Bottom |
8.1 |
12:42 |
9.24 |
8.81 |
30.63 |
27.81 |
1.03 |
3 |
<0.10 |
0.169 |
SE |
|
NF3 |
20200521 |
Cloudy |
Moderate |
Mid-Ebb |
Middle |
4.55 |
12:43 |
8.79 |
8.81 |
30.26 |
28.07 |
0.41 |
<2 |
<0.10 |
0.179 |
SE |
|
NF3 |
20200521 |
Cloudy |
Moderate |
Mid-Ebb |
Middle |
4.55 |
12:43 |
8.73 |
8.81 |
30.29 |
28.09 |
0.65 |
2 |
<0.10 |
0.186 |
SE |
|
NF3 |
20200521 |
Cloudy |
Moderate |
Mid-Ebb |
Surface |
1 |
12:44 |
7.26 |
8.83 |
29.62 |
27.98 |
1.41 |
2 |
<0.10 |
0.189 |
E |
|
NF3 |
20200521 |
Cloudy |
Moderate |
Mid-Ebb |
Surface |
1 |
12:44 |
6.87 |
8.83 |
29.65 |
27.99 |
1.23 |
<2 |
<0.10 |
0.199 |
SE |
|
WSR01 |
20200521 |
Cloudy |
Moderate |
Mid-Ebb |
Bottom |
7.6 |
12:29 |
7.51 |
8.78 |
30.35 |
27.7 |
1.17 |
3 |
<0.10 |
0.189 |
E |
|
WSR01 |
20200521 |
Cloudy |
Moderate |
Mid-Ebb |
Bottom |
7.6 |
12:29 |
7.46 |
8.46 |
31.58 |
27.67 |
1.3 |
<2 |
<0.10 |
0.211 |
SE |
|
WSR01 |
20200521 |
Cloudy |
Moderate |
Mid-Ebb |
Middle |
4.3 |
12:30 |
7.25 |
8.57 |
29.76 |
28.02 |
1.26 |
<2 |
<0.10 |
0.22 |
SE |
|
WSR01 |
20200521 |
Cloudy |
Moderate |
Mid-Ebb |
Middle |
4.3 |
12:30 |
7.09 |
8.71 |
30.54 |
27.98 |
1.06 |
3 |
<0.10 |
0.2 |
SE |
|
WSR01 |
20200521 |
Cloudy |
Moderate |
Mid-Ebb |
Surface |
1 |
12:31 |
7.63 |
8.66 |
29.8 |
27.5 |
1.29 |
<2 |
<0.10 |
0.189 |
SE |
|
WSR01 |
20200521 |
Cloudy |
Moderate |
Mid-Ebb |
Surface |
1 |
12:31 |
7.05 |
8.67 |
29.92 |
27.72 |
1.12 |
3 |
<0.10 |
0.16 |
E |
|
WSR02 |
20200521 |
Cloudy |
Moderate |
Mid-Ebb |
Bottom |
7.7 |
12:51 |
6.7 |
8.67 |
30.85 |
27.7 |
1.92 |
2 |
<0.10 |
0.183 |
E |
|
WSR02 |
20200521 |
Cloudy |
Moderate |
Mid-Ebb |
Bottom |
7.7 |
12:51 |
7.3 |
8.45 |
30.94 |
27.7 |
1.65 |
<2 |
<0.10 |
0.216 |
SE |
|
WSR02 |
20200521 |
Cloudy |
Moderate |
Mid-Ebb |
Middle |
4.35 |
12:52 |
7.45 |
8.65 |
30.3 |
27.58 |
1.26 |
3 |
<0.10 |
0.205 |
SE |
|
WSR02 |
20200521 |
Cloudy |
Moderate |
Mid-Ebb |
Middle |
4.35 |
12:52 |
7.97 |
8.56 |
30.74 |
27.87 |
1.03 |
2 |
<0.10 |
0.191 |
E |
|
WSR02 |
20200521 |
Cloudy |
Moderate |
Mid-Ebb |
Surface |
1 |
12:53 |
6.89 |
8.49 |
30.22 |
27.99 |
1.42 |
2 |
<0.10 |
0.204 |
SE |
|
WSR02 |
20200521 |
Cloudy |
Moderate |
Mid-Ebb |
Surface |
1 |
12:53 |
7.87 |
8.55 |
30.71 |
27.69 |
1.7 |
<2 |
<0.10 |
0.203 |
E |
|
WSR03 |
20200521 |
Cloudy |
Moderate |
Mid-Ebb |
Bottom |
8.1 |
12:01 |
6.18 |
8.77 |
31.46 |
26.98 |
1.83 |
<2 |
<0.10 |
0.171 |
E |
|
WSR03 |
20200521 |
Cloudy |
Moderate |
Mid-Ebb |
Bottom |
8.1 |
12:01 |
5.73 |
8.76 |
31.64 |
26.84 |
1.71 |
<2 |
<0.10 |
0.167 |
E |
|
WSR03 |
20200521 |
Cloudy |
Moderate |
Mid-Ebb |
Middle |
4.55 |
12:02 |
6.34 |
8.78 |
30.76 |
27.52 |
0.96 |
<2 |
<0.10 |
0.18 |
SE |
|
WSR03 |
20200521 |
Cloudy |
Moderate |
Mid-Ebb |
Middle |
4.55 |
12:02 |
6.39 |
8.79 |
30.81 |
27.51 |
0.77 |
<2 |
<0.10 |
0.199 |
E |
|
WSR03 |
20200521 |
Cloudy |
Moderate |
Mid-Ebb |
Surface |
1 |
12:03 |
7 |
8.8 |
29.96 |
28.04 |
0.77 |
<2 |
<0.10 |
0.171 |
E |
|
WSR03 |
20200521 |
Cloudy |
Moderate |
Mid-Ebb |
Surface |
1 |
12:03 |
6.72 |
8.81 |
29.93 |
28.06 |
0.69 |
<2 |
<0.10 |
0.21 |
SE |
|
WSR04 |
20200521 |
Cloudy |
Moderate |
Mid-Ebb |
Bottom |
7.7 |
11:42 |
7.71 |
8.82 |
30.6 |
27.57 |
2.57 |
<2 |
<0.10 |
0.181 |
E |
|
WSR04 |
20200521 |
Cloudy |
Moderate |
Mid-Ebb |
Bottom |
7.7 |
11:42 |
6.96 |
8.78 |
31.29 |
27 |
4.23 |
2 |
<0.10 |
0.191 |
E |
|
WSR04 |
20200521 |
Cloudy |
Moderate |
Mid-Ebb |
Middle |
4.35 |
11:43 |
7.73 |
8.8 |
29.87 |
27.99 |
0.5 |
<2 |
<0.10 |
0.161 |
SE |
|
WSR04 |
20200521 |
Cloudy |
Moderate |
Mid-Ebb |
Middle |
4.35 |
11:43 |
7.88 |
8.8 |
29.78 |
28.04 |
0.66 |
2 |
<0.10 |
0.18 |
SE |
|
WSR04 |
20200521 |
Cloudy |
Moderate |
Mid-Ebb |
Surface |
1 |
11:44 |
8.18 |
8.82 |
29.29 |
28.04 |
0.93 |
<2 |
<0.10 |
0.175 |
E |
|
WSR04 |
20200521 |
Cloudy |
Moderate |
Mid-Ebb |
Surface |
1 |
11:44 |
7.86 |
8.83 |
29.15 |
28.05 |
0.95 |
<2 |
<0.10 |
0.159 |
E |
|
WSR16 |
20200521 |
Cloudy |
Moderate |
Mid-Ebb |
Bottom |
11.1 |
13:18 |
6.82 |
8.59 |
31.33 |
27.97 |
1.76 |
4 |
<0.10 |
0.208 |
E |
|
WSR16 |
20200521 |
Cloudy |
Moderate |
Mid-Ebb |
Bottom |
11.1 |
13:18 |
7.92 |
8.49 |
31.21 |
27.53 |
2.38 |
4 |
<0.10 |
0.14 |
E |
|
WSR16 |
20200521 |
Cloudy |
Moderate |
Mid-Ebb |
Middle |
6.05 |
13:19 |
7.62 |
8.65 |
30.53 |
27.58 |
1.65 |
2 |
<0.10 |
0.145 |
E |
|
WSR16 |
20200521 |
Cloudy |
Moderate |
Mid-Ebb |
Middle |
6.05 |
13:19 |
7.95 |
8.79 |
30.15 |
27.53 |
2.2 |
3 |
<0.10 |
0.204 |
SE |
|
WSR16 |
20200521 |
Cloudy |
Moderate |
Mid-Ebb |
Surface |
1 |
13:20 |
7.62 |
8.74 |
30.06 |
27.64 |
1.66 |
2 |
<0.10 |
0.167 |
SE |
|
WSR16 |
20200521 |
Cloudy |
Moderate |
Mid-Ebb |
Surface |
1 |
13:20 |
6.72 |
8.73 |
30.07 |
27.85 |
1.06 |
3 |
<0.10 |
0.21 |
E |
|
WSR33 |
20200521 |
Cloudy |
Moderate |
Mid-Ebb |
Bottom |
6.3 |
11:19 |
6.78 |
8.97 |
30.12 |
27.91 |
3.4 |
<2 |
<0.10 |
0.158 |
E |
|
WSR33 |
20200521 |
Cloudy |
Moderate |
Mid-Ebb |
Bottom |
6.3 |
11:19 |
6.45 |
8.95 |
30.5 |
27.67 |
2.95 |
<2 |
<0.10 |
0.163 |
SE |
|
WSR33 |
20200521 |
Cloudy |
Moderate |
Mid-Ebb |
Middle |
3.65 |
11:20 |
6.63 |
9.11 |
28.85 |
28.03 |
0.83 |
2 |
<0.10 |
0.192 |
SE |
|
WSR33 |
20200521 |
Cloudy |
Moderate |
Mid-Ebb |
Middle |
3.65 |
11:20 |
6.54 |
9.17 |
29.32 |
28.03 |
0.81 |
3 |
<0.10 |
0.183 |
SE |
|
WSR33 |
20200521 |
Cloudy |
Moderate |
Mid-Ebb |
Surface |
1 |
11:21 |
6.51 |
9.16 |
29.03 |
28.04 |
1 |
3 |
<0.10 |
0.156 |
E |
|
WSR33 |
20200521 |
Cloudy |
Moderate |
Mid-Ebb |
Surface |
1 |
11:21 |
6.35 |
9.15 |
28.7 |
28.05 |
1.02 |
<2 |
<0.10 |
0.182 |
E |
|
WSR36 |
20200521 |
Cloudy |
Moderate |
Mid-Ebb |
Bottom |
3.9 |
11:07 |
6.59 |
8.87 |
30.34 |
28.01 |
1.28 |
<2 |
<0.10 |
0.144 |
SE |
|
WSR36 |
20200521 |
Cloudy |
Moderate |
Mid-Ebb |
Bottom |
3.9 |
11:07 |
6.59 |
8.86 |
30.26 |
28.04 |
1.9 |
<2 |
<0.10 |
0.173 |
SE |
|
WSR36 |
20200521 |
Cloudy |
Moderate |
Mid-Ebb |
Surface |
1 |
11:08 |
6.37 |
8.84 |
29.94 |
28.04 |
1.64 |
<2 |
<0.10 |
0.137 |
SE |
|
WSR36 |
20200521 |
Cloudy |
Moderate |
Mid-Ebb |
Surface |
1 |
11:08 |
6.13 |
8.84 |
29.85 |
28.05 |
1.85 |
<2 |
<0.10 |
0.173 |
SE |
|
WSR37 |
20200521 |
Cloudy |
Moderate |
Mid-Ebb |
Bottom |
8.6 |
10:51 |
7.28 |
8.93 |
31.07 |
27.56 |
2.28 |
2 |
<0.10 |
0.199 |
E |
|
WSR37 |
20200521 |
Cloudy |
Moderate |
Mid-Ebb |
Bottom |
8.6 |
10:51 |
6.22 |
8.77 |
31.62 |
27.07 |
3.22 |
<2 |
<0.10 |
0.138 |
E |
|
WSR37 |
20200521 |
Cloudy |
Moderate |
Mid-Ebb |
Middle |
4.8 |
10:52 |
6.62 |
8.76 |
30.44 |
27.94 |
0.69 |
<2 |
<0.10 |
0.155 |
E |
|
WSR37 |
20200521 |
Cloudy |
Moderate |
Mid-Ebb |
Middle |
4.8 |
10:52 |
6.84 |
8.75 |
30.37 |
27.97 |
0.59 |
<2 |
<0.10 |
0.174 |
SE |
|
WSR37 |
20200521 |
Cloudy |
Moderate |
Mid-Ebb |
Surface |
1 |
10:53 |
6.45 |
8.76 |
29.92 |
28.04 |
0.7 |
<2 |
<0.10 |
0.221 |
SE |
|
WSR37 |
20200521 |
Cloudy |
Moderate |
Mid-Ebb |
Surface |
1 |
10:53 |
5.86 |
8.76 |
29.8 |
28.06 |
0.76 |
<2 |
<0.10 |
0.167 |
E |
|
CE |
20200521 |
Cloudy |
Moderate |
Mid-Flood |
Bottom |
12 |
15:22 |
7.07 |
8.53 |
29.97 |
28.16 |
2.4 |
2 |
<0.10 |
0.176 |
NW |
|
CE |
20200521 |
Cloudy |
Moderate |
Mid-Flood |
Bottom |
12 |
15:22 |
7.16 |
8.75 |
30.71 |
28.21 |
2.47 |
<2 |
<0.10 |
0.165 |
NW |
|
CE |
20200521 |
Cloudy |
Moderate |
Mid-Flood |
Middle |
6.5 |
15:23 |
7.58 |
8.57 |
30.92 |
27.98 |
1.68 |
<2 |
<0.10 |
0.173 |
NW |
|
CE |
20200521 |
Cloudy |
Moderate |
Mid-Flood |
Middle |
6.5 |
15:23 |
8.26 |
8.67 |
30.73 |
28.2 |
1.41 |
2 |
<0.10 |
0.221 |
NW |
|
CE |
20200521 |
Cloudy |
Moderate |
Mid-Flood |
Surface |
1 |
15:24 |
7.51 |
8.63 |
30.79 |
28.15 |
0.99 |
2 |
<0.10 |
0.215 |
NW |
|
CE |
20200521 |
Cloudy |
Moderate |
Mid-Flood |
Surface |
1 |
15:24 |
7.18 |
8.72 |
30.09 |
27.96 |
1.28 |
3 |
<0.10 |
0.164 |
NW |
|
CF |
20200521 |
Cloudy |
Moderate |
Mid-Flood |
Bottom |
11.8 |
15:21 |
7.82 |
8.71 |
30.34 |
28.18 |
2.56 |
3 |
<0.10 |
0.163 |
W |
|
CF |
20200521 |
Cloudy |
Moderate |
Mid-Flood |
Bottom |
11.8 |
15:21 |
7.91 |
8.57 |
31.03 |
28.1 |
1.95 |
4 |
<0.10 |
0.214 |
NW |
|
CF |
20200521 |
Cloudy |
Moderate |
Mid-Flood |
Middle |
6.4 |
15:22 |
7.29 |
8.51 |
30.14 |
28.01 |
0.92 |
2 |
<0.10 |
0.17 |
W |
|
CF |
20200521 |
Cloudy |
Moderate |
Mid-Flood |
Middle |
6.4 |
15:22 |
7.87 |
8.77 |
30.6 |
27.91 |
1.03 |
<2 |
<0.10 |
0.17 |
W |
|
CF |
20200521 |
Cloudy |
Moderate |
Mid-Flood |
Surface |
1 |
15:23 |
7.25 |
8.62 |
31.27 |
27.95 |
1.25 |
<2 |
<0.10 |
0.172 |
SW |
|
CF |
20200521 |
Cloudy |
Moderate |
Mid-Flood |
Surface |
1 |
15:23 |
7.01 |
8.52 |
30.08 |
27.91 |
1.58 |
<2 |
<0.10 |
0.206 |
SW |
|
NF1 |
20200521 |
Cloudy |
Moderate |
Mid-Flood |
Bottom |
9.9 |
16:01 |
7.34 |
8.54 |
30.43 |
28.07 |
1.69 |
3 |
<0.10 |
0.137 |
SW |
|
NF1 |
20200521 |
Cloudy |
Moderate |
Mid-Flood |
Bottom |
9.9 |
16:01 |
7.71 |
8.53 |
30.63 |
27.9 |
1.58 |
4 |
<0.10 |
0.189 |
W |
|
NF1 |
20200521 |
Cloudy |
Moderate |
Mid-Flood |
Middle |
5.45 |
16:02 |
7.68 |
8.54 |
30.58 |
28.01 |
1.28 |
2 |
<0.10 |
0.168 |
W |
|
NF1 |
20200521 |
Cloudy |
Moderate |
Mid-Flood |
Middle |
5.45 |
16:02 |
7.18 |
8.57 |
30.89 |
27.91 |
1.08 |
3 |
<0.10 |
0.156 |
W |
|
NF1 |
20200521 |
Cloudy |
Moderate |
Mid-Flood |
Surface |
1 |
16:03 |
7.47 |
8.8 |
29.94 |
28.05 |
1.65 |
3 |
<0.10 |
0.19 |
NW |
|
NF1 |
20200521 |
Cloudy |
Moderate |
Mid-Flood |
Surface |
1 |
16:03 |
8.01 |
8.68 |
30.41 |
27.94 |
1.25 |
<2 |
<0.10 |
0.141 |
NW |
|
NF2 |
20200521 |
Cloudy |
Moderate |
Mid-Flood |
Bottom |
8.5 |
17:37 |
7.46 |
8.76 |
30.77 |
28.03 |
2.2 |
2 |
<0.10 |
0.194 |
W |
|
NF2 |
20200521 |
Cloudy |
Moderate |
Mid-Flood |
Bottom |
8.5 |
17:37 |
8.24 |
8.55 |
30.65 |
28.15 |
1.64 |
3 |
<0.10 |
0.186 |
NW |
|
NF2 |
20200521 |
Cloudy |
Moderate |
Mid-Flood |
Middle |
4.75 |
17:38 |
6.95 |
8.76 |
31.16 |
28.07 |
1.16 |
4 |
<0.10 |
0.143 |
W |
|
NF2 |
20200521 |
Cloudy |
Moderate |
Mid-Flood |
Middle |
4.75 |
17:38 |
7.73 |
8.51 |
30.86 |
28 |
1.14 |
2 |
<0.10 |
0.185 |
W |
|
NF2 |
20200521 |
Cloudy |
Moderate |
Mid-Flood |
Surface |
1 |
17:39 |
7.32 |
8.75 |
31.1 |
28.13 |
1.21 |
4 |
<0.10 |
0.193 |
W |
|
NF2 |
20200521 |
Cloudy |
Moderate |
Mid-Flood |
Surface |
1 |
17:39 |
6.88 |
8.65 |
30.13 |
28.18 |
0.97 |
4 |
<0.10 |
0.184 |
W |
|
NF3 |
20200521 |
Cloudy |
Moderate |
Mid-Flood |
Bottom |
9.8 |
17:45 |
6.99 |
8.76 |
29.96 |
28.11 |
1.98 |
4 |
<0.10 |
0.128 |
SW |
|
NF3 |
20200521 |
Cloudy |
Moderate |
Mid-Flood |
Bottom |
9.8 |
17:45 |
8.17 |
8.8 |
30.6 |
28.07 |
2.25 |
3 |
<0.10 |
0.145 |
SW |
|
NF3 |
20200521 |
Cloudy |
Moderate |
Mid-Flood |
Middle |
5.4 |
17:46 |
7.24 |
8.76 |
30.71 |
28.05 |
1.48 |
3 |
<0.10 |
0.177 |
SW |
|
NF3 |
20200521 |
Cloudy |
Moderate |
Mid-Flood |
Middle |
5.4 |
17:46 |
7.11 |
8.65 |
30.23 |
28.06 |
1.57 |
3 |
<0.10 |
0.165 |
SW |
|
NF3 |
20200521 |
Cloudy |
Moderate |
Mid-Flood |
Surface |
1 |
17:47 |
7.05 |
8.79 |
29.93 |
28.21 |
1.17 |
2 |
<0.10 |
0.132 |
W |
|
NF3 |
20200521 |
Cloudy |
Moderate |
Mid-Flood |
Surface |
1 |
17:47 |
7.26 |
8.64 |
30.58 |
28 |
0.88 |
2 |
<0.10 |
0.156 |
W |
|
WSR01 |
20200521 |
Cloudy |
Moderate |
Mid-Flood |
Bottom |
7.3 |
18:09 |
7.43 |
8.79 |
29.96 |
27.96 |
2.16 |
3 |
<0.10 |
0.169 |
W |
|
WSR01 |
20200521 |
Cloudy |
Moderate |
Mid-Flood |
Bottom |
7.3 |
18:09 |
7 |
8.63 |
30.78 |
27.95 |
1.87 |
<2 |
<0.10 |
0.183 |
W |
|
WSR01 |
20200521 |
Cloudy |
Moderate |
Mid-Flood |
Middle |
4.15 |
18:10 |
8.22 |
8.67 |
30.17 |
28.07 |
1.46 |
3 |
<0.10 |
0.162 |
W |
|
WSR01 |
20200521 |
Cloudy |
Moderate |
Mid-Flood |
Middle |
4.15 |
18:10 |
6.96 |
8.6 |
30.01 |
27.95 |
1.74 |
2 |
<0.10 |
0.161 |
NW |
|
WSR01 |
20200521 |
Cloudy |
Moderate |
Mid-Flood |
Surface |
1 |
18:11 |
7.99 |
8.57 |
30.51 |
28 |
1.66 |
5 |
<0.10 |
0.162 |
W |
|
WSR01 |
20200521 |
Cloudy |
Moderate |
Mid-Flood |
Surface |
1 |
18:11 |
8.04 |
8.61 |
30.83 |
27.91 |
1.43 |
4 |
<0.10 |
0.173 |
SW |
|
WSR02 |
20200521 |
Cloudy |
Moderate |
Mid-Flood |
Bottom |
8.9 |
17:45 |
7.18 |
8.54 |
30.75 |
27.96 |
2.37 |
4 |
<0.10 |
0.128 |
W |
|
WSR02 |
20200521 |
Cloudy |
Moderate |
Mid-Flood |
Bottom |
8.9 |
17:45 |
8.14 |
8.67 |
30.63 |
27.91 |
1.84 |
3 |
<0.10 |
0.158 |
W |
|
WSR02 |
20200521 |
Cloudy |
Moderate |
Mid-Flood |
Middle |
4.95 |
17:46 |
6.95 |
8.63 |
30.21 |
28.03 |
0.99 |
2 |
<0.10 |
0.189 |
W |
|
WSR02 |
20200521 |
Cloudy |
Moderate |
Mid-Flood |
Middle |
4.95 |
17:46 |
7.01 |
8.6 |
30.56 |
27.96 |
0.98 |
3 |
<0.10 |
0.166 |
NW |
|
WSR02 |
20200521 |
Cloudy |
Moderate |
Mid-Flood |
Surface |
1 |
17:47 |
7.12 |
8.74 |
30.79 |
27.92 |
1.33 |
2 |
<0.10 |
0.159 |
W |
|
WSR02 |
20200521 |
Cloudy |
Moderate |
Mid-Flood |
Surface |
1 |
17:47 |
7.61 |
8.71 |
31.17 |
27.97 |
0.94 |
<2 |
<0.10 |
0.161 |
SW |
|
WSR03 |
20200521 |
Cloudy |
Moderate |
Mid-Flood |
Bottom |
7.1 |
17:19 |
7.52 |
8.59 |
30.46 |
28.05 |
2.23 |
3 |
<0.10 |
0.128 |
W |
|
WSR03 |
20200521 |
Cloudy |
Moderate |
Mid-Flood |
Bottom |
7.1 |
17:19 |
8.06 |
8.72 |
30.05 |
27.95 |
2.11 |
3 |
<0.10 |
0.129 |
W |
|
WSR03 |
20200521 |
Cloudy |
Moderate |
Mid-Flood |
Middle |
4.05 |
17:20 |
7.37 |
8.73 |
30.31 |
27.93 |
1.46 |
2 |
<0.10 |
0.175 |
W |
|
WSR03 |
20200521 |
Cloudy |
Moderate |
Mid-Flood |
Middle |
4.05 |
17:20 |
7.3 |
8.58 |
29.89 |
28.2 |
1.11 |
2 |
<0.10 |
0.137 |
W |
|
WSR03 |
20200521 |
Cloudy |
Moderate |
Mid-Flood |
Surface |
1 |
17:21 |
7.14 |
8.61 |
31 |
28.14 |
0.92 |
2 |
<0.10 |
0.162 |
W |
|
WSR03 |
20200521 |
Cloudy |
Moderate |
Mid-Flood |
Surface |
1 |
17:21 |
7.95 |
8.74 |
31.17 |
28.21 |
0.97 |
3 |
<0.10 |
0.149 |
NW |
|
WSR04 |
20200521 |
Cloudy |
Moderate |
Mid-Flood |
Bottom |
6.8 |
17:02 |
7.65 |
8.56 |
29.94 |
28.05 |
1.98 |
4 |
<0.10 |
0.171 |
W |
|
WSR04 |
20200521 |
Cloudy |
Moderate |
Mid-Flood |
Bottom |
6.8 |
17:02 |
7.01 |
8.52 |
30.5 |
27.97 |
1.62 |
3 |
<0.10 |
0.164 |
W |
|
WSR04 |
20200521 |
Cloudy |
Moderate |
Mid-Flood |
Middle |
3.9 |
17:03 |
7.53 |
8.65 |
30.88 |
28.06 |
1.54 |
3 |
<0.10 |
0.156 |
W |
|
WSR04 |
20200521 |
Cloudy |
Moderate |
Mid-Flood |
Middle |
3.9 |
17:03 |
7.84 |
8.61 |
30.38 |
27.97 |
1.32 |
3 |
<0.10 |
0.19 |
SW |
|
WSR04 |
20200521 |
Cloudy |
Moderate |
Mid-Flood |
Surface |
1 |
17:04 |
7.22 |
8.71 |
29.89 |
27.96 |
1.63 |
2 |
<0.10 |
0.183 |
W |
|
WSR04 |
20200521 |
Cloudy |
Moderate |
Mid-Flood |
Surface |
1 |
17:04 |
7.89 |
8.77 |
31.03 |
27.95 |
1.62 |
2 |
<0.10 |
0.177 |
SW |
|
WSR16 |
20200521 |
Cloudy |
Moderate |
Mid-Flood |
Bottom |
10.8 |
15:41 |
7.32 |
8.58 |
30.47 |
28.07 |
2.06 |
4 |
<0.10 |
0.164 |
NW |
|
WSR16 |
20200521 |
Cloudy |
Moderate |
Mid-Flood |
Bottom |
10.8 |
15:41 |
7.25 |
8.51 |
30.04 |
28.17 |
1.86 |
3 |
<0.10 |
0.181 |
NW |
|
WSR16 |
20200521 |
Cloudy |
Moderate |
Mid-Flood |
Middle |
5.9 |
15:42 |
7.46 |
8.62 |
31.19 |
28.11 |
1.39 |
3 |
<0.10 |
0.222 |
N |
|
WSR16 |
20200521 |
Cloudy |
Moderate |
Mid-Flood |
Middle |
5.9 |
15:42 |
7.33 |
8.8 |
30.07 |
28.04 |
1.4 |
3 |
<0.10 |
0.184 |
NW |
|
WSR16 |
20200521 |
Cloudy |
Moderate |
Mid-Flood |
Surface |
1 |
15:43 |
7.7 |
8.74 |
30.16 |
28.15 |
1.05 |
4 |
<0.10 |
0.199 |
NW |
|
WSR16 |
20200521 |
Cloudy |
Moderate |
Mid-Flood |
Surface |
1 |
15:43 |
8.09 |
8.54 |
30.06 |
28.21 |
1.62 |
2 |
<0.10 |
0.217 |
NW |
|
WSR33 |
20200521 |
Cloudy |
Moderate |
Mid-Flood |
Bottom |
6.5 |
16:44 |
7.64 |
8.53 |
30.35 |
28.19 |
2.41 |
<2 |
<0.10 |
0.167 |
W |
|
WSR33 |
20200521 |
Cloudy |
Moderate |
Mid-Flood |
Bottom |
6.5 |
16:44 |
8.23 |
8.63 |
30 |
27.92 |
1.95 |
2 |
<0.10 |
0.174 |
NW |
|
WSR33 |
20200521 |
Cloudy |
Moderate |
Mid-Flood |
Middle |
3.75 |
16:45 |
7.14 |
8.63 |
31.26 |
27.92 |
1.58 |
3 |
<0.10 |
0.193 |
W |
|
WSR33 |
20200521 |
Cloudy |
Moderate |
Mid-Flood |
Middle |
3.75 |
16:45 |
8.25 |
8.51 |
30.59 |
28.15 |
1.75 |
4 |
<0.10 |
0.152 |
W |
|
WSR33 |
20200521 |
Cloudy |
Moderate |
Mid-Flood |
Surface |
1 |
16:46 |
7.54 |
8.7 |
30.94 |
28.07 |
1.4 |
3 |
<0.10 |
0.13 |
W |
|
WSR33 |
20200521 |
Cloudy |
Moderate |
Mid-Flood |
Surface |
1 |
16:46 |
8.09 |
8.78 |
30.61 |
28.17 |
1.48 |
4 |
<0.10 |
0.154 |
W |
|
WSR36 |
20200521 |
Cloudy |
Moderate |
Mid-Flood |
Bottom |
3.7 |
16:30 |
7.68 |
8.79 |
30.64 |
27.97 |
1.88 |
2 |
<0.10 |
0.167 |
SW |
|
WSR36 |
20200521 |
Cloudy |
Moderate |
Mid-Flood |
Bottom |
3.7 |
16:30 |
7.12 |
8.51 |
30.99 |
28.13 |
1.67 |
<2 |
<0.10 |
0.155 |
NW |
|
WSR36 |
20200521 |
Cloudy |
Moderate |
Mid-Flood |
Surface |
1 |
16:31 |
6.89 |
8.63 |
29.9 |
28.17 |
0.82 |
<2 |
<0.10 |
0.159 |
W |
|
WSR36 |
20200521 |
Cloudy |
Moderate |
Mid-Flood |
Surface |
1 |
16:31 |
7.48 |
8.52 |
30.12 |
28.21 |
1.65 |
<2 |
<0.10 |
0.148 |
W |
|
WSR37 |
20200521 |
Cloudy |
Moderate |
Mid-Flood |
Bottom |
7.4 |
16:13 |
7.21 |
8.68 |
31.26 |
27.93 |
2.38 |
3 |
<0.10 |
0.13 |
SW |
|
WSR37 |
20200521 |
Cloudy |
Moderate |
Mid-Flood |
Bottom |
7.4 |
16:13 |
7.27 |
8.59 |
31.01 |
28.21 |
2.21 |
2 |
<0.10 |
0.167 |
W |
|
WSR37 |
20200521 |
Cloudy |
Moderate |
Mid-Flood |
Middle |
4.2 |
16:14 |
7.45 |
8.61 |
30.76 |
27.98 |
1.76 |
<2 |
<0.10 |
0.145 |
NW |
|
WSR37 |
20200521 |
Cloudy |
Moderate |
Mid-Flood |
Middle |
4.2 |
16:14 |
7.34 |
8.62 |
30.58 |
28.04 |
1.4 |
3 |
<0.10 |
0.166 |
W |
|
WSR37 |
20200521 |
Cloudy |
Moderate |
Mid-Flood |
Surface |
1 |
16:15 |
7.44 |
8.8 |
30.72 |
27.97 |
1.06 |
4 |
<0.10 |
0.14 |
W |
|
WSR37 |
20200521 |
Cloudy |
Moderate |
Mid-Flood |
Surface |
1 |
16:15 |
6.96 |
8.56 |
30.03 |
28.04 |
1.08 |
3 |
<0.10 |
0.14 |
W |
|
CE |
20200523 |
Cloudy |
Moderate |
Mid-Ebb |
Bottom |
12 |
11:00 |
8.43 |
8.22 |
30.81 |
27.23 |
1.62 |
3 |
<0.10 |
0.286 |
SE |
|
CE |
20200523 |
Cloudy |
Moderate |
Mid-Ebb |
Bottom |
12 |
11:00 |
8.79 |
8.18 |
31.2 |
26.63 |
1.6 |
4 |
<0.10 |
0.42 |
SE |
|
CE |
20200523 |
Cloudy |
Moderate |
Mid-Ebb |
Middle |
6.5 |
11:01 |
9.34 |
8.2 |
31 |
26.76 |
1.5 |
2 |
<0.10 |
0.428 |
SE |
|
CE |
20200523 |
Cloudy |
Moderate |
Mid-Ebb |
Middle |
6.5 |
11:01 |
8.33 |
8.06 |
31.52 |
27.03 |
1.32 |
3 |
<0.10 |
0.343 |
SE |
|
CE |
20200523 |
Cloudy |
Moderate |
Mid-Ebb |
Surface |
1 |
11:02 |
8.13 |
8.27 |
30.99 |
27.14 |
1.37 |
<2 |
<0.10 |
0.309 |
E |
|
CE |
20200523 |
Cloudy |
Moderate |
Mid-Ebb |
Surface |
1 |
11:02 |
8.03 |
8.08 |
30.83 |
26.93 |
0.98 |
<2 |
<0.10 |
0.317 |
E |
|
CF |
20200523 |
Cloudy |
Moderate |
Mid-Ebb |
Bottom |
11.7 |
11:01 |
8.44 |
8.17 |
31.25 |
26.84 |
2.01 |
<2 |
<0.10 |
0.154 |
E |
|
CF |
20200523 |
Cloudy |
Moderate |
Mid-Ebb |
Bottom |
11.7 |
11:01 |
9.05 |
8.02 |
30.92 |
26.79 |
1.59 |
<2 |
<0.10 |
0.167 |
E |
|
CF |
20200523 |
Cloudy |
Moderate |
Mid-Ebb |
Middle |
6.35 |
11:02 |
8.71 |
8.24 |
31.5 |
27.15 |
1.09 |
<2 |
<0.10 |
0.167 |
SE |
|
CF |
20200523 |
Cloudy |
Moderate |
Mid-Ebb |
Middle |
6.35 |
11:02 |
9.44 |
8.17 |
31.58 |
26.82 |
1.3 |
<2 |
<0.10 |
0.142 |
SE |
|
CF |
20200523 |
Cloudy |
Moderate |
Mid-Ebb |
Surface |
1 |
11:03 |
9.3 |
8.14 |
31.63 |
27.1 |
1.36 |
2 |
<0.10 |
0.163 |
SE |
|
CF |
20200523 |
Cloudy |
Moderate |
Mid-Ebb |
Surface |
1 |
11:03 |
9.08 |
8.04 |
30.85 |
26.96 |
1.22 |
2 |
<0.10 |
0.212 |
SE |
|
NF1 |
20200523 |
Cloudy |
Moderate |
Mid-Ebb |
Bottom |
10.9 |
11:43 |
9.32 |
8.03 |
31.21 |
26.6 |
1.7 |
6 |
<0.10 |
0.159 |
SE |
|
NF1 |
20200523 |
Cloudy |
Moderate |
Mid-Ebb |
Bottom |
10.9 |
11:43 |
8.8 |
8.02 |
30.81 |
26.84 |
1.84 |
7 |
<0.10 |
0.135 |
E |
|
NF1 |
20200523 |
Cloudy |
Moderate |
Mid-Ebb |
Middle |
5.95 |
11:44 |
9.49 |
8.09 |
31.32 |
26.53 |
1.45 |
4 |
<0.10 |
0.218 |
SE |
|
NF1 |
20200523 |
Cloudy |
Moderate |
Mid-Ebb |
Middle |
5.95 |
11:44 |
7.98 |
8.16 |
31.06 |
26.7 |
1.5 |
5 |
<0.10 |
0.159 |
SE |
|
NF1 |
20200523 |
Cloudy |
Moderate |
Mid-Ebb |
Surface |
1 |
11:45 |
9.22 |
8.02 |
30.87 |
26.62 |
1.21 |
4 |
<0.10 |
0.214 |
SE |
|
NF1 |
20200523 |
Cloudy |
Moderate |
Mid-Ebb |
Surface |
1 |
11:45 |
8.47 |
8.18 |
31.28 |
27.14 |
1.14 |
4 |
<0.10 |
0.175 |
SE |
|
NF2 |
20200523 |
Cloudy |
Moderate |
Mid-Ebb |
Bottom |
8.7 |
13:20 |
7.95 |
8.18 |
30.8 |
27.05 |
1.7 |
2 |
<0.10 |
0.204 |
E |
|
NF2 |
20200523 |
Cloudy |
Moderate |
Mid-Ebb |
Bottom |
8.7 |
13:20 |
8.06 |
8.18 |
31.44 |
27.21 |
1.63 |
2 |
<0.10 |
0.169 |
SE |
|
NF2 |
20200523 |
Cloudy |
Moderate |
Mid-Ebb |
Middle |
4.85 |
13:21 |
8.77 |
8.25 |
31.59 |
26.92 |
1.26 |
3 |
<0.10 |
0.136 |
SE |
|
NF2 |
20200523 |
Cloudy |
Moderate |
Mid-Ebb |
Middle |
4.85 |
13:21 |
7.83 |
8.18 |
30.79 |
26.95 |
1.21 |
4 |
<0.10 |
0.152 |
SE |
|
NF2 |
20200523 |
Cloudy |
Moderate |
Mid-Ebb |
Surface |
1 |
13:22 |
9.11 |
8.09 |
31.58 |
26.87 |
1.21 |
3 |
<0.10 |
0.169 |
SE |
|
NF2 |
20200523 |
Cloudy |
Moderate |
Mid-Ebb |
Surface |
1 |
13:22 |
8.77 |
8.17 |
31.51 |
26.97 |
1.07 |
4 |
<0.10 |
0.212 |
E |
|
NF3 |
20200523 |
Cloudy |
Moderate |
Mid-Ebb |
Bottom |
10.3 |
13:28 |
7.89 |
8.14 |
31.46 |
27.1 |
1.71 |
5 |
<0.10 |
0.174 |
E |
|
NF3 |
20200523 |
Cloudy |
Moderate |
Mid-Ebb |
Bottom |
10.3 |
13:28 |
8.69 |
8.31 |
31.6 |
26.86 |
1.64 |
5 |
<0.10 |
0.151 |
SE |
|
NF3 |
20200523 |
Cloudy |
Moderate |
Mid-Ebb |
Middle |
5.65 |
13:29 |
7.63 |
8.06 |
30.94 |
27.02 |
1.5 |
5 |
<0.10 |
0.162 |
E |
|
NF3 |
20200523 |
Cloudy |
Moderate |
Mid-Ebb |
Middle |
5.65 |
13:29 |
8.69 |
8.23 |
30.97 |
27.06 |
1.11 |
4 |
<0.10 |
0.215 |
E |
|
NF3 |
20200523 |
Cloudy |
Moderate |
Mid-Ebb |
Surface |
1 |
13:30 |
9.1 |
8.1 |
30.94 |
26.83 |
1.22 |
2 |
<0.10 |
0.188 |
SE |
|
NF3 |
20200523 |
Cloudy |
Moderate |
Mid-Ebb |
Surface |
1 |
13:30 |
8.51 |
8.3 |
30.88 |
27.12 |
1.39 |
3 |
<0.10 |
0.145 |
E |
|
WSR01 |
20200523 |
Cloudy |
Moderate |
Mid-Ebb |
Bottom |
7.5 |
13:49 |
7.99 |
8.2 |
31.48 |
27.01 |
1.88 |
2 |
<0.10 |
0.219 |
SE |
|
WSR01 |
20200523 |
Cloudy |
Moderate |
Mid-Ebb |
Bottom |
7.5 |
13:49 |
9.01 |
8.24 |
31.05 |
26.91 |
2.01 |
3 |
<0.10 |
0.175 |
SE |
|
WSR01 |
20200523 |
Cloudy |
Moderate |
Mid-Ebb |
Middle |
4.25 |
13:50 |
8.86 |
8.2 |
30.83 |
27.08 |
1.06 |
3 |
<0.10 |
0.178 |
E |
|
WSR01 |
20200523 |
Cloudy |
Moderate |
Mid-Ebb |
Middle |
4.25 |
13:50 |
7.61 |
8.15 |
31.67 |
27.05 |
1.05 |
2 |
<0.10 |
0.159 |
SE |
|
WSR01 |
20200523 |
Cloudy |
Moderate |
Mid-Ebb |
Surface |
1 |
13:51 |
8.51 |
8.02 |
31.28 |
26.73 |
0.97 |
<2 |
<0.10 |
0.172 |
E |
|
WSR01 |
20200523 |
Cloudy |
Moderate |
Mid-Ebb |
Surface |
1 |
13:51 |
8.49 |
8.15 |
30.79 |
26.66 |
1 |
<2 |
<0.10 |
0.138 |
SE |
|
WSR02 |
20200523 |
Cloudy |
Moderate |
Mid-Ebb |
Bottom |
8 |
13:26 |
8.18 |
8.08 |
31.02 |
26.7 |
1.82 |
<2 |
<0.10 |
0.204 |
E |
|
WSR02 |
20200523 |
Cloudy |
Moderate |
Mid-Ebb |
Bottom |
8 |
13:26 |
8.13 |
8.06 |
31.63 |
26.83 |
1.61 |
<2 |
<0.10 |
0.172 |
SE |
|
WSR02 |
20200523 |
Cloudy |
Moderate |
Mid-Ebb |
Middle |
4.5 |
13:27 |
8.7 |
8.03 |
31.68 |
27 |
1.46 |
<2 |
<0.10 |
0.14 |
SE |
|
WSR02 |
20200523 |
Cloudy |
Moderate |
Mid-Ebb |
Middle |
4.5 |
13:27 |
7.81 |
8.07 |
31.38 |
26.56 |
1.36 |
<2 |
<0.10 |
0.146 |
E |
|
WSR02 |
20200523 |
Cloudy |
Moderate |
Mid-Ebb |
Surface |
1 |
13:28 |
7.77 |
8.07 |
31.48 |
26.61 |
1.37 |
<2 |
<0.10 |
0.196 |
SE |
|
WSR02 |
20200523 |
Cloudy |
Moderate |
Mid-Ebb |
Surface |
1 |
13:28 |
8.41 |
8.07 |
31.41 |
26.93 |
0.99 |
<2 |
<0.10 |
0.17 |
SE |
|
WSR03 |
20200523 |
Cloudy |
Moderate |
Mid-Ebb |
Bottom |
7.5 |
13:02 |
8.68 |
8.14 |
31.17 |
27.2 |
1.86 |
<2 |
<0.10 |
0.18 |
E |
|
WSR03 |
20200523 |
Cloudy |
Moderate |
Mid-Ebb |
Bottom |
7.5 |
13:02 |
8.47 |
8.19 |
31.16 |
26.66 |
1.57 |
<2 |
<0.10 |
0.145 |
E |
|
WSR03 |
20200523 |
Cloudy |
Moderate |
Mid-Ebb |
Middle |
4.25 |
13:03 |
8.69 |
8.21 |
31.63 |
26.54 |
1.38 |
3 |
<0.10 |
0.196 |
SE |
|
WSR03 |
20200523 |
Cloudy |
Moderate |
Mid-Ebb |
Middle |
4.25 |
13:03 |
8.1 |
8.1 |
30.79 |
26.76 |
1.36 |
3 |
<0.10 |
0.205 |
SE |
|
WSR03 |
20200523 |
Cloudy |
Moderate |
Mid-Ebb |
Surface |
1 |
13:04 |
9.3 |
8.15 |
31.46 |
26.85 |
1.33 |
4 |
<0.10 |
0.201 |
SE |
|
WSR03 |
20200523 |
Cloudy |
Moderate |
Mid-Ebb |
Surface |
1 |
13:04 |
8.87 |
8.2 |
30.99 |
26.89 |
1.26 |
4 |
<0.10 |
0.196 |
E |
|
WSR04 |
20200523 |
Cloudy |
Moderate |
Mid-Ebb |
Bottom |
5.9 |
12:45 |
9.08 |
8.27 |
31.45 |
26.86 |
1.78 |
4 |
<0.10 |
0.132 |
SE |
|
WSR04 |
20200523 |
Cloudy |
Moderate |
Mid-Ebb |
Bottom |
5.9 |
12:45 |
9.13 |
8.03 |
31.09 |
26.6 |
1.95 |
3 |
<0.10 |
0.218 |
E |
|
WSR04 |
20200523 |
Cloudy |
Moderate |
Mid-Ebb |
Middle |
3.45 |
12:46 |
8 |
8.01 |
31.37 |
26.73 |
1.43 |
3 |
<0.10 |
0.191 |
SE |
|
WSR04 |
20200523 |
Cloudy |
Moderate |
Mid-Ebb |
Middle |
3.45 |
12:46 |
9.13 |
8.07 |
31.67 |
26.67 |
1.17 |
2 |
<0.10 |
0.142 |
E |
|
WSR04 |
20200523 |
Cloudy |
Moderate |
Mid-Ebb |
Surface |
1 |
12:47 |
8.69 |
8.17 |
30.89 |
26.9 |
1.13 |
2 |
<0.10 |
0.176 |
E |
|
WSR04 |
20200523 |
Cloudy |
Moderate |
Mid-Ebb |
Surface |
1 |
12:47 |
7.6 |
8.14 |
30.77 |
26.62 |
1.14 |
3 |
<0.10 |
0.153 |
SE |
|
WSR16 |
20200523 |
Cloudy |
Moderate |
Mid-Ebb |
Bottom |
11.1 |
11:22 |
7.94 |
8.14 |
31.65 |
27.09 |
1.77 |
2 |
<0.10 |
0.196 |
E |
|
WSR16 |
20200523 |
Cloudy |
Moderate |
Mid-Ebb |
Bottom |
11.1 |
11:22 |
8.68 |
8.14 |
31.68 |
26.54 |
1.79 |
3 |
<0.10 |
0.177 |
E |
|
WSR16 |
20200523 |
Cloudy |
Moderate |
Mid-Ebb |
Middle |
6.05 |
11:23 |
7.79 |
8.16 |
31.08 |
27.04 |
1.2 |
2 |
<0.10 |
0.217 |
E |
|
WSR16 |
20200523 |
Cloudy |
Moderate |
Mid-Ebb |
Middle |
6.05 |
11:23 |
8.65 |
8.23 |
31.05 |
26.89 |
1.41 |
3 |
<0.10 |
0.167 |
E |
|
WSR16 |
20200523 |
Cloudy |
Moderate |
Mid-Ebb |
Surface |
1 |
11:24 |
8.98 |
8.26 |
30.9 |
26.64 |
1.42 |
<2 |
<0.10 |
0.163 |
SE |
|
WSR16 |
20200523 |
Cloudy |
Moderate |
Mid-Ebb |
Surface |
1 |
11:24 |
8.13 |
8.09 |
31.03 |
27.2 |
1.44 |
<2 |
<0.10 |
0.212 |
E |
|
WSR33 |
20200523 |
Cloudy |
Moderate |
Mid-Ebb |
Bottom |
6.2 |
12:27 |
7.57 |
8.31 |
31.46 |
27.23 |
1.73 |
4 |
<0.10 |
0.137 |
SE |
|
WSR33 |
20200523 |
Cloudy |
Moderate |
Mid-Ebb |
Bottom |
6.2 |
12:27 |
8.82 |
8.31 |
31.54 |
26.92 |
1.96 |
5 |
<0.10 |
0.181 |
E |
|
WSR33 |
20200523 |
Cloudy |
Moderate |
Mid-Ebb |
Middle |
3.6 |
12:28 |
9.42 |
8.28 |
30.98 |
26.87 |
1.35 |
3 |
<0.10 |
0.15 |
E |
|
WSR33 |
20200523 |
Cloudy |
Moderate |
Mid-Ebb |
Middle |
3.6 |
12:28 |
7.72 |
8.05 |
31.44 |
26.83 |
1.41 |
3 |
<0.10 |
0.158 |
E |
|
WSR33 |
20200523 |
Cloudy |
Moderate |
Mid-Ebb |
Surface |
1 |
12:29 |
8.4 |
8.03 |
31.54 |
26.64 |
1.29 |
2 |
<0.10 |
0.221 |
E |
|
WSR33 |
20200523 |
Cloudy |
Moderate |
Mid-Ebb |
Surface |
1 |
12:29 |
8.49 |
8.08 |
31.02 |
26.87 |
1.12 |
2 |
<0.10 |
0.171 |
E |
|
WSR36 |
20200523 |
Cloudy |
Moderate |
Mid-Ebb |
Bottom |
4.5 |
12:15 |
7.87 |
8.09 |
31.68 |
27.06 |
1.94 |
2 |
<0.10 |
0.151 |
E |
|
WSR36 |
20200523 |
Cloudy |
Moderate |
Mid-Ebb |
Bottom |
4.5 |
12:15 |
8.36 |
8.08 |
31.45 |
26.87 |
1.98 |
3 |
<0.10 |
0.143 |
E |
|
WSR36 |
20200523 |
Cloudy |
Moderate |
Mid-Ebb |
Surface |
1 |
12:16 |
8.12 |
8.05 |
31.5 |
26.88 |
1.06 |
5 |
<0.10 |
0.158 |
SE |
|
WSR36 |
20200523 |
Cloudy |
Moderate |
Mid-Ebb |
Surface |
1 |
12:16 |
8.63 |
8.08 |
31.12 |
26.62 |
1.28 |
4 |
<0.10 |
0.186 |
SE |
|
WSR37 |
20200523 |
Cloudy |
Moderate |
Mid-Ebb |
Bottom |
6.7 |
11:57 |
8.25 |
8.05 |
31.12 |
27.01 |
1.91 |
3 |
<0.10 |
0.216 |
SE |
|
WSR37 |
20200523 |
Cloudy |
Moderate |
Mid-Ebb |
Bottom |
6.7 |
11:57 |
8.15 |
8.12 |
31.55 |
26.55 |
1.97 |
4 |
<0.10 |
0.19 |
SE |
|
WSR37 |
20200523 |
Cloudy |
Moderate |
Mid-Ebb |
Middle |
3.85 |
11:58 |
9.03 |
8.2 |
31.31 |
27.07 |
1.16 |
3 |
<0.10 |
0.151 |
SE |
|
WSR37 |
20200523 |
Cloudy |
Moderate |
Mid-Ebb |
Middle |
3.85 |
11:58 |
8.88 |
8.04 |
30.84 |
26.59 |
1.32 |
3 |
<0.10 |
0.174 |
E |
|
WSR37 |
20200523 |
Cloudy |
Moderate |
Mid-Ebb |
Surface |
1 |
11:59 |
8.92 |
8.29 |
31.6 |
26.99 |
1.41 |
2 |
<0.10 |
0.204 |
E |
|
WSR37 |
20200523 |
Cloudy |
Moderate |
Mid-Ebb |
Surface |
1 |
11:59 |
8.7 |
8.06 |
30.95 |
26.73 |
1.02 |
2 |
<0.10 |
0.172 |
E |
|
CE |
20200523 |
Cloudy |
Moderate |
Mid-Flood |
Bottom |
12 |
16:21 |
8.43 |
8.02 |
31.79 |
26.85 |
1.98 |
4 |
<0.10 |
0.178 |
N |
|
CE |
20200523 |
Cloudy |
Moderate |
Mid-Flood |
Bottom |
12 |
16:21 |
8.21 |
8.18 |
31.16 |
26.74 |
1.51 |
4 |
<0.10 |
0.225 |
N |
|
CE |
20200523 |
Cloudy |
Moderate |
Mid-Flood |
Middle |
6.5 |
16:22 |
8.86 |
8.12 |
31.33 |
26.56 |
0.82 |
3 |
<0.10 |
0.18 |
NW |
|
CE |
20200523 |
Cloudy |
Moderate |
Mid-Flood |
Middle |
6.5 |
16:22 |
7.75 |
8.24 |
31.86 |
26.74 |
0.92 |
4 |
<0.10 |
0.168 |
NW |
|
CE |
20200523 |
Cloudy |
Moderate |
Mid-Flood |
Surface |
1 |
16:23 |
9.62 |
8.13 |
31.87 |
26.83 |
0.89 |
3 |
<0.10 |
0.192 |
NW |
|
CE |
20200523 |
Cloudy |
Moderate |
Mid-Flood |
Surface |
1 |
16:23 |
8.98 |
8.04 |
31.34 |
26.54 |
0.74 |
3 |
<0.10 |
0.173 |
NW |
|
CF |
20200523 |
Cloudy |
Moderate |
Mid-Flood |
Bottom |
11.6 |
16:20 |
8.54 |
8.11 |
31.09 |
26.88 |
1.66 |
2 |
<0.10 |
0.233 |
SW |
|
CF |
20200523 |
Cloudy |
Moderate |
Mid-Flood |
Bottom |
11.6 |
16:20 |
7.98 |
8.15 |
31.8 |
26.44 |
1.46 |
3 |
<0.10 |
0.168 |
W |
|
CF |
20200523 |
Cloudy |
Moderate |
Mid-Flood |
Middle |
6.3 |
16:21 |
8.95 |
8.12 |
31.35 |
26.41 |
1.16 |
2 |
<0.10 |
0.191 |
W |
|
CF |
20200523 |
Cloudy |
Moderate |
Mid-Flood |
Middle |
6.3 |
16:21 |
8.57 |
8.12 |
31.86 |
26.66 |
1.1 |
2 |
<0.10 |
0.209 |
W |
|
CF |
20200523 |
Cloudy |
Moderate |
Mid-Flood |
Surface |
1 |
16:22 |
7.59 |
8.2 |
31.76 |
26.38 |
0.98 |
2 |
<0.10 |
0.206 |
W |
|
CF |
20200523 |
Cloudy |
Moderate |
Mid-Flood |
Surface |
1 |
16:22 |
7.59 |
8.11 |
31.1 |
26.49 |
1.32 |
2 |
<0.10 |
0.205 |
W |
|
NF1 |
20200523 |
Cloudy |
Moderate |
Mid-Flood |
Bottom |
10.4 |
17:04 |
9.54 |
8.09 |
31.1 |
26.57 |
1.37 |
3 |
<0.10 |
0.193 |
SW |
|
NF1 |
20200523 |
Cloudy |
Moderate |
Mid-Flood |
Bottom |
10.4 |
17:04 |
8.15 |
8.03 |
31.45 |
26.7 |
1.86 |
2 |
<0.10 |
0.139 |
W |
|
NF1 |
20200523 |
Cloudy |
Moderate |
Mid-Flood |
Middle |
5.7 |
17:05 |
9.08 |
8.1 |
31.73 |
26.45 |
1.09 |
3 |
<0.10 |
0.147 |
W |
|
NF1 |
20200523 |
Cloudy |
Moderate |
Mid-Flood |
Middle |
5.7 |
17:05 |
8.93 |
8.02 |
31.14 |
26.29 |
1.27 |
4 |
<0.10 |
0.183 |
SW |
|
NF1 |
20200523 |
Cloudy |
Moderate |
Mid-Flood |
Surface |
1 |
17:06 |
9.26 |
8.1 |
31.63 |
26.87 |
0.99 |
5 |
<0.10 |
0.163 |
SW |
|
NF1 |
20200523 |
Cloudy |
Moderate |
Mid-Flood |
Surface |
1 |
17:06 |
8.96 |
8.23 |
31.36 |
26.67 |
1.23 |
4 |
<0.10 |
0.14 |
W |
|
NF2 |
20200523 |
Cloudy |
Moderate |
Mid-Flood |
Bottom |
8.1 |
18:40 |
8.27 |
8.13 |
31.67 |
26.95 |
1.51 |
3 |
<0.10 |
0.169 |
SW |
|
NF2 |
20200523 |
Cloudy |
Moderate |
Mid-Flood |
Bottom |
8.1 |
18:40 |
8.64 |
8.01 |
31.4 |
26.4 |
1.46 |
3 |
<0.10 |
0.152 |
W |
|
NF2 |
20200523 |
Cloudy |
Moderate |
Mid-Flood |
Middle |
4.55 |
18:41 |
9.4 |
8.18 |
31.27 |
26.83 |
1.34 |
3 |
<0.10 |
0.16 |
W |
|
NF2 |
20200523 |
Cloudy |
Moderate |
Mid-Flood |
Middle |
4.55 |
18:41 |
8.27 |
8.19 |
31.16 |
26.57 |
1.11 |
2 |
<0.10 |
0.148 |
W |
|
NF2 |
20200523 |
Cloudy |
Moderate |
Mid-Flood |
Surface |
1 |
18:42 |
8.73 |
8.18 |
31.49 |
26.75 |
1.28 |
3 |
<0.10 |
0.139 |
SW |
|
NF2 |
20200523 |
Cloudy |
Moderate |
Mid-Flood |
Surface |
1 |
18:42 |
7.84 |
8.19 |
31.78 |
26.85 |
1.35 |
2 |
<0.10 |
0.143 |
NW |
|
NF3 |
20200523 |
Cloudy |
Moderate |
Mid-Flood |
Bottom |
9.8 |
18:50 |
9.55 |
8.1 |
31.83 |
26.56 |
2 |
3 |
<0.10 |
0.188 |
W |
|
NF3 |
20200523 |
Cloudy |
Moderate |
Mid-Flood |
Bottom |
9.8 |
18:50 |
7.5 |
8.04 |
31.42 |
26.36 |
1.54 |
4 |
<0.10 |
0.128 |
W |
|
NF3 |
20200523 |
Cloudy |
Moderate |
Mid-Flood |
Middle |
5.4 |
18:51 |
9.1 |
8.02 |
31.71 |
26.82 |
1.03 |
2 |
<0.10 |
0.175 |
W |
|
NF3 |
20200523 |
Cloudy |
Moderate |
Mid-Flood |
Middle |
5.4 |
18:51 |
8.88 |
8.14 |
31.73 |
26.5 |
0.85 |
3 |
<0.10 |
0.168 |
W |
|
NF3 |
20200523 |
Cloudy |
Moderate |
Mid-Flood |
Surface |
1 |
18:52 |
7.52 |
8.05 |
31.54 |
26.23 |
1.05 |
<2 |
<0.10 |
0.165 |
SW |
|
NF3 |
20200523 |
Cloudy |
Moderate |
Mid-Flood |
Surface |
1 |
18:52 |
8.97 |
8.12 |
31.27 |
26.23 |
1.02 |
<2 |
<0.10 |
0.137 |
W |
|
WSR01 |
20200523 |
Cloudy |
Moderate |
Mid-Flood |
Bottom |
8.4 |
18:51 |
9.17 |
8.02 |
31.41 |
26.85 |
1.49 |
2 |
<0.10 |
0.128 |
SW |
|
WSR01 |
20200523 |
Cloudy |
Moderate |
Mid-Flood |
Bottom |
8.4 |
18:51 |
9.07 |
8.08 |
31.3 |
26.47 |
1.91 |
2 |
<0.10 |
0.129 |
SW |
|
WSR01 |
20200523 |
Cloudy |
Moderate |
Mid-Flood |
Middle |
4.7 |
18:52 |
8.77 |
8.04 |
31.43 |
26.23 |
1.24 |
2 |
<0.10 |
0.195 |
NW |
|
WSR01 |
20200523 |
Cloudy |
Moderate |
Mid-Flood |
Middle |
4.7 |
18:52 |
9.07 |
8.06 |
31.56 |
26.34 |
1.31 |
3 |
<0.10 |
0.184 |
NW |
|
WSR01 |
20200523 |
Cloudy |
Moderate |
Mid-Flood |
Surface |
1 |
18:53 |
8.96 |
8.21 |
31.8 |
26.48 |
1.16 |
3 |
<0.10 |
0.146 |
SW |
|
WSR01 |
20200523 |
Cloudy |
Moderate |
Mid-Flood |
Surface |
1 |
18:53 |
9.23 |
8.11 |
31.9 |
26.78 |
1.09 |
4 |
<0.10 |
0.145 |
W |
|
WSR02 |
20200523 |
Cloudy |
Moderate |
Mid-Flood |
Bottom |
8.6 |
18:27 |
9.39 |
8.1 |
31.9 |
26.86 |
1.84 |
<2 |
<0.10 |
0.129 |
W |
|
WSR02 |
20200523 |
Cloudy |
Moderate |
Mid-Flood |
Bottom |
8.6 |
18:27 |
7.69 |
8.21 |
31.77 |
26.64 |
1.58 |
<2 |
<0.10 |
0.158 |
W |
|
WSR02 |
20200523 |
Cloudy |
Moderate |
Mid-Flood |
Middle |
4.8 |
18:28 |
8.32 |
8.08 |
31.48 |
26.8 |
0.97 |
2 |
<0.10 |
0.174 |
W |
|
WSR02 |
20200523 |
Cloudy |
Moderate |
Mid-Flood |
Middle |
4.8 |
18:28 |
8.5 |
8.22 |
31.24 |
26.7 |
1.07 |
2 |
<0.10 |
0.159 |
NW |
|
WSR02 |
20200523 |
Cloudy |
Moderate |
Mid-Flood |
Surface |
1 |
18:29 |
9.15 |
8.05 |
31.52 |
26.24 |
1.29 |
3 |
<0.10 |
0.129 |
NW |
|
WSR02 |
20200523 |
Cloudy |
Moderate |
Mid-Flood |
Surface |
1 |
18:29 |
8.87 |
8.04 |
31.75 |
26.96 |
1.2 |
4 |
<0.10 |
0.166 |
SW |
|
WSR03 |
20200523 |
Cloudy |
Moderate |
Mid-Flood |
Bottom |
6.7 |
18:24 |
9.39 |
8.12 |
31.26 |
26.34 |
1.38 |
2 |
<0.10 |
0.19 |
NW |
|
WSR03 |
20200523 |
Cloudy |
Moderate |
Mid-Flood |
Bottom |
6.7 |
18:24 |
8.45 |
8.25 |
31.16 |
26.8 |
1.81 |
2 |
<0.10 |
0.137 |
W |
|
WSR03 |
20200523 |
Cloudy |
Moderate |
Mid-Flood |
Middle |
3.85 |
18:25 |
8.73 |
8.2 |
31.51 |
26.68 |
1.37 |
<2 |
<0.10 |
0.192 |
W |
|
WSR03 |
20200523 |
Cloudy |
Moderate |
Mid-Flood |
Middle |
3.85 |
18:25 |
8.85 |
8.1 |
31.13 |
26.63 |
0.86 |
<2 |
<0.10 |
0.178 |
NW |
|
WSR03 |
20200523 |
Cloudy |
Moderate |
Mid-Flood |
Surface |
1 |
18:26 |
8.47 |
8.06 |
31.37 |
26.28 |
1.01 |
<2 |
<0.10 |
0.131 |
SW |
|
WSR03 |
20200523 |
Cloudy |
Moderate |
Mid-Flood |
Surface |
1 |
18:26 |
9.48 |
8.25 |
31.18 |
26.44 |
0.92 |
<2 |
<0.10 |
0.168 |
NW |
|
WSR04 |
20200523 |
Cloudy |
Moderate |
Mid-Flood |
Bottom |
6 |
18:07 |
7.61 |
8.22 |
31.51 |
26.38 |
1.34 |
4 |
<0.10 |
0.13 |
SW |
|
WSR04 |
20200523 |
Cloudy |
Moderate |
Mid-Flood |
Bottom |
6 |
18:07 |
7.96 |
8.25 |
31.54 |
26.49 |
1.46 |
3 |
<0.10 |
0.145 |
NW |
|
WSR04 |
20200523 |
Cloudy |
Moderate |
Mid-Flood |
Middle |
3.5 |
18:08 |
9.64 |
8.1 |
31.88 |
26.48 |
1.17 |
2 |
<0.10 |
0.145 |
W |
|
WSR04 |
20200523 |
Cloudy |
Moderate |
Mid-Flood |
Middle |
3.5 |
18:08 |
9.19 |
8.01 |
31.56 |
26.98 |
1.27 |
3 |
<0.10 |
0.132 |
SW |
|
WSR04 |
20200523 |
Cloudy |
Moderate |
Mid-Flood |
Surface |
1 |
18:09 |
7.64 |
8.19 |
31.67 |
26.41 |
0.91 |
<2 |
<0.10 |
0.16 |
W |
|
WSR04 |
20200523 |
Cloudy |
Moderate |
Mid-Flood |
Surface |
1 |
18:09 |
9.41 |
8.24 |
31.09 |
26.47 |
0.79 |
<2 |
<0.10 |
0.154 |
W |
|
WSR16 |
20200523 |
Cloudy |
Moderate |
Mid-Flood |
Bottom |
11.6 |
16:42 |
7.78 |
8.02 |
31.39 |
26.66 |
1.86 |
2 |
<0.10 |
0.211 |
N |
|
WSR16 |
20200523 |
Cloudy |
Moderate |
Mid-Flood |
Bottom |
11.6 |
16:42 |
9.26 |
8.13 |
31.66 |
26.44 |
1.67 |
3 |
<0.10 |
0.206 |
NW |
|
WSR16 |
20200523 |
Cloudy |
Moderate |
Mid-Flood |
Middle |
6.3 |
16:43 |
9.2 |
8.06 |
31.73 |
26.94 |
1.16 |
2 |
<0.10 |
0.217 |
NW |
|
WSR16 |
20200523 |
Cloudy |
Moderate |
Mid-Flood |
Middle |
6.3 |
16:43 |
8.3 |
8.11 |
31.57 |
26.88 |
1.34 |
3 |
<0.10 |
0.208 |
N |
|
WSR16 |
20200523 |
Cloudy |
Moderate |
Mid-Flood |
Surface |
1 |
16:44 |
7.79 |
8.13 |
31.47 |
26.73 |
1.38 |
2 |
<0.10 |
0.17 |
NW |
|
WSR16 |
20200523 |
Cloudy |
Moderate |
Mid-Flood |
Surface |
1 |
16:44 |
8.79 |
8.18 |
31.75 |
26.34 |
1.01 |
3 |
<0.10 |
0.19 |
NW |
|
WSR33 |
20200523 |
Cloudy |
Moderate |
Mid-Flood |
Bottom |
6 |
17:49 |
9.24 |
8.18 |
31.39 |
26.8 |
1.58 |
<2 |
<0.10 |
0.189 |
SW |
|
WSR33 |
20200523 |
Cloudy |
Moderate |
Mid-Flood |
Bottom |
6 |
17:49 |
8.57 |
8.02 |
31.76 |
26.27 |
1.52 |
<2 |
<0.10 |
0.146 |
NW |
|
WSR33 |
20200523 |
Cloudy |
Moderate |
Mid-Flood |
Middle |
3.5 |
17:50 |
8.13 |
8.03 |
31.72 |
26.69 |
0.77 |
2 |
<0.10 |
0.145 |
SW |
|
WSR33 |
20200523 |
Cloudy |
Moderate |
Mid-Flood |
Middle |
3.5 |
17:50 |
9.02 |
8.09 |
31.36 |
26.94 |
1.26 |
2 |
<0.10 |
0.147 |
W |
|
WSR33 |
20200523 |
Cloudy |
Moderate |
Mid-Flood |
Surface |
1 |
17:51 |
8.42 |
8.2 |
31.22 |
26.83 |
0.91 |
3 |
<0.10 |
0.146 |
NW |
|
WSR33 |
20200523 |
Cloudy |
Moderate |
Mid-Flood |
Surface |
1 |
17:51 |
9.62 |
8.13 |
31.26 |
26.79 |
1.11 |
3 |
<0.10 |
0.177 |
W |
|
WSR36 |
20200523 |
Cloudy |
Moderate |
Mid-Flood |
Bottom |
4.1 |
17:36 |
8.5 |
8.19 |
31.9 |
26.59 |
1.45 |
5 |
<0.10 |
0.165 |
W |
|
WSR36 |
20200523 |
Cloudy |
Moderate |
Mid-Flood |
Bottom |
4.1 |
17:36 |
8.16 |
8.22 |
31.75 |
26.77 |
1.55 |
4 |
<0.10 |
0.178 |
SW |
|
WSR36 |
20200523 |
Cloudy |
Moderate |
Mid-Flood |
Surface |
1 |
17:37 |
7.83 |
8.1 |
31.38 |
26.35 |
0.92 |
3 |
<0.10 |
0.174 |
W |
|
WSR36 |
20200523 |
Cloudy |
Moderate |
Mid-Flood |
Surface |
1 |
17:37 |
9.16 |
8.03 |
31.14 |
26.33 |
1.32 |
3 |
<0.10 |
0.154 |
W |
|
WSR37 |
20200523 |
Cloudy |
Moderate |
Mid-Flood |
Bottom |
7.5 |
17:17 |
8.82 |
8.04 |
31.65 |
26.54 |
1.6 |
5 |
<0.10 |
0.183 |
W |
|
WSR37 |
20200523 |
Cloudy |
Moderate |
Mid-Flood |
Bottom |
7.5 |
17:17 |
9.25 |
8.02 |
31.26 |
26.36 |
1.37 |
5 |
<0.10 |
0.135 |
W |
|
WSR37 |
20200523 |
Cloudy |
Moderate |
Mid-Flood |
Middle |
4.25 |
17:18 |
8.52 |
8.18 |
31.41 |
26.33 |
1.35 |
4 |
<0.10 |
0.132 |
W |
|
WSR37 |
20200523 |
Cloudy |
Moderate |
Mid-Flood |
Middle |
4.25 |
17:18 |
7.89 |
8.04 |
31.78 |
26.44 |
1.06 |
5 |
<0.10 |
0.16 |
W |
|
WSR37 |
20200523 |
Cloudy |
Moderate |
Mid-Flood |
Surface |
1 |
17:19 |
8.36 |
8.1 |
31.3 |
26.53 |
0.71 |
3 |
<0.10 |
0.143 |
SW |
|
WSR37 |
20200523 |
Cloudy |
Moderate |
Mid-Flood |
Surface |
1 |
17:19 |
9.1 |
8.22 |
31.16 |
26.43 |
0.99 |
4 |
<0.10 |
0.131 |
W |
|
CE |
20200526 |
Cloudy |
Moderate |
Mid-Flood |
Bottom |
11.4 |
8:02 |
8.38 |
8.24 |
31.63 |
27.36 |
1.98 |
<2 |
<0.10 |
0.17 |
NW |
|
CE |
20200526 |
Cloudy |
Moderate |
Mid-Flood |
Bottom |
11.4 |
8:02 |
7.87 |
8.19 |
31.55 |
27.77 |
1.74 |
<2 |
<0.10 |
0.182 |
NW |
|
CE |
20200526 |
Cloudy |
Moderate |
Mid-Flood |
Middle |
6.2 |
8:03 |
7.34 |
8.11 |
32.28 |
27.32 |
1.37 |
2 |
<0.10 |
0.222 |
NW |
|
CE |
20200526 |
Cloudy |
Moderate |
Mid-Flood |
Middle |
6.2 |
8:03 |
8.48 |
8.21 |
31.58 |
27.53 |
1.36 |
2 |
<0.10 |
0.159 |
NW |
|
CE |
20200526 |
Cloudy |
Moderate |
Mid-Flood |
Surface |
1 |
8:04 |
8.57 |
8.04 |
31.22 |
27.44 |
1.32 |
<2 |
<0.10 |
0.206 |
NW |
|
CE |
20200526 |
Cloudy |
Moderate |
Mid-Flood |
Surface |
1 |
8:04 |
8.41 |
8.23 |
31.28 |
27.78 |
1.26 |
<2 |
<0.10 |
0.209 |
NW |
|
CF |
20200526 |
Cloudy |
Moderate |
Mid-Flood |
Bottom |
11.4 |
8:00 |
8.27 |
8.12 |
31.96 |
27.47 |
1.88 |
<2 |
<0.10 |
0.215 |
W |
|
CF |
20200526 |
Cloudy |
Moderate |
Mid-Flood |
Bottom |
11.4 |
8:00 |
8.06 |
8.1 |
31.39 |
27.79 |
2 |
<2 |
<0.10 |
0.214 |
W |
|
CF |
20200526 |
Cloudy |
Moderate |
Mid-Flood |
Middle |
6.2 |
8:01 |
8.82 |
8.14 |
31.95 |
27.63 |
1.38 |
<2 |
<0.10 |
0.237 |
W |
|
CF |
20200526 |
Cloudy |
Moderate |
Mid-Flood |
Middle |
6.2 |
8:01 |
8.18 |
8.12 |
31.18 |
27.55 |
1.19 |
<2 |
<0.10 |
0.245 |
SW |
|
CF |
20200526 |
Cloudy |
Moderate |
Mid-Flood |
Surface |
1 |
8:02 |
8.15 |
8.28 |
31.12 |
27.54 |
1.12 |
<2 |
<0.10 |
0.221 |
W |
|
CF |
20200526 |
Cloudy |
Moderate |
Mid-Flood |
Surface |
1 |
8:02 |
7.93 |
8.17 |
32.05 |
27.53 |
1.26 |
<2 |
<0.10 |
0.219 |
W |
|
NF1 |
20200526 |
Cloudy |
Moderate |
Mid-Flood |
Bottom |
10.7 |
8:43 |
8.45 |
8.1 |
31.95 |
27.66 |
1.94 |
<2 |
<0.10 |
0.181 |
W |
|
NF1 |
20200526 |
Cloudy |
Moderate |
Mid-Flood |
Bottom |
10.7 |
8:43 |
8.99 |
8.22 |
31.8 |
27.51 |
1.96 |
<2 |
<0.10 |
0.137 |
W |
|
NF1 |
20200526 |
Cloudy |
Moderate |
Mid-Flood |
Middle |
5.85 |
8:44 |
7.63 |
8.24 |
31.7 |
27.5 |
1.2 |
<2 |
<0.10 |
0.15 |
NW |
|
NF1 |
20200526 |
Cloudy |
Moderate |
Mid-Flood |
Middle |
5.85 |
8:44 |
7.35 |
8.26 |
32.2 |
27.36 |
1.3 |
<2 |
<0.10 |
0.184 |
W |
|
NF1 |
20200526 |
Cloudy |
Moderate |
Mid-Flood |
Surface |
1 |
8:45 |
8.36 |
8.06 |
32.26 |
27.71 |
1.22 |
<2 |
<0.10 |
0.179 |
NW |
|
NF1 |
20200526 |
Cloudy |
Moderate |
Mid-Flood |
Surface |
1 |
8:45 |
8.6 |
8.17 |
31.38 |
27.3 |
1.14 |
<2 |
<0.10 |
0.151 |
W |
|
NF2 |
20200526 |
Cloudy |
Moderate |
Mid-Flood |
Bottom |
9.4 |
10:18 |
8.43 |
8.15 |
32.28 |
27.4 |
1.79 |
<2 |
<0.10 |
0.128 |
W |
|
NF2 |
20200526 |
Cloudy |
Moderate |
Mid-Flood |
Bottom |
9.4 |
10:18 |
7.66 |
8.07 |
31.8 |
27.58 |
1.68 |
<2 |
<0.10 |
0.148 |
NW |
|
NF2 |
20200526 |
Cloudy |
Moderate |
Mid-Flood |
Middle |
5.2 |
10:19 |
8.05 |
8.1 |
31.63 |
27.57 |
1.3 |
<2 |
<0.10 |
0.166 |
W |
|
NF2 |
20200526 |
Cloudy |
Moderate |
Mid-Flood |
Middle |
5.2 |
10:19 |
7.34 |
8.17 |
31.28 |
27.79 |
1.24 |
<2 |
<0.10 |
0.161 |
W |
|
NF2 |
20200526 |
Cloudy |
Moderate |
Mid-Flood |
Surface |
1 |
10:20 |
8.16 |
8.11 |
31.67 |
27.46 |
1.44 |
<2 |
<0.10 |
0.148 |
W |
|
NF2 |
20200526 |
Cloudy |
Moderate |
Mid-Flood |
Surface |
1 |
10:20 |
7.7 |
8.17 |
31.92 |
27.46 |
1.31 |
<2 |
<0.10 |
0.169 |
W |
|
NF3 |
20200526 |
Cloudy |
Moderate |
Mid-Flood |
Bottom |
9.8 |
10:26 |
8.92 |
8.12 |
32.2 |
27.81 |
1.86 |
<2 |
<0.10 |
0.194 |
W |
|
NF3 |
20200526 |
Cloudy |
Moderate |
Mid-Flood |
Bottom |
9.8 |
10:26 |
7.53 |
8.03 |
31.54 |
27.38 |
1.83 |
<2 |
<0.10 |
0.179 |
SW |
|
NF3 |
20200526 |
Cloudy |
Moderate |
Mid-Flood |
Middle |
5.4 |
10:27 |
8.71 |
8.03 |
31.25 |
27.68 |
1.32 |
<2 |
<0.10 |
0.157 |
W |
|
NF3 |
20200526 |
Cloudy |
Moderate |
Mid-Flood |
Middle |
5.4 |
10:27 |
9.03 |
8.04 |
31.51 |
27.67 |
1.38 |
<2 |
<0.10 |
0.128 |
NW |
|
NF3 |
20200526 |
Cloudy |
Moderate |
Mid-Flood |
Surface |
1 |
10:28 |
8.34 |
8.09 |
31.33 |
27.54 |
1.25 |
<2 |
<0.10 |
0.162 |
W |
|
NF3 |
20200526 |
Cloudy |
Moderate |
Mid-Flood |
Surface |
1 |
10:28 |
7.47 |
8.05 |
32.21 |
27.31 |
1.12 |
<2 |
<0.10 |
0.13 |
W |
|
WSR01 |
20200526 |
Cloudy |
Moderate |
Mid-Flood |
Bottom |
8.5 |
10:53 |
8.52 |
8.12 |
32.07 |
27.46 |
2.02 |
<2 |
<0.10 |
0.165 |
W |
|
WSR01 |
20200526 |
Cloudy |
Moderate |
Mid-Flood |
Bottom |
8.5 |
10:53 |
7.38 |
8.25 |
31.73 |
27.33 |
1.83 |
<2 |
<0.10 |
0.143 |
W |
|
WSR01 |
20200526 |
Cloudy |
Moderate |
Mid-Flood |
Middle |
4.75 |
10:54 |
7.73 |
8.28 |
32.24 |
27.75 |
1.2 |
<2 |
<0.10 |
0.133 |
W |
|
WSR01 |
20200526 |
Cloudy |
Moderate |
Mid-Flood |
Middle |
4.75 |
10:54 |
8.81 |
8.07 |
32.1 |
27.63 |
1.17 |
<2 |
<0.10 |
0.178 |
NW |
|
WSR01 |
20200526 |
Cloudy |
Moderate |
Mid-Flood |
Surface |
1 |
10:55 |
8.47 |
8.15 |
32.07 |
27.61 |
1.17 |
<2 |
<0.10 |
0.139 |
W |
|
WSR01 |
20200526 |
Cloudy |
Moderate |
Mid-Flood |
Surface |
1 |
10:55 |
7.37 |
8.24 |
31.89 |
27.43 |
1.44 |
<2 |
<0.10 |
0.14 |
W |
|
WSR02 |
20200526 |
Cloudy |
Moderate |
Mid-Flood |
Bottom |
8.2 |
10:29 |
8.92 |
8.27 |
31.92 |
27.75 |
1.87 |
<2 |
<0.10 |
0.166 |
NW |
|
WSR02 |
20200526 |
Cloudy |
Moderate |
Mid-Flood |
Bottom |
8.2 |
10:29 |
8.79 |
8.28 |
31.45 |
27.38 |
1.89 |
<2 |
<0.10 |
0.157 |
NW |
|
WSR02 |
20200526 |
Cloudy |
Moderate |
Mid-Flood |
Middle |
4.6 |
10:30 |
7.37 |
8.15 |
31.18 |
27.65 |
1.17 |
<2 |
<0.10 |
0.196 |
NW |
|
WSR02 |
20200526 |
Cloudy |
Moderate |
Mid-Flood |
Middle |
4.6 |
10:30 |
9 |
8.19 |
32.19 |
27.65 |
1.34 |
<2 |
<0.10 |
0.192 |
W |
|
WSR02 |
20200526 |
Cloudy |
Moderate |
Mid-Flood |
Surface |
1 |
10:31 |
7.53 |
8.08 |
31.33 |
27.65 |
1.37 |
<2 |
<0.10 |
0.177 |
SW |
|
WSR02 |
20200526 |
Cloudy |
Moderate |
Mid-Flood |
Surface |
1 |
10:31 |
7.39 |
8.07 |
31.54 |
27.65 |
1.39 |
<2 |
<0.10 |
0.13 |
W |
|
WSR03 |
20200526 |
Cloudy |
Moderate |
Mid-Flood |
Bottom |
6.9 |
10:01 |
8.84 |
8.18 |
31.45 |
27.61 |
2.02 |
<2 |
<0.10 |
0.196 |
W |
|
WSR03 |
20200526 |
Cloudy |
Moderate |
Mid-Flood |
Bottom |
6.9 |
10:01 |
7.38 |
8.2 |
31.43 |
27.74 |
1.71 |
<2 |
<0.10 |
0.186 |
W |
|
WSR03 |
20200526 |
Cloudy |
Moderate |
Mid-Flood |
Middle |
3.95 |
10:02 |
7.7 |
8.18 |
31.48 |
27.69 |
1.42 |
<2 |
<0.10 |
0.195 |
NW |
|
WSR03 |
20200526 |
Cloudy |
Moderate |
Mid-Flood |
Middle |
3.95 |
10:02 |
8.16 |
8.18 |
31.58 |
27.57 |
1.28 |
<2 |
<0.10 |
0.181 |
NW |
|
WSR03 |
20200526 |
Cloudy |
Moderate |
Mid-Flood |
Surface |
1 |
10:03 |
8.22 |
8.23 |
32.24 |
27.59 |
1.17 |
2 |
<0.10 |
0.165 |
NW |
|
WSR03 |
20200526 |
Cloudy |
Moderate |
Mid-Flood |
Surface |
1 |
10:03 |
8.12 |
8.25 |
31.08 |
27.58 |
1.17 |
2 |
<0.10 |
0.147 |
W |
|
WSR04 |
20200526 |
Cloudy |
Moderate |
Mid-Flood |
Bottom |
6.2 |
9:43 |
8.54 |
8.27 |
31.29 |
27.49 |
1.9 |
<2 |
<0.10 |
0.166 |
W |
|
WSR04 |
20200526 |
Cloudy |
Moderate |
Mid-Flood |
Bottom |
6.2 |
9:43 |
8.4 |
8.06 |
31.41 |
27.32 |
1.89 |
<2 |
<0.10 |
0.137 |
SW |
|
WSR04 |
20200526 |
Cloudy |
Moderate |
Mid-Flood |
Middle |
3.6 |
9:44 |
8.85 |
8.13 |
31.28 |
27.53 |
1.21 |
<2 |
<0.10 |
0.154 |
W |
|
WSR04 |
20200526 |
Cloudy |
Moderate |
Mid-Flood |
Middle |
3.6 |
9:44 |
7.28 |
8.05 |
31.89 |
27.76 |
1.18 |
<2 |
<0.10 |
0.169 |
W |
|
WSR04 |
20200526 |
Cloudy |
Moderate |
Mid-Flood |
Surface |
1 |
9:45 |
7.73 |
8.09 |
31.62 |
27.63 |
1.42 |
<2 |
<0.10 |
0.156 |
W |
|
WSR04 |
20200526 |
Cloudy |
Moderate |
Mid-Flood |
Surface |
1 |
9:45 |
7.93 |
8.06 |
32.06 |
27.36 |
1.38 |
<2 |
<0.10 |
0.15 |
W |
|
WSR16 |
20200526 |
Cloudy |
Moderate |
Mid-Flood |
Bottom |
11 |
8:24 |
8.34 |
8.14 |
32.17 |
27.43 |
1.81 |
<2 |
<0.10 |
0.215 |
NW |
|
WSR16 |
20200526 |
Cloudy |
Moderate |
Mid-Flood |
Bottom |
11 |
8:24 |
8.98 |
8.14 |
31.74 |
27.7 |
1.77 |
<2 |
<0.10 |
0.196 |
NW |
|
WSR16 |
20200526 |
Cloudy |
Moderate |
Mid-Flood |
Middle |
6 |
8:25 |
7.83 |
8.18 |
31.18 |
27.35 |
1.38 |
<2 |
<0.10 |
0.173 |
NW |
|
WSR16 |
20200526 |
Cloudy |
Moderate |
Mid-Flood |
Middle |
6 |
8:25 |
8.07 |
8.03 |
31.34 |
27.52 |
1.39 |
<2 |
<0.10 |
0.177 |
NW |
|
WSR16 |
20200526 |
Cloudy |
Moderate |
Mid-Flood |
Surface |
1 |
8:26 |
8.07 |
8.05 |
31.69 |
27.71 |
1.14 |
<2 |
<0.10 |
0.188 |
NW |
|
WSR16 |
20200526 |
Cloudy |
Moderate |
Mid-Flood |
Surface |
1 |
8:26 |
8.63 |
8.18 |
32.11 |
27.64 |
1.25 |
<2 |
<0.10 |
0.166 |
NW |
|
WSR33 |
20200526 |
Cloudy |
Moderate |
Mid-Flood |
Bottom |
6.4 |
9:25 |
8.87 |
8.2 |
31.89 |
27.47 |
1.71 |
<2 |
<0.10 |
0.188 |
NW |
|
WSR33 |
20200526 |
Cloudy |
Moderate |
Mid-Flood |
Bottom |
6.4 |
9:25 |
7.83 |
8.06 |
31.72 |
27.65 |
1.7 |
<2 |
<0.10 |
0.153 |
W |
|
WSR33 |
20200526 |
Cloudy |
Moderate |
Mid-Flood |
Middle |
3.7 |
9:26 |
8.73 |
8.21 |
31.83 |
27.68 |
1.38 |
<2 |
<0.10 |
0.173 |
NW |
|
WSR33 |
20200526 |
Cloudy |
Moderate |
Mid-Flood |
Middle |
3.7 |
9:26 |
7.96 |
8.13 |
31.94 |
27.4 |
1.14 |
<2 |
<0.10 |
0.154 |
W |
|
WSR33 |
20200526 |
Cloudy |
Moderate |
Mid-Flood |
Surface |
1 |
9:27 |
9.01 |
8.15 |
31.88 |
27.8 |
1.39 |
<2 |
<0.10 |
0.154 |
W |
|
WSR33 |
20200526 |
Cloudy |
Moderate |
Mid-Flood |
Surface |
1 |
9:27 |
8.89 |
8.04 |
31.11 |
27.39 |
1.29 |
<2 |
<0.10 |
0.162 |
W |
|
WSR36 |
20200526 |
Cloudy |
Moderate |
Mid-Flood |
Bottom |
3.9 |
9:13 |
8.89 |
8.11 |
31.28 |
27.36 |
1.78 |
<2 |
<0.10 |
0.183 |
SW |
|
WSR36 |
20200526 |
Cloudy |
Moderate |
Mid-Flood |
Bottom |
3.9 |
9:13 |
7.54 |
8.24 |
32.25 |
27.81 |
1.86 |
<2 |
<0.10 |
0.142 |
SW |
|
WSR36 |
20200526 |
Cloudy |
Moderate |
Mid-Flood |
Surface |
1 |
9:14 |
8.41 |
8.23 |
31.75 |
27.36 |
1.21 |
<2 |
<0.10 |
0.158 |
W |
|
WSR36 |
20200526 |
Cloudy |
Moderate |
Mid-Flood |
Surface |
1 |
9:14 |
9.03 |
8.15 |
31.36 |
27.72 |
1.16 |
<2 |
<0.10 |
0.171 |
W |
|
WSR37 |
20200526 |
Cloudy |
Moderate |
Mid-Flood |
Bottom |
7.7 |
8:57 |
8.88 |
8.17 |
32.09 |
27.51 |
1.82 |
<2 |
<0.10 |
0.166 |
W |
|
WSR37 |
20200526 |
Cloudy |
Moderate |
Mid-Flood |
Bottom |
7.7 |
8:57 |
8.76 |
8.28 |
31.89 |
27.39 |
1.78 |
<2 |
<0.10 |
0.192 |
W |
|
WSR37 |
20200526 |
Cloudy |
Moderate |
Mid-Flood |
Middle |
4.35 |
8:58 |
8.4 |
8.07 |
32.26 |
27.56 |
1.34 |
<2 |
<0.10 |
0.175 |
W |
|
WSR37 |
20200526 |
Cloudy |
Moderate |
Mid-Flood |
Middle |
4.35 |
8:58 |
7.83 |
8.15 |
31.34 |
27.68 |
1.39 |
<2 |
<0.10 |
0.158 |
W |
|
WSR37 |
20200526 |
Cloudy |
Moderate |
Mid-Flood |
Surface |
1 |
8:59 |
8.73 |
8.06 |
32 |
27.51 |
1.43 |
<2 |
<0.10 |
0.161 |
W |
|
WSR37 |
20200526 |
Cloudy |
Moderate |
Mid-Flood |
Surface |
1 |
8:59 |
8.62 |
8.15 |
32.24 |
27.66 |
1.21 |
<2 |
<0.10 |
0.136 |
W |
|
CE |
20200526 |
Cloudy |
Moderate |
Mid-Ebb |
Bottom |
11.2 |
12:59 |
7.85 |
8.09 |
31.94 |
27.15 |
1.66 |
<2 |
<0.10 |
0.447 |
SE |
|
CE |
20200526 |
Cloudy |
Moderate |
Mid-Ebb |
Bottom |
11.2 |
12:59 |
8.85 |
8.31 |
31.94 |
27.3 |
2.25 |
<2 |
<0.10 |
0.368 |
SE |
|
CE |
20200526 |
Cloudy |
Moderate |
Mid-Ebb |
Middle |
6.1 |
13:00 |
7.48 |
8.21 |
31.66 |
27.63 |
1.82 |
<2 |
<0.10 |
0.349 |
E |
|
CE |
20200526 |
Cloudy |
Moderate |
Mid-Ebb |
Middle |
6.1 |
13:00 |
7.89 |
8.05 |
31.61 |
27.22 |
1.67 |
<2 |
<0.10 |
0.429 |
SE |
|
CE |
20200526 |
Cloudy |
Moderate |
Mid-Ebb |
Surface |
1 |
13:01 |
8.2 |
8.09 |
32.13 |
27.2 |
1.46 |
<2 |
<0.10 |
0.313 |
E |
|
CE |
20200526 |
Cloudy |
Moderate |
Mid-Ebb |
Surface |
1 |
13:01 |
7.87 |
8.07 |
31.7 |
27.59 |
1.28 |
<2 |
<0.10 |
0.451 |
E |
|
CF |
20200526 |
Cloudy |
Moderate |
Mid-Ebb |
Bottom |
11 |
13:03 |
8.18 |
8.03 |
31.83 |
27.45 |
1.67 |
<2 |
<0.10 |
0.209 |
SE |
|
CF |
20200526 |
Cloudy |
Moderate |
Mid-Ebb |
Bottom |
11 |
13:03 |
8.06 |
8.1 |
31.8 |
27.21 |
2.3 |
<2 |
<0.10 |
0.15 |
E |
|
CF |
20200526 |
Cloudy |
Moderate |
Mid-Ebb |
Middle |
6 |
13:04 |
7.84 |
8.31 |
32.1 |
27.11 |
1.72 |
<2 |
<0.10 |
0.214 |
E |
|
CF |
20200526 |
Cloudy |
Moderate |
Mid-Ebb |
Middle |
6 |
13:04 |
8.39 |
8.26 |
31.64 |
27.11 |
1.47 |
<2 |
<0.10 |
0.141 |
E |
|
CF |
20200526 |
Cloudy |
Moderate |
Mid-Ebb |
Surface |
1 |
13:05 |
7.95 |
8.02 |
31.81 |
27.57 |
1.59 |
<2 |
<0.10 |
0.214 |
SE |
|
CF |
20200526 |
Cloudy |
Moderate |
Mid-Ebb |
Surface |
1 |
13:05 |
7.79 |
8.08 |
31.92 |
27.26 |
1.18 |
<2 |
<0.10 |
0.166 |
SE |
|
NF1 |
20200526 |
Cloudy |
Moderate |
Mid-Ebb |
Bottom |
10.7 |
13:39 |
7.82 |
8.28 |
32.2 |
27.65 |
2.07 |
<2 |
<0.10 |
0.178 |
E |
|
NF1 |
20200526 |
Cloudy |
Moderate |
Mid-Ebb |
Bottom |
10.7 |
13:39 |
7.97 |
8.27 |
32.12 |
27.35 |
1.79 |
<2 |
<0.10 |
0.211 |
E |
|
NF1 |
20200526 |
Cloudy |
Moderate |
Mid-Ebb |
Middle |
5.85 |
13:40 |
8.26 |
8.14 |
31.79 |
27.49 |
1.39 |
<2 |
<0.10 |
0.158 |
SE |
|
NF1 |
20200526 |
Cloudy |
Moderate |
Mid-Ebb |
Middle |
5.85 |
13:40 |
7.39 |
8.23 |
32.23 |
27.32 |
1.37 |
<2 |
<0.10 |
0.148 |
E |
|
NF1 |
20200526 |
Cloudy |
Moderate |
Mid-Ebb |
Surface |
1 |
13:41 |
8.01 |
8.25 |
32.13 |
27.24 |
1.33 |
<2 |
<0.10 |
0.132 |
E |
|
NF1 |
20200526 |
Cloudy |
Moderate |
Mid-Ebb |
Surface |
1 |
13:41 |
8.04 |
8.2 |
31.7 |
27.35 |
1.46 |
<2 |
<0.10 |
0.167 |
E |
|
NF2 |
20200526 |
Cloudy |
Moderate |
Mid-Ebb |
Bottom |
7.8 |
15:14 |
8.19 |
8.09 |
31.89 |
27.61 |
2.1 |
<2 |
<0.10 |
0.189 |
SE |
|
NF2 |
20200526 |
Cloudy |
Moderate |
Mid-Ebb |
Bottom |
7.8 |
15:14 |
7.64 |
8.2 |
32.15 |
27.47 |
1.93 |
<2 |
<0.10 |
0.201 |
E |
|
NF2 |
20200526 |
Cloudy |
Moderate |
Mid-Ebb |
Middle |
4.4 |
15:15 |
7.64 |
8.15 |
31.99 |
27.28 |
1.38 |
<2 |
<0.10 |
0.174 |
SE |
|
NF2 |
20200526 |
Cloudy |
Moderate |
Mid-Ebb |
Middle |
4.4 |
15:15 |
7.43 |
8.04 |
32.05 |
27.49 |
1.7 |
<2 |
<0.10 |
0.216 |
SE |
|
NF2 |
20200526 |
Cloudy |
Moderate |
Mid-Ebb |
Surface |
1 |
15:16 |
7.62 |
8.14 |
31.84 |
27.17 |
1.44 |
<2 |
<0.10 |
0.187 |
E |
|
NF2 |
20200526 |
Cloudy |
Moderate |
Mid-Ebb |
Surface |
1 |
15:16 |
7.87 |
8.17 |
32.24 |
27.24 |
1.53 |
<2 |
<0.10 |
0.187 |
E |
|
NF3 |
20200526 |
Cloudy |
Moderate |
Mid-Ebb |
Bottom |
9.2 |
15:23 |
7.49 |
8.06 |
31.77 |
27.26 |
2.02 |
<2 |
<0.10 |
0.202 |
SE |
|
NF3 |
20200526 |
Cloudy |
Moderate |
Mid-Ebb |
Bottom |
9.2 |
15:23 |
7.66 |
8.25 |
32.11 |
27.43 |
1.68 |
<2 |
<0.10 |
0.192 |
E |
|
NF3 |
20200526 |
Cloudy |
Moderate |
Mid-Ebb |
Middle |
5.1 |
15:24 |
8.05 |
8.04 |
31.61 |
27.15 |
1.5 |
<2 |
<0.10 |
0.2 |
E |
|
NF3 |
20200526 |
Cloudy |
Moderate |
Mid-Ebb |
Middle |
5.1 |
15:24 |
8.05 |
8.01 |
31.79 |
27.49 |
1.41 |
<2 |
<0.10 |
0.178 |
E |
|
NF3 |
20200526 |
Cloudy |
Moderate |
Mid-Ebb |
Surface |
1 |
15:25 |
7.45 |
8.2 |
31.92 |
27.57 |
1.7 |
<2 |
<0.10 |
0.218 |
E |
|
NF3 |
20200526 |
Cloudy |
Moderate |
Mid-Ebb |
Surface |
1 |
15:25 |
7.69 |
8.2 |
32.19 |
27.36 |
1.77 |
<2 |
<0.10 |
0.2 |
SE |
|
WSR01 |
20200526 |
Cloudy |
Moderate |
Mid-Ebb |
Bottom |
7.1 |
15:54 |
8.25 |
8.25 |
32.2 |
27.43 |
1.88 |
2 |
<0.10 |
0.214 |
SE |
|
WSR01 |
20200526 |
Cloudy |
Moderate |
Mid-Ebb |
Bottom |
7.1 |
15:54 |
8.26 |
8.21 |
32.02 |
27.62 |
1.83 |
3 |
<0.10 |
0.177 |
E |
|
WSR01 |
20200526 |
Cloudy |
Moderate |
Mid-Ebb |
Middle |
4.05 |
15:55 |
8.39 |
8.02 |
32.09 |
27.24 |
1.66 |
<2 |
<0.10 |
0.175 |
SE |
|
WSR01 |
20200526 |
Cloudy |
Moderate |
Mid-Ebb |
Middle |
4.05 |
15:55 |
8.1 |
8.2 |
31.91 |
27.66 |
1.32 |
<2 |
<0.10 |
0.173 |
SE |
|
WSR01 |
20200526 |
Cloudy |
Moderate |
Mid-Ebb |
Surface |
1 |
15:56 |
7.94 |
8.22 |
32.02 |
27.6 |
1.45 |
<2 |
<0.10 |
0.156 |
SE |
|
WSR01 |
20200526 |
Cloudy |
Moderate |
Mid-Ebb |
Surface |
1 |
15:56 |
8.42 |
8.1 |
31.91 |
27.33 |
1.55 |
<2 |
<0.10 |
0.206 |
SE |
|
WSR02 |
20200526 |
Cloudy |
Moderate |
Mid-Ebb |
Bottom |
7.1 |
15:31 |
8.83 |
8.31 |
31.88 |
27.63 |
1.75 |
<2 |
<0.10 |
0.132 |
SE |
|
WSR02 |
20200526 |
Cloudy |
Moderate |
Mid-Ebb |
Bottom |
7.1 |
15:31 |
8.56 |
8.07 |
32.01 |
27.6 |
1.86 |
<2 |
<0.10 |
0.216 |
SE |
|
WSR02 |
20200526 |
Cloudy |
Moderate |
Mid-Ebb |
Middle |
4.05 |
15:32 |
7.58 |
8.28 |
31.68 |
27.68 |
1.79 |
<2 |
<0.10 |
0.198 |
E |
|
WSR02 |
20200526 |
Cloudy |
Moderate |
Mid-Ebb |
Middle |
4.05 |
15:32 |
8.8 |
8.11 |
31.66 |
27.66 |
1.44 |
<2 |
<0.10 |
0.175 |
SE |
|
WSR02 |
20200526 |
Cloudy |
Moderate |
Mid-Ebb |
Surface |
1 |
15:33 |
8.02 |
8.18 |
32.12 |
27.48 |
1.69 |
<2 |
<0.10 |
0.146 |
SE |
|
WSR02 |
20200526 |
Cloudy |
Moderate |
Mid-Ebb |
Surface |
1 |
15:33 |
8.06 |
8.21 |
31.82 |
27.33 |
1.37 |
<2 |
<0.10 |
0.216 |
E |
|
WSR03 |
20200526 |
Cloudy |
Moderate |
Mid-Ebb |
Bottom |
6.2 |
14:57 |
8.83 |
8.22 |
31.77 |
27.5 |
1.79 |
3 |
<0.10 |
0.131 |
E |
|
WSR03 |
20200526 |
Cloudy |
Moderate |
Mid-Ebb |
Bottom |
6.2 |
14:57 |
8.45 |
8.21 |
31.79 |
27.59 |
2.1 |
2 |
<0.10 |
0.197 |
E |
|
WSR03 |
20200526 |
Cloudy |
Moderate |
Mid-Ebb |
Middle |
3.6 |
14:58 |
8.55 |
8.21 |
31.55 |
27.49 |
1.49 |
<2 |
<0.10 |
0.205 |
SE |
|
WSR03 |
20200526 |
Cloudy |
Moderate |
Mid-Ebb |
Middle |
3.6 |
14:58 |
7.69 |
8.1 |
31.97 |
27.17 |
1.68 |
<2 |
<0.10 |
0.202 |
SE |
|
WSR03 |
20200526 |
Cloudy |
Moderate |
Mid-Ebb |
Surface |
1 |
14:59 |
8.69 |
8.05 |
31.79 |
27.19 |
1.2 |
<2 |
<0.10 |
0.187 |
SE |
|
WSR03 |
20200526 |
Cloudy |
Moderate |
Mid-Ebb |
Surface |
1 |
14:59 |
8.28 |
8.13 |
31.55 |
27.18 |
1.41 |
<2 |
<0.10 |
0.148 |
E |
|
WSR04 |
20200526 |
Cloudy |
Moderate |
Mid-Ebb |
Bottom |
6.2 |
14:40 |
7.43 |
8.14 |
31.98 |
27.6 |
1.8 |
<2 |
<0.10 |
0.179 |
SE |
|
WSR04 |
20200526 |
Cloudy |
Moderate |
Mid-Ebb |
Bottom |
6.2 |
14:40 |
8.36 |
8.11 |
31.76 |
27.61 |
2.26 |
<2 |
<0.10 |
0.17 |
SE |
|
WSR04 |
20200526 |
Cloudy |
Moderate |
Mid-Ebb |
Middle |
3.6 |
14:41 |
7.67 |
8.23 |
32.01 |
27.22 |
1.85 |
<2 |
<0.10 |
0.155 |
E |
|
WSR04 |
20200526 |
Cloudy |
Moderate |
Mid-Ebb |
Middle |
3.6 |
14:41 |
7.55 |
8.01 |
31.59 |
27.18 |
1.87 |
<2 |
<0.10 |
0.175 |
SE |
|
WSR04 |
20200526 |
Cloudy |
Moderate |
Mid-Ebb |
Surface |
1 |
14:42 |
8.59 |
8.06 |
32.07 |
27.29 |
1.35 |
<2 |
<0.10 |
0.171 |
SE |
|
WSR04 |
20200526 |
Cloudy |
Moderate |
Mid-Ebb |
Surface |
1 |
14:42 |
7.88 |
8.15 |
31.96 |
27.52 |
1.44 |
<2 |
<0.10 |
0.209 |
E |
|
WSR16 |
20200526 |
Cloudy |
Moderate |
Mid-Ebb |
Bottom |
11 |
13:19 |
8.15 |
8.06 |
31.73 |
27.6 |
2.25 |
2 |
<0.10 |
0.149 |
SE |
|
WSR16 |
20200526 |
Cloudy |
Moderate |
Mid-Ebb |
Bottom |
11 |
13:19 |
7.58 |
8.14 |
31.56 |
27.61 |
2.17 |
3 |
<0.10 |
0.211 |
E |
|
WSR16 |
20200526 |
Cloudy |
Moderate |
Mid-Ebb |
Middle |
6 |
13:20 |
8.72 |
8.1 |
31.92 |
27.14 |
1.78 |
<2 |
<0.10 |
0.142 |
SE |
|
WSR16 |
20200526 |
Cloudy |
Moderate |
Mid-Ebb |
Middle |
6 |
13:20 |
7.77 |
8.23 |
31.8 |
27.28 |
1.62 |
<2 |
<0.10 |
0.218 |
SE |
|
WSR16 |
20200526 |
Cloudy |
Moderate |
Mid-Ebb |
Surface |
1 |
13:21 |
8.41 |
8.18 |
31.56 |
27.15 |
1.19 |
<2 |
<0.10 |
0.159 |
SE |
|
WSR16 |
20200526 |
Cloudy |
Moderate |
Mid-Ebb |
Surface |
1 |
13:21 |
8.61 |
8.3 |
32.11 |
27.23 |
1.37 |
<2 |
<0.10 |
0.214 |
E |
|
WSR33 |
20200526 |
Cloudy |
Moderate |
Mid-Ebb |
Bottom |
6.5 |
14:24 |
8.06 |
8.09 |
31.82 |
27.11 |
1.9 |
<2 |
<0.10 |
0.139 |
SE |
|
WSR33 |
20200526 |
Cloudy |
Moderate |
Mid-Ebb |
Bottom |
6.5 |
14:24 |
8.6 |
8.25 |
31.56 |
27.69 |
1.69 |
<2 |
<0.10 |
0.144 |
SE |
|
WSR33 |
20200526 |
Cloudy |
Moderate |
Mid-Ebb |
Middle |
3.75 |
14:25 |
7.49 |
8.07 |
31.77 |
27.66 |
1.51 |
2 |
<0.10 |
0.197 |
SE |
|
WSR33 |
20200526 |
Cloudy |
Moderate |
Mid-Ebb |
Middle |
3.75 |
14:25 |
8.76 |
8.02 |
31.73 |
27.63 |
1.31 |
3 |
<0.10 |
0.207 |
E |
|
WSR33 |
20200526 |
Cloudy |
Moderate |
Mid-Ebb |
Surface |
1 |
14:26 |
7.98 |
8.18 |
31.83 |
27.46 |
1.57 |
2 |
<0.10 |
0.181 |
E |
|
WSR33 |
20200526 |
Cloudy |
Moderate |
Mid-Ebb |
Surface |
1 |
14:26 |
7.5 |
8.2 |
31.67 |
27.48 |
1.76 |
3 |
<0.10 |
0.171 |
SE |
|
WSR36 |
20200526 |
Cloudy |
Moderate |
Mid-Ebb |
Bottom |
3.9 |
14:11 |
7.87 |
8.15 |
31.68 |
27.61 |
1.93 |
<2 |
<0.10 |
0.139 |
SE |
|
WSR36 |
20200526 |
Cloudy |
Moderate |
Mid-Ebb |
Bottom |
3.9 |
14:11 |
7.59 |
8.22 |
32.17 |
27.28 |
1.67 |
<2 |
<0.10 |
0.197 |
SE |
|
WSR36 |
20200526 |
Cloudy |
Moderate |
Mid-Ebb |
Surface |
1 |
14:12 |
7.73 |
8.19 |
32.15 |
27.59 |
1.61 |
<2 |
<0.10 |
0.197 |
E |
|
WSR36 |
20200526 |
Cloudy |
Moderate |
Mid-Ebb |
Surface |
1 |
14:12 |
8.49 |
8.28 |
31.81 |
27.55 |
1.19 |
<2 |
<0.10 |
0.167 |
E |
|
WSR37 |
20200526 |
Cloudy |
Moderate |
Mid-Ebb |
Bottom |
6.5 |
13:53 |
8.1 |
8.05 |
32.04 |
27.49 |
2.08 |
<2 |
<0.10 |
0.142 |
E |
|
WSR37 |
20200526 |
Cloudy |
Moderate |
Mid-Ebb |
Bottom |
6.5 |
13:53 |
7.62 |
8.05 |
31.72 |
27.19 |
1.84 |
<2 |
<0.10 |
0.221 |
E |
|
WSR37 |
20200526 |
Cloudy |
Moderate |
Mid-Ebb |
Middle |
3.75 |
13:54 |
8.06 |
8.19 |
31.83 |
27.39 |
1.87 |
<2 |
<0.10 |
0.18 |
SE |
|
WSR37 |
20200526 |
Cloudy |
Moderate |
Mid-Ebb |
Middle |
3.75 |
13:54 |
8 |
8.19 |
32.19 |
27.29 |
1.71 |
<2 |
<0.10 |
0.186 |
E |
|
WSR37 |
20200526 |
Cloudy |
Moderate |
Mid-Ebb |
Surface |
1 |
13:55 |
7.72 |
8.3 |
31.63 |
27.69 |
1.13 |
<2 |
<0.10 |
0.13 |
E |
|
WSR37 |
20200526 |
Cloudy |
Moderate |
Mid-Ebb |
Surface |
1 |
13:55 |
8.09 |
8.1 |
31.79 |
27.12 |
1.63 |
<2 |
<0.10 |
0.151 |
SE |
|
CE |
20200528 |
Cloudy |
Moderate |
Mid-Flood |
Bottom |
12.1 |
8:50 |
9.49 |
7.99 |
32.36 |
26.27 |
0.59 |
2 |
<0.10 |
0.16 |
NW |
|
CE |
20200528 |
Cloudy |
Moderate |
Mid-Flood |
Bottom |
12.1 |
8:50 |
9.46 |
8.07 |
32.5 |
26.22 |
0.77 |
3 |
<0.10 |
0.183 |
N |
|
CE |
20200528 |
Cloudy |
Moderate |
Mid-Flood |
Middle |
6.55 |
8:51 |
9.33 |
8.09 |
32.24 |
26.29 |
0.87 |
3 |
<0.10 |
0.195 |
NW |
|
CE |
20200528 |
Cloudy |
Moderate |
Mid-Flood |
Middle |
6.55 |
8:51 |
8.93 |
8.08 |
32.23 |
26.31 |
0.51 |
2 |
<0.10 |
0.175 |
NW |
|
CE |
20200528 |
Cloudy |
Moderate |
Mid-Flood |
Surface |
1 |
8:52 |
8.39 |
8.06 |
31.81 |
26.47 |
0.97 |
2 |
<0.10 |
0.185 |
NW |
|
CE |
20200528 |
Cloudy |
Moderate |
Mid-Flood |
Surface |
1 |
8:52 |
8.38 |
8.05 |
31.8 |
26.48 |
0.8 |
2 |
<0.10 |
0.213 |
N |
|
CF |
20200528 |
Cloudy |
Moderate |
Mid-Flood |
Bottom |
11.4 |
8:00 |
9.88 |
8.07 |
32.19 |
26.4 |
1.54 |
<2 |
<0.10 |
0.242 |
W |
|
CF |
20200528 |
Cloudy |
Moderate |
Mid-Flood |
Bottom |
11.4 |
8:00 |
8.57 |
8.09 |
31.93 |
26.78 |
1.28 |
<2 |
<0.10 |
0.198 |
SW |
|
CF |
20200528 |
Cloudy |
Moderate |
Mid-Flood |
Middle |
6.2 |
8:01 |
8.67 |
8.19 |
32.1 |
26.63 |
0.81 |
3 |
<0.10 |
0.216 |
W |
|
CF |
20200528 |
Cloudy |
Moderate |
Mid-Flood |
Middle |
6.2 |
8:01 |
9.71 |
8.21 |
32.04 |
26.37 |
0.71 |
2 |
<0.10 |
0.202 |
W |
|
CF |
20200528 |
Cloudy |
Moderate |
Mid-Flood |
Surface |
1 |
8:02 |
9.46 |
8.09 |
32.18 |
26.46 |
1.23 |
2 |
<0.10 |
0.185 |
W |
|
CF |
20200528 |
Cloudy |
Moderate |
Mid-Flood |
Surface |
1 |
8:02 |
9.44 |
8.1 |
32.63 |
26.55 |
1.21 |
3 |
<0.10 |
0.208 |
W |
|
NF1 |
20200528 |
Cloudy |
Moderate |
Mid-Flood |
Bottom |
10.7 |
9:25 |
10.02 |
8.05 |
32.35 |
26.68 |
0.47 |
3 |
<0.10 |
0.17 |
W |
|
NF1 |
20200528 |
Cloudy |
Moderate |
Mid-Flood |
Bottom |
10.7 |
9:25 |
9.86 |
8.08 |
32.45 |
26.63 |
0.66 |
3 |
<0.10 |
0.18 |
SW |
|
NF1 |
20200528 |
Cloudy |
Moderate |
Mid-Flood |
Middle |
5.85 |
9:26 |
10.1 |
8.14 |
32.17 |
26.78 |
0.85 |
2 |
<0.10 |
0.16 |
W |
|
NF1 |
20200528 |
Cloudy |
Moderate |
Mid-Flood |
Middle |
5.85 |
9:26 |
9.95 |
8.13 |
32.15 |
26.78 |
0.67 |
3 |
<0.10 |
0.134 |
W |
|
NF1 |
20200528 |
Cloudy |
Moderate |
Mid-Flood |
Surface |
1 |
9:27 |
8.95 |
8.13 |
32.02 |
26.91 |
0.93 |
2 |
<0.10 |
0.181 |
W |
|
NF1 |
20200528 |
Cloudy |
Moderate |
Mid-Flood |
Surface |
1 |
9:27 |
8.67 |
8.12 |
32.04 |
26.92 |
0.75 |
2 |
<0.10 |
0.129 |
W |
|
NF2 |
20200528 |
Cloudy |
Moderate |
Mid-Flood |
Bottom |
7.8 |
11:11 |
10.56 |
8.07 |
33.06 |
26.65 |
1.66 |
5 |
<0.10 |
0.18 |
W |
|
NF2 |
20200528 |
Cloudy |
Moderate |
Mid-Flood |
Bottom |
7.8 |
11:11 |
10.33 |
8.07 |
33.09 |
26.61 |
1.5 |
6 |
<0.10 |
0.146 |
NW |
|
NF2 |
20200528 |
Cloudy |
Moderate |
Mid-Flood |
Middle |
4.4 |
11:12 |
9.87 |
8.15 |
33.05 |
26.76 |
1.12 |
3 |
<0.10 |
0.185 |
NW |
|
NF2 |
20200528 |
Cloudy |
Moderate |
Mid-Flood |
Middle |
4.4 |
11:12 |
9.68 |
8.13 |
33.09 |
26.75 |
1.32 |
4 |
<0.10 |
0.192 |
W |
|
NF2 |
20200528 |
Cloudy |
Moderate |
Mid-Flood |
Surface |
1 |
11:13 |
8.94 |
8.11 |
32.87 |
26.91 |
0.63 |
3 |
<0.10 |
0.155 |
W |
|
NF2 |
20200528 |
Cloudy |
Moderate |
Mid-Flood |
Surface |
1 |
11:13 |
8.79 |
8.09 |
32.87 |
26.92 |
0.96 |
4 |
<0.10 |
0.152 |
NW |
|
NF3 |
20200528 |
Cloudy |
Moderate |
Mid-Flood |
Bottom |
7.3 |
11:24 |
12.63 |
8.07 |
32.26 |
26.65 |
0.54 |
4 |
<0.10 |
0.128 |
W |
|
NF3 |
20200528 |
Cloudy |
Moderate |
Mid-Flood |
Bottom |
7.3 |
11:24 |
11.34 |
8.07 |
32.24 |
26.64 |
0.58 |
3 |
<0.10 |
0.145 |
SW |
|
NF3 |
20200528 |
Cloudy |
Moderate |
Mid-Flood |
Middle |
4.15 |
11:25 |
10.14 |
8.08 |
32.42 |
26.76 |
0.64 |
<2 |
<0.10 |
0.191 |
SW |
|
NF3 |
20200528 |
Cloudy |
Moderate |
Mid-Flood |
Middle |
4.15 |
11:25 |
9.97 |
8.08 |
32.42 |
26.74 |
0.64 |
3 |
<0.10 |
0.195 |
SW |
|
NF3 |
20200528 |
Cloudy |
Moderate |
Mid-Flood |
Surface |
1 |
11:26 |
8.85 |
8.11 |
32.09 |
26.93 |
0.96 |
<2 |
<0.10 |
0.137 |
SW |
|
NF3 |
20200528 |
Cloudy |
Moderate |
Mid-Flood |
Surface |
1 |
11:26 |
8.88 |
8.07 |
32.11 |
26.95 |
1.05 |
<2 |
<0.10 |
0.174 |
W |
|
WSR01 |
20200528 |
Cloudy |
Moderate |
Mid-Flood |
Bottom |
8.4 |
10:47 |
9.66 |
8.04 |
32.22 |
26.64 |
1.59 |
4 |
<0.10 |
0.194 |
W |
|
WSR01 |
20200528 |
Cloudy |
Moderate |
Mid-Flood |
Bottom |
8.4 |
10:47 |
8.99 |
8.19 |
32.05 |
26.55 |
1.19 |
4 |
<0.10 |
0.129 |
W |
|
WSR01 |
20200528 |
Cloudy |
Moderate |
Mid-Flood |
Middle |
4.7 |
10:48 |
9.71 |
8.23 |
32.41 |
26.69 |
0.89 |
3 |
<0.10 |
0.151 |
SW |
|
WSR01 |
20200528 |
Cloudy |
Moderate |
Mid-Flood |
Middle |
4.7 |
10:48 |
8.46 |
8.05 |
32.52 |
26.54 |
1.05 |
2 |
<0.10 |
0.141 |
W |
|
WSR01 |
20200528 |
Cloudy |
Moderate |
Mid-Flood |
Surface |
1 |
10:49 |
8.94 |
8.2 |
32.38 |
26.61 |
1.09 |
2 |
<0.10 |
0.147 |
SW |
|
WSR01 |
20200528 |
Cloudy |
Moderate |
Mid-Flood |
Surface |
1 |
10:49 |
8.64 |
8.08 |
32.04 |
26.64 |
1.18 |
2 |
<0.10 |
0.188 |
NW |
|
WSR02 |
20200528 |
Cloudy |
Moderate |
Mid-Flood |
Bottom |
8.1 |
10:24 |
8.49 |
8.04 |
32.27 |
26.6 |
1.36 |
<2 |
<0.10 |
0.191 |
W |
|
WSR02 |
20200528 |
Cloudy |
Moderate |
Mid-Flood |
Bottom |
8.1 |
10:24 |
9.08 |
8.01 |
32.38 |
26.68 |
1.47 |
<2 |
<0.10 |
0.167 |
NW |
|
WSR02 |
20200528 |
Cloudy |
Moderate |
Mid-Flood |
Middle |
4.55 |
10:25 |
9.06 |
8.19 |
32.57 |
26.58 |
1.03 |
<2 |
<0.10 |
0.129 |
W |
|
WSR02 |
20200528 |
Cloudy |
Moderate |
Mid-Flood |
Middle |
4.55 |
10:25 |
9.19 |
8.23 |
32.33 |
26.31 |
0.81 |
<2 |
<0.10 |
0.157 |
W |
|
WSR02 |
20200528 |
Cloudy |
Moderate |
Mid-Flood |
Surface |
1 |
10:26 |
9.45 |
8.02 |
31.91 |
26.45 |
0.79 |
3 |
<0.10 |
0.177 |
W |
|
WSR02 |
20200528 |
Cloudy |
Moderate |
Mid-Flood |
Surface |
1 |
10:26 |
9.92 |
8.01 |
32.26 |
26.75 |
0.99 |
2 |
<0.10 |
0.159 |
W |
|
WSR03 |
20200528 |
Cloudy |
Moderate |
Mid-Flood |
Bottom |
8.4 |
10:40 |
9.87 |
8.06 |
32.8 |
26.34 |
4.14 |
<2 |
<0.10 |
0.184 |
W |
|
WSR03 |
20200528 |
Cloudy |
Moderate |
Mid-Flood |
Bottom |
8.4 |
10:40 |
9.56 |
8.06 |
32.78 |
26.38 |
4.12 |
<2 |
<0.10 |
0.173 |
W |
|
WSR03 |
20200528 |
Cloudy |
Moderate |
Mid-Flood |
Middle |
4.7 |
10:41 |
9.83 |
8.15 |
32.35 |
26.7 |
1.01 |
<2 |
<0.10 |
0.14 |
W |
|
WSR03 |
20200528 |
Cloudy |
Moderate |
Mid-Flood |
Middle |
4.7 |
10:41 |
9.73 |
8.12 |
32.39 |
26.69 |
1 |
<2 |
<0.10 |
0.148 |
W |
|
WSR03 |
20200528 |
Cloudy |
Moderate |
Mid-Flood |
Surface |
1 |
10:42 |
9.13 |
8.13 |
29.9 |
26.74 |
0.31 |
<2 |
<0.10 |
0.16 |
SW |
|
WSR03 |
20200528 |
Cloudy |
Moderate |
Mid-Flood |
Surface |
1 |
10:42 |
8.29 |
8.07 |
32.55 |
26.74 |
0.35 |
<2 |
<0.10 |
0.181 |
W |
|
WSR04 |
20200528 |
Cloudy |
Moderate |
Mid-Flood |
Bottom |
7.2 |
10:25 |
10.18 |
8.08 |
32.69 |
26.77 |
0.99 |
<2 |
<0.10 |
0.186 |
W |
|
WSR04 |
20200528 |
Cloudy |
Moderate |
Mid-Flood |
Bottom |
7.2 |
10:25 |
10.01 |
8.25 |
32.5 |
26.66 |
1.03 |
<2 |
<0.10 |
0.146 |
W |
|
WSR04 |
20200528 |
Cloudy |
Moderate |
Mid-Flood |
Middle |
4.1 |
10:26 |
10.29 |
8.33 |
32.21 |
26.41 |
0.79 |
<2 |
<0.10 |
0.172 |
W |
|
WSR04 |
20200528 |
Cloudy |
Moderate |
Mid-Flood |
Middle |
4.1 |
10:26 |
10.33 |
8.19 |
32.17 |
26.37 |
0.87 |
<2 |
<0.10 |
0.139 |
W |
|
WSR04 |
20200528 |
Cloudy |
Moderate |
Mid-Flood |
Surface |
1 |
10:27 |
10.49 |
8.38 |
32.41 |
26.5 |
0.78 |
<2 |
<0.10 |
0.157 |
SW |
|
WSR04 |
20200528 |
Cloudy |
Moderate |
Mid-Flood |
Surface |
1 |
10:27 |
10.55 |
8.28 |
32.68 |
26.54 |
0.57 |
<2 |
<0.10 |
0.186 |
NW |
|
WSR16 |
20200528 |
Cloudy |
Moderate |
Mid-Flood |
Bottom |
11.7 |
11:14 |
9.76 |
8.02 |
32.25 |
26.42 |
1.18 |
<2 |
<0.10 |
0.176 |
N |
|
WSR16 |
20200528 |
Cloudy |
Moderate |
Mid-Flood |
Bottom |
11.7 |
11:14 |
9.66 |
8.18 |
31.94 |
26.55 |
1.18 |
<2 |
<0.10 |
0.21 |
NW |
|
WSR16 |
20200528 |
Cloudy |
Moderate |
Mid-Flood |
Middle |
6.35 |
11:15 |
9.17 |
8.01 |
32.61 |
26.41 |
0.94 |
<2 |
<0.10 |
0.192 |
NW |
|
WSR16 |
20200528 |
Cloudy |
Moderate |
Mid-Flood |
Middle |
6.35 |
11:15 |
9.85 |
8.19 |
32.42 |
26.62 |
0.69 |
<2 |
<0.10 |
0.184 |
NW |
|
WSR16 |
20200528 |
Cloudy |
Moderate |
Mid-Flood |
Surface |
1 |
11:16 |
9.66 |
8.22 |
32.29 |
26.45 |
0.87 |
<2 |
<0.10 |
0.173 |
NW |
|
WSR16 |
20200528 |
Cloudy |
Moderate |
Mid-Flood |
Surface |
1 |
11:16 |
8.79 |
8.15 |
32.54 |
26.72 |
0.79 |
<2 |
<0.10 |
0.177 |
N |
|
WSR33 |
20200528 |
Cloudy |
Moderate |
Mid-Flood |
Bottom |
7.4 |
10:10 |
10.76 |
8.09 |
32.04 |
26.98 |
0.85 |
3 |
<0.10 |
0.142 |
SW |
|
WSR33 |
20200528 |
Cloudy |
Moderate |
Mid-Flood |
Bottom |
7.4 |
10:10 |
10.49 |
8.09 |
32.01 |
26.96 |
0.94 |
4 |
<0.10 |
0.149 |
W |
|
WSR33 |
20200528 |
Cloudy |
Moderate |
Mid-Flood |
Middle |
4.2 |
10:11 |
10.89 |
8.14 |
32.71 |
26.95 |
0.89 |
2 |
<0.10 |
0.175 |
NW |
|
WSR33 |
20200528 |
Cloudy |
Moderate |
Mid-Flood |
Middle |
4.2 |
10:11 |
10.08 |
8.14 |
32.61 |
26.94 |
0.52 |
3 |
<0.10 |
0.151 |
W |
|
WSR33 |
20200528 |
Cloudy |
Moderate |
Mid-Flood |
Surface |
1 |
10:12 |
9.45 |
8.18 |
32.59 |
26.93 |
0.65 |
2 |
<0.10 |
0.178 |
W |
|
WSR33 |
20200528 |
Cloudy |
Moderate |
Mid-Flood |
Surface |
1 |
10:12 |
9.35 |
8.18 |
32.44 |
26.96 |
0.88 |
2 |
<0.10 |
0.186 |
W |
|
WSR36 |
20200528 |
Cloudy |
Moderate |
Mid-Flood |
Bottom |
3.4 |
9:56 |
10.03 |
8.11 |
32.51 |
26.91 |
1.46 |
4 |
<0.10 |
0.193 |
W |
|
WSR36 |
20200528 |
Cloudy |
Moderate |
Mid-Flood |
Bottom |
3.4 |
9:56 |
9.79 |
8.11 |
32.51 |
26.91 |
1.21 |
4 |
<0.10 |
0.159 |
NW |
|
WSR36 |
20200528 |
Cloudy |
Moderate |
Mid-Flood |
Surface |
1 |
9:57 |
9.53 |
8.13 |
32.52 |
26.97 |
0.46 |
2 |
<0.10 |
0.158 |
W |
|
WSR36 |
20200528 |
Cloudy |
Moderate |
Mid-Flood |
Surface |
1 |
9:57 |
9.16 |
8.13 |
32.53 |
26.97 |
0.52 |
3 |
<0.10 |
0.139 |
SW |
|
WSR37 |
20200528 |
Cloudy |
Moderate |
Mid-Flood |
Bottom |
5.8 |
9:40 |
9.99 |
8.12 |
32.39 |
26.95 |
0.63 |
<2 |
<0.10 |
0.186 |
W |
|
WSR37 |
20200528 |
Cloudy |
Moderate |
Mid-Flood |
Bottom |
5.8 |
9:40 |
9.93 |
8.13 |
32.39 |
26.94 |
0.45 |
<2 |
<0.10 |
0.181 |
NW |
|
WSR37 |
20200528 |
Cloudy |
Moderate |
Mid-Flood |
Middle |
3.4 |
9:41 |
9.71 |
8.17 |
32.47 |
26.95 |
0.21 |
<2 |
<0.10 |
0.192 |
SW |
|
WSR37 |
20200528 |
Cloudy |
Moderate |
Mid-Flood |
Middle |
3.4 |
9:41 |
9.32 |
8.17 |
32.47 |
26.95 |
0.2 |
<2 |
<0.10 |
0.14 |
W |
|
WSR37 |
20200528 |
Cloudy |
Moderate |
Mid-Flood |
Surface |
1 |
9:42 |
8.65 |
8.13 |
32.26 |
26.98 |
0.56 |
2 |
<0.10 |
0.176 |
SW |
|
WSR37 |
20200528 |
Cloudy |
Moderate |
Mid-Flood |
Surface |
1 |
9:42 |
8.68 |
8.13 |
32.27 |
26.99 |
0.36 |
2 |
<0.10 |
0.147 |
W |
|
CE |
20200528 |
Cloudy |
Moderate |
Mid-Ebb |
Bottom |
11.4 |
14:10 |
9.63 |
8.31 |
31.89 |
26.8 |
1.39 |
2 |
<0.10 |
0.443 |
E |
|
CE |
20200528 |
Cloudy |
Moderate |
Mid-Ebb |
Bottom |
11.4 |
14:10 |
8.97 |
8.15 |
31.74 |
26.84 |
1.42 |
3 |
<0.10 |
0.311 |
SE |
|
CE |
20200528 |
Cloudy |
Moderate |
Mid-Ebb |
Middle |
6.2 |
14:11 |
8.58 |
8.14 |
31.94 |
26.75 |
1.38 |
2 |
<0.10 |
0.369 |
SE |
|
CE |
20200528 |
Cloudy |
Moderate |
Mid-Ebb |
Middle |
6.2 |
14:11 |
9.08 |
8.2 |
31.9 |
26.95 |
1.1 |
2 |
<0.10 |
0.322 |
SE |
|
CE |
20200528 |
Cloudy |
Moderate |
Mid-Ebb |
Surface |
1 |
14:12 |
9.13 |
8.17 |
32.49 |
26.76 |
0.87 |
<2 |
<0.10 |
0.37 |
E |
|
CE |
20200528 |
Cloudy |
Moderate |
Mid-Ebb |
Surface |
1 |
14:12 |
8.92 |
8.11 |
32.22 |
26.9 |
1.33 |
<2 |
<0.10 |
0.275 |
SE |
|
CF |
20200528 |
Cloudy |
Moderate |
Mid-Ebb |
Bottom |
11.7 |
14:13 |
9.26 |
8.21 |
32.61 |
26.55 |
1.46 |
2 |
<0.10 |
0.199 |
E |
|
CF |
20200528 |
Cloudy |
Moderate |
Mid-Ebb |
Bottom |
11.7 |
14:13 |
8.89 |
8.09 |
31.79 |
26.97 |
1.38 |
2 |
<0.10 |
0.208 |
E |
|
CF |
20200528 |
Cloudy |
Moderate |
Mid-Ebb |
Middle |
6.35 |
14:14 |
9.17 |
8.25 |
32.15 |
26.95 |
1.02 |
<2 |
<0.10 |
0.17 |
SE |
|
CF |
20200528 |
Cloudy |
Moderate |
Mid-Ebb |
Middle |
6.35 |
14:14 |
9.4 |
8.29 |
31.82 |
26.66 |
1.2 |
<2 |
<0.10 |
0.207 |
E |
|
CF |
20200528 |
Cloudy |
Moderate |
Mid-Ebb |
Surface |
1 |
14:15 |
9.64 |
8.11 |
32.56 |
26.86 |
0.81 |
2 |
<0.10 |
0.154 |
SE |
|
CF |
20200528 |
Cloudy |
Moderate |
Mid-Ebb |
Surface |
1 |
14:15 |
9.05 |
8.12 |
32.65 |
26.47 |
1.1 |
3 |
<0.10 |
0.158 |
E |
|
NF1 |
20200528 |
Cloudy |
Moderate |
Mid-Ebb |
Bottom |
10.1 |
14:51 |
8.82 |
8.05 |
32.48 |
26.51 |
1.32 |
4 |
<0.10 |
0.189 |
SE |
|
NF1 |
20200528 |
Cloudy |
Moderate |
Mid-Ebb |
Bottom |
10.1 |
14:51 |
9.26 |
8.22 |
31.88 |
26.8 |
1.6 |
3 |
<0.10 |
0.165 |
SE |
|
NF1 |
20200528 |
Cloudy |
Moderate |
Mid-Ebb |
Middle |
5.55 |
14:52 |
9.38 |
8.14 |
32.16 |
26.72 |
1.38 |
2 |
<0.10 |
0.169 |
SE |
|
NF1 |
20200528 |
Cloudy |
Moderate |
Mid-Ebb |
Middle |
5.55 |
14:52 |
9.03 |
8.19 |
31.97 |
26.82 |
0.88 |
3 |
<0.10 |
0.169 |
E |
|
NF1 |
20200528 |
Cloudy |
Moderate |
Mid-Ebb |
Surface |
1 |
14:53 |
9.38 |
8.16 |
31.8 |
26.72 |
0.85 |
<2 |
<0.10 |
0.205 |
E |
|
NF1 |
20200528 |
Cloudy |
Moderate |
Mid-Ebb |
Surface |
1 |
14:53 |
8.96 |
8.23 |
32.5 |
26.63 |
0.8 |
<2 |
<0.10 |
0.194 |
E |
|
NF2 |
20200528 |
Cloudy |
Moderate |
Mid-Ebb |
Bottom |
7.6 |
16:25 |
9.16 |
8.18 |
31.72 |
27.08 |
1.26 |
<2 |
<0.10 |
0.158 |
SE |
|
NF2 |
20200528 |
Cloudy |
Moderate |
Mid-Ebb |
Bottom |
7.6 |
16:25 |
9.45 |
8.24 |
32.14 |
26.56 |
1.19 |
<2 |
<0.10 |
0.169 |
SE |
|
NF2 |
20200528 |
Cloudy |
Moderate |
Mid-Ebb |
Middle |
4.3 |
16:26 |
9.29 |
8.11 |
32.08 |
26.89 |
1.17 |
<2 |
<0.10 |
0.176 |
SE |
|
NF2 |
20200528 |
Cloudy |
Moderate |
Mid-Ebb |
Middle |
4.3 |
16:26 |
9.4 |
8.18 |
31.8 |
26.83 |
1.32 |
<2 |
<0.10 |
0.149 |
E |
|
NF2 |
20200528 |
Cloudy |
Moderate |
Mid-Ebb |
Surface |
1 |
16:27 |
9.11 |
8.14 |
32.36 |
26.4 |
0.83 |
<2 |
<0.10 |
0.147 |
SE |
|
NF2 |
20200528 |
Cloudy |
Moderate |
Mid-Ebb |
Surface |
1 |
16:27 |
9.75 |
8.15 |
32.19 |
26.52 |
1.12 |
<2 |
<0.10 |
0.188 |
E |
|
NF3 |
20200528 |
Cloudy |
Moderate |
Mid-Ebb |
Bottom |
9.4 |
16:33 |
9.21 |
8.05 |
32.64 |
26.73 |
1.34 |
3 |
<0.10 |
0.217 |
E |
|
NF3 |
20200528 |
Cloudy |
Moderate |
Mid-Ebb |
Bottom |
9.4 |
16:33 |
9.08 |
8.11 |
31.93 |
26.62 |
1.36 |
2 |
<0.10 |
0.205 |
E |
|
NF3 |
20200528 |
Cloudy |
Moderate |
Mid-Ebb |
Middle |
5.2 |
16:34 |
8.99 |
8.29 |
32.11 |
27.07 |
1.3 |
3 |
<0.10 |
0.156 |
SE |
|
NF3 |
20200528 |
Cloudy |
Moderate |
Mid-Ebb |
Middle |
5.2 |
16:34 |
8.94 |
8.27 |
32.59 |
26.95 |
1.44 |
3 |
<0.10 |
0.147 |
SE |
|
NF3 |
20200528 |
Cloudy |
Moderate |
Mid-Ebb |
Surface |
1 |
16:35 |
9.57 |
8.18 |
31.96 |
26.67 |
1.24 |
4 |
<0.10 |
0.167 |
E |
|
NF3 |
20200528 |
Cloudy |
Moderate |
Mid-Ebb |
Surface |
1 |
16:35 |
9.63 |
8.08 |
32.43 |
26.81 |
0.89 |
3 |
<0.10 |
0.205 |
SE |
|
WSR01 |
20200528 |
Cloudy |
Moderate |
Mid-Ebb |
Bottom |
7.4 |
17:07 |
9.7 |
8.16 |
31.85 |
26.79 |
1.4 |
<2 |
<0.10 |
0.195 |
SE |
|
WSR01 |
20200528 |
Cloudy |
Moderate |
Mid-Ebb |
Bottom |
7.4 |
17:07 |
9.67 |
8.05 |
32.07 |
26.73 |
1.2 |
<2 |
<0.10 |
0.166 |
E |
|
WSR01 |
20200528 |
Cloudy |
Moderate |
Mid-Ebb |
Middle |
4.2 |
17:08 |
8.9 |
8.3 |
32.11 |
26.96 |
1.28 |
<2 |
<0.10 |
0.178 |
E |
|
WSR01 |
20200528 |
Cloudy |
Moderate |
Mid-Ebb |
Middle |
4.2 |
17:08 |
9.2 |
8.07 |
31.77 |
26.87 |
1.25 |
<2 |
<0.10 |
0.133 |
E |
|
WSR01 |
20200528 |
Cloudy |
Moderate |
Mid-Ebb |
Surface |
1 |
17:09 |
9.41 |
8.19 |
32.48 |
26.49 |
1.28 |
<2 |
<0.10 |
0.21 |
E |
|
WSR01 |
20200528 |
Cloudy |
Moderate |
Mid-Ebb |
Surface |
1 |
17:09 |
8.71 |
8.23 |
32.11 |
26.61 |
1 |
<2 |
<0.10 |
0.198 |
SE |
|
WSR02 |
20200528 |
Cloudy |
Moderate |
Mid-Ebb |
Bottom |
7.5 |
16:43 |
9.41 |
8.11 |
31.82 |
26.44 |
1.6 |
3 |
<0.10 |
0.163 |
E |
|
WSR02 |
20200528 |
Cloudy |
Moderate |
Mid-Ebb |
Bottom |
7.5 |
16:43 |
8.96 |
8.09 |
31.79 |
26.89 |
1.2 |
4 |
<0.10 |
0.166 |
SE |
|
WSR02 |
20200528 |
Cloudy |
Moderate |
Mid-Ebb |
Middle |
4.25 |
16:44 |
9.08 |
8.14 |
32.21 |
26.94 |
1.31 |
4 |
<0.10 |
0.133 |
SE |
|
WSR02 |
20200528 |
Cloudy |
Moderate |
Mid-Ebb |
Middle |
4.25 |
16:44 |
9.09 |
8.05 |
32.63 |
26.86 |
1.07 |
3 |
<0.10 |
0.159 |
E |
|
WSR02 |
20200528 |
Cloudy |
Moderate |
Mid-Ebb |
Surface |
1 |
16:45 |
9.71 |
8.29 |
32.03 |
26.71 |
0.8 |
5 |
<0.10 |
0.15 |
E |
|
WSR02 |
20200528 |
Cloudy |
Moderate |
Mid-Ebb |
Surface |
1 |
16:45 |
8.81 |
8.11 |
32.27 |
26.66 |
0.93 |
4 |
<0.10 |
0.187 |
SE |
|
WSR03 |
20200528 |
Cloudy |
Moderate |
Mid-Ebb |
Bottom |
6.1 |
16:08 |
8.95 |
8.25 |
32.42 |
26.41 |
1.51 |
2 |
<0.10 |
0.179 |
SE |
|
WSR03 |
20200528 |
Cloudy |
Moderate |
Mid-Ebb |
Bottom |
6.1 |
16:08 |
9 |
8.28 |
32.57 |
26.91 |
1.59 |
2 |
<0.10 |
0.134 |
SE |
|
WSR03 |
20200528 |
Cloudy |
Moderate |
Mid-Ebb |
Middle |
3.55 |
16:09 |
8.73 |
8.06 |
31.69 |
26.47 |
1.4 |
3 |
<0.10 |
0.146 |
E |
|
WSR03 |
20200528 |
Cloudy |
Moderate |
Mid-Ebb |
Middle |
3.55 |
16:09 |
9.62 |
8.07 |
31.88 |
26.8 |
1.15 |
3 |
<0.10 |
0.199 |
SE |
|
WSR03 |
20200528 |
Cloudy |
Moderate |
Mid-Ebb |
Surface |
1 |
16:10 |
9.54 |
8.08 |
32.68 |
26.73 |
1.08 |
2 |
<0.10 |
0.16 |
E |
|
WSR03 |
20200528 |
Cloudy |
Moderate |
Mid-Ebb |
Surface |
1 |
16:10 |
9.04 |
8.19 |
31.9 |
26.65 |
1.29 |
3 |
<0.10 |
0.2 |
E |
|
WSR04 |
20200528 |
Cloudy |
Moderate |
Mid-Ebb |
Bottom |
5.8 |
15:50 |
9.78 |
8.19 |
31.72 |
26.99 |
1.46 |
3 |
<0.10 |
0.181 |
E |
|
WSR04 |
20200528 |
Cloudy |
Moderate |
Mid-Ebb |
Bottom |
5.8 |
15:50 |
9.09 |
8.31 |
32.66 |
26.54 |
1.66 |
2 |
<0.10 |
0.163 |
SE |
|
WSR04 |
20200528 |
Cloudy |
Moderate |
Mid-Ebb |
Middle |
3.4 |
15:51 |
9.63 |
8.3 |
31.78 |
26.88 |
1.17 |
<2 |
<0.10 |
0.194 |
E |
|
WSR04 |
20200528 |
Cloudy |
Moderate |
Mid-Ebb |
Middle |
3.4 |
15:51 |
8.84 |
8.1 |
32.43 |
26.63 |
1.25 |
<2 |
<0.10 |
0.219 |
SE |
|
WSR04 |
20200528 |
Cloudy |
Moderate |
Mid-Ebb |
Surface |
1 |
15:52 |
9.7 |
8.07 |
32.18 |
26.59 |
1.07 |
<2 |
<0.10 |
0.182 |
E |
|
WSR04 |
20200528 |
Cloudy |
Moderate |
Mid-Ebb |
Surface |
1 |
15:52 |
8.74 |
8.29 |
31.83 |
26.48 |
0.78 |
<2 |
<0.10 |
0.16 |
SE |
|
WSR16 |
20200528 |
Cloudy |
Moderate |
Mid-Ebb |
Bottom |
10.5 |
14:32 |
8.79 |
8.1 |
32.64 |
26.97 |
1.18 |
<2 |
<0.10 |
0.155 |
E |
|
WSR16 |
20200528 |
Cloudy |
Moderate |
Mid-Ebb |
Bottom |
10.5 |
14:32 |
9.71 |
8.08 |
32.35 |
26.82 |
1.35 |
<2 |
<0.10 |
0.209 |
E |
|
WSR16 |
20200528 |
Cloudy |
Moderate |
Mid-Ebb |
Middle |
5.75 |
14:33 |
9.13 |
8.25 |
31.91 |
26.49 |
0.97 |
2 |
<0.10 |
0.226 |
SE |
|
WSR16 |
20200528 |
Cloudy |
Moderate |
Mid-Ebb |
Middle |
5.75 |
14:33 |
8.92 |
8.17 |
31.74 |
26.94 |
0.96 |
3 |
<0.10 |
0.215 |
SE |
|
WSR16 |
20200528 |
Cloudy |
Moderate |
Mid-Ebb |
Surface |
1 |
14:34 |
8.6 |
8.07 |
31.81 |
26.54 |
1.28 |
2 |
<0.10 |
0.208 |
E |
|
WSR16 |
20200528 |
Cloudy |
Moderate |
Mid-Ebb |
Surface |
1 |
14:34 |
9.65 |
8.21 |
32 |
26.51 |
1.12 |
3 |
<0.10 |
0.228 |
SE |
|
WSR33 |
20200528 |
Cloudy |
Moderate |
Mid-Ebb |
Bottom |
5.9 |
15:33 |
8.68 |
8.26 |
31.72 |
26.72 |
1.55 |
<2 |
<0.10 |
0.193 |
SE |
|
WSR33 |
20200528 |
Cloudy |
Moderate |
Mid-Ebb |
Bottom |
5.9 |
15:33 |
9.59 |
8.07 |
32.35 |
26.58 |
1.35 |
<2 |
<0.10 |
0.148 |
SE |
|
WSR33 |
20200528 |
Cloudy |
Moderate |
Mid-Ebb |
Middle |
3.45 |
15:34 |
9.45 |
8.27 |
31.75 |
26.58 |
1.08 |
2 |
<0.10 |
0.148 |
SE |
|
WSR33 |
20200528 |
Cloudy |
Moderate |
Mid-Ebb |
Middle |
3.45 |
15:34 |
9.5 |
8.27 |
32.16 |
26.61 |
1.41 |
2 |
<0.10 |
0.163 |
SE |
|
WSR33 |
20200528 |
Cloudy |
Moderate |
Mid-Ebb |
Surface |
1 |
15:35 |
9.27 |
8.31 |
32.02 |
26.91 |
1.1 |
2 |
<0.10 |
0.154 |
E |
|
WSR33 |
20200528 |
Cloudy |
Moderate |
Mid-Ebb |
Surface |
1 |
15:35 |
9.02 |
8.12 |
32.33 |
26.71 |
1.22 |
2 |
<0.10 |
0.162 |
E |
|
WSR36 |
20200528 |
Cloudy |
Moderate |
Mid-Ebb |
Bottom |
4 |
15:21 |
8.7 |
8.27 |
31.76 |
26.98 |
1.54 |
3 |
<0.10 |
0.209 |
SE |
|
WSR36 |
20200528 |
Cloudy |
Moderate |
Mid-Ebb |
Bottom |
4 |
15:21 |
9.46 |
8.12 |
32.26 |
26.87 |
1.43 |
3 |
<0.10 |
0.165 |
SE |
|
WSR36 |
20200528 |
Cloudy |
Moderate |
Mid-Ebb |
Surface |
1 |
15:22 |
9.12 |
8.22 |
31.97 |
26.62 |
1.14 |
<2 |
<0.10 |
0.203 |
SE |
|
WSR36 |
20200528 |
Cloudy |
Moderate |
Mid-Ebb |
Surface |
1 |
15:22 |
8.92 |
8.27 |
31.84 |
27.04 |
1.29 |
<2 |
<0.10 |
0.183 |
SE |
|
WSR37 |
20200528 |
Cloudy |
Moderate |
Mid-Ebb |
Bottom |
6.5 |
15:05 |
9.61 |
8.14 |
32.64 |
26.82 |
1.34 |
<2 |
<0.10 |
0.169 |
E |
|
WSR37 |
20200528 |
Cloudy |
Moderate |
Mid-Ebb |
Bottom |
6.5 |
15:05 |
8.97 |
8.18 |
32.48 |
26.72 |
1.54 |
<2 |
<0.10 |
0.143 |
SE |
|
WSR37 |
20200528 |
Cloudy |
Moderate |
Mid-Ebb |
Middle |
3.75 |
15:06 |
8.84 |
8.23 |
32.54 |
26.57 |
1.2 |
<2 |
<0.10 |
0.187 |
SE |
|
WSR37 |
20200528 |
Cloudy |
Moderate |
Mid-Ebb |
Middle |
3.75 |
15:06 |
9.61 |
8.16 |
31.81 |
27.01 |
1.15 |
<2 |
<0.10 |
0.189 |
SE |
|
WSR37 |
20200528 |
Cloudy |
Moderate |
Mid-Ebb |
Surface |
1 |
15:07 |
8.82 |
8.28 |
31.76 |
26.62 |
1.31 |
<2 |
<0.10 |
0.155 |
SE |
|
WSR37 |
20200528 |
Cloudy |
Moderate |
Mid-Ebb |
Surface |
1 |
15:07 |
8.67 |
8.28 |
32.42 |
26.5 |
0.95 |
<2 |
<0.10 |
0.158 |
SE |
|
CE |
20200530 |
Rainy |
Moderate |
Mid-Flood |
Bottom |
11.9 |
9:15 |
9.2 |
8.3 |
32.04 |
27.49 |
1.27 |
3 |
<0.10 |
0.196 |
NW |
|
CE |
20200530 |
Rainy |
Moderate |
Mid-Flood |
Bottom |
11.9 |
9:15 |
8.65 |
8.29 |
32.09 |
27.67 |
1.54 |
3 |
<0.10 |
0.177 |
NW |
|
CE |
20200530 |
Rainy |
Moderate |
Mid-Flood |
Middle |
6.45 |
9:16 |
9.93 |
8.13 |
31.44 |
27.38 |
1.41 |
4 |
<0.10 |
0.161 |
NW |
|
CE |
20200530 |
Rainy |
Moderate |
Mid-Flood |
Middle |
6.45 |
9:16 |
9.66 |
8.18 |
32.21 |
27.73 |
0.76 |
4 |
<0.10 |
0.183 |
NW |
|
CE |
20200530 |
Rainy |
Moderate |
Mid-Flood |
Surface |
1 |
9:17 |
9.16 |
8.04 |
31.34 |
27.35 |
1.6 |
4 |
<0.10 |
0.209 |
NW |
|
CE |
20200530 |
Rainy |
Moderate |
Mid-Flood |
Surface |
1 |
9:17 |
9.8 |
8.08 |
31.1 |
27.56 |
1.68 |
4 |
<0.10 |
0.208 |
N |
|
CF |
20200530 |
Rainy |
Moderate |
Mid-Flood |
Bottom |
11.6 |
9:11 |
8.9 |
8.08 |
31.75 |
27.35 |
1.96 |
4 |
<0.10 |
0.19 |
W |
|
CF |
20200530 |
Rainy |
Moderate |
Mid-Flood |
Bottom |
11.6 |
9:11 |
9.74 |
8.18 |
31.24 |
27.49 |
1.38 |
4 |
<0.10 |
0.186 |
SW |
|
CF |
20200530 |
Rainy |
Moderate |
Mid-Flood |
Middle |
6.3 |
9:12 |
9.39 |
8.17 |
31.73 |
27.6 |
0.93 |
3 |
<0.10 |
0.244 |
SW |
|
CF |
20200530 |
Rainy |
Moderate |
Mid-Flood |
Middle |
6.3 |
9:12 |
8.52 |
8.11 |
31.51 |
27.51 |
1.34 |
3 |
<0.10 |
0.179 |
W |
|
CF |
20200530 |
Rainy |
Moderate |
Mid-Flood |
Surface |
1 |
9:13 |
9.75 |
8.18 |
31.51 |
27.39 |
1.45 |
3 |
<0.10 |
0.21 |
SW |
|
CF |
20200530 |
Rainy |
Moderate |
Mid-Flood |
Surface |
1 |
9:13 |
9.75 |
8.15 |
32.04 |
27.67 |
1.82 |
3 |
<0.10 |
0.243 |
SW |
|
NF1 |
20200530 |
Rainy |
Moderate |
Mid-Flood |
Bottom |
10.9 |
9:56 |
9.66 |
8.07 |
31.81 |
27.42 |
1.47 |
6 |
<0.10 |
0.15 |
W |
|
NF1 |
20200530 |
Rainy |
Moderate |
Mid-Flood |
Bottom |
10.9 |
9:56 |
9.32 |
8.23 |
31.93 |
27.63 |
1.88 |
6 |
<0.10 |
0.157 |
W |
|
NF1 |
20200530 |
Rainy |
Moderate |
Mid-Flood |
Middle |
5.95 |
9:57 |
9.97 |
8.1 |
31.49 |
27.66 |
0.84 |
4 |
<0.10 |
0.156 |
SW |
|
NF1 |
20200530 |
Rainy |
Moderate |
Mid-Flood |
Middle |
5.95 |
9:57 |
8.59 |
8.04 |
31.72 |
27.47 |
1.37 |
4 |
<0.10 |
0.132 |
W |
|
NF1 |
20200530 |
Rainy |
Moderate |
Mid-Flood |
Surface |
1 |
9:58 |
9.56 |
8.37 |
31.14 |
27.31 |
2.02 |
4 |
<0.10 |
0.13 |
SW |
|
NF1 |
20200530 |
Rainy |
Moderate |
Mid-Flood |
Surface |
1 |
9:58 |
9.45 |
8.17 |
31.95 |
27.56 |
1.57 |
4 |
<0.10 |
0.184 |
W |
|
NF2 |
20200530 |
Rainy |
Moderate |
Mid-Flood |
Bottom |
8.8 |
11:33 |
9.92 |
8.14 |
31.18 |
27.58 |
1.11 |
2 |
<0.10 |
0.156 |
NW |
|
NF2 |
20200530 |
Rainy |
Moderate |
Mid-Flood |
Bottom |
8.8 |
11:33 |
9.97 |
8.06 |
32.12 |
27.71 |
1.18 |
2 |
<0.10 |
0.19 |
W |
|
NF2 |
20200530 |
Rainy |
Moderate |
Mid-Flood |
Middle |
4.9 |
11:34 |
8.98 |
8.13 |
32.1 |
27.35 |
1.67 |
2 |
<0.10 |
0.193 |
SW |
|
NF2 |
20200530 |
Rainy |
Moderate |
Mid-Flood |
Middle |
4.9 |
11:34 |
9.52 |
8.01 |
31.28 |
27.52 |
0.77 |
3 |
<0.10 |
0.135 |
W |
|
NF2 |
20200530 |
Rainy |
Moderate |
Mid-Flood |
Surface |
1 |
11:35 |
8.71 |
8.22 |
31.67 |
27.63 |
1.16 |
4 |
<0.10 |
0.177 |
SW |
|
NF2 |
20200530 |
Rainy |
Moderate |
Mid-Flood |
Surface |
1 |
11:35 |
8.85 |
8.35 |
31.59 |
27.44 |
1.8 |
4 |
<0.10 |
0.184 |
W |
|
NF3 |
20200530 |
Rainy |
Moderate |
Mid-Flood |
Bottom |
9.9 |
11:41 |
8.62 |
8.18 |
31.26 |
27.7 |
1.83 |
4 |
<0.10 |
0.128 |
SW |
|
NF3 |
20200530 |
Rainy |
Moderate |
Mid-Flood |
Bottom |
9.9 |
11:41 |
9.03 |
8.19 |
31.21 |
27.41 |
1.65 |
3 |
<0.10 |
0.169 |
W |
|
NF3 |
20200530 |
Rainy |
Moderate |
Mid-Flood |
Middle |
5.45 |
11:42 |
8.98 |
8.21 |
31.15 |
27.7 |
1.4 |
2 |
<0.10 |
0.164 |
W |
|
NF3 |
20200530 |
Rainy |
Moderate |
Mid-Flood |
Middle |
5.45 |
11:42 |
8.71 |
8.33 |
31.44 |
27.61 |
0.96 |
2 |
<0.10 |
0.138 |
NW |
|
NF3 |
20200530 |
Rainy |
Moderate |
Mid-Flood |
Surface |
1 |
11:43 |
8.87 |
8.2 |
31.94 |
27.73 |
1.25 |
2 |
<0.10 |
0.149 |
SW |
|
NF3 |
20200530 |
Rainy |
Moderate |
Mid-Flood |
Surface |
1 |
11:43 |
8.86 |
8.01 |
31.23 |
27.43 |
1.44 |
2 |
<0.10 |
0.186 |
W |
|
WSR01 |
20200530 |
Rainy |
Moderate |
Mid-Flood |
Bottom |
8.5 |
11:41 |
9.85 |
8.13 |
31.4 |
27.56 |
1.47 |
4 |
<0.10 |
0.156 |
W |
|
WSR01 |
20200530 |
Rainy |
Moderate |
Mid-Flood |
Bottom |
8.5 |
11:41 |
9.54 |
8.1 |
31.86 |
27.63 |
1.83 |
4 |
<0.10 |
0.163 |
SW |
|
WSR01 |
20200530 |
Rainy |
Moderate |
Mid-Flood |
Middle |
4.75 |
11:42 |
9.98 |
8.2 |
31.72 |
27.53 |
1.67 |
3 |
<0.10 |
0.154 |
NW |
|
WSR01 |
20200530 |
Rainy |
Moderate |
Mid-Flood |
Middle |
4.75 |
11:42 |
9.99 |
8.04 |
31.19 |
27.73 |
0.85 |
3 |
<0.10 |
0.157 |
NW |
|
WSR01 |
20200530 |
Rainy |
Moderate |
Mid-Flood |
Surface |
1 |
11:43 |
8.92 |
8.25 |
31.85 |
27.67 |
1.42 |
3 |
<0.10 |
0.171 |
W |
|
WSR01 |
20200530 |
Rainy |
Moderate |
Mid-Flood |
Surface |
1 |
11:43 |
9.47 |
8.25 |
31.37 |
27.41 |
1.58 |
3 |
<0.10 |
0.137 |
W |
|
WSR02 |
20200530 |
Rainy |
Moderate |
Mid-Flood |
Bottom |
8.8 |
12:06 |
9.07 |
8.23 |
31.25 |
27.58 |
1.82 |
2 |
<0.10 |
0.184 |
SW |
|
WSR02 |
20200530 |
Rainy |
Moderate |
Mid-Flood |
Bottom |
8.8 |
12:06 |
8.87 |
8.05 |
31.93 |
27.47 |
1.35 |
2 |
<0.10 |
0.153 |
W |
|
WSR02 |
20200530 |
Rainy |
Moderate |
Mid-Flood |
Middle |
4.9 |
12:07 |
9.02 |
8.18 |
31.42 |
27.68 |
1.52 |
2 |
<0.10 |
0.147 |
SW |
|
WSR02 |
20200530 |
Rainy |
Moderate |
Mid-Flood |
Middle |
4.9 |
12:07 |
9.65 |
8.35 |
31.71 |
27.67 |
1.42 |
2 |
<0.10 |
0.17 |
W |
|
WSR02 |
20200530 |
Rainy |
Moderate |
Mid-Flood |
Surface |
1 |
12:08 |
9.74 |
8.1 |
31.88 |
27.63 |
1.34 |
3 |
<0.10 |
0.148 |
W |
|
WSR02 |
20200530 |
Rainy |
Moderate |
Mid-Flood |
Surface |
1 |
12:08 |
8.93 |
8.19 |
31.45 |
27.58 |
1.6 |
3 |
<0.10 |
0.174 |
W |
|
WSR03 |
20200530 |
Rainy |
Moderate |
Mid-Flood |
Bottom |
7.1 |
11:15 |
9.21 |
8.17 |
31.27 |
27.31 |
1.18 |
3 |
<0.10 |
0.162 |
NW |
|
WSR03 |
20200530 |
Rainy |
Moderate |
Mid-Flood |
Bottom |
7.1 |
11:15 |
9.64 |
8.19 |
31.5 |
27.3 |
1.93 |
3 |
<0.10 |
0.186 |
W |
|
WSR03 |
20200530 |
Rainy |
Moderate |
Mid-Flood |
Middle |
4.05 |
11:16 |
8.66 |
8.2 |
31.24 |
27.35 |
1.22 |
4 |
<0.10 |
0.179 |
W |
|
WSR03 |
20200530 |
Rainy |
Moderate |
Mid-Flood |
Middle |
4.05 |
11:16 |
9.86 |
8.17 |
31.9 |
27.7 |
1.02 |
4 |
<0.10 |
0.145 |
W |
|
WSR03 |
20200530 |
Rainy |
Moderate |
Mid-Flood |
Surface |
1 |
11:17 |
8.45 |
8.29 |
31.85 |
27.41 |
1.9 |
5 |
<0.10 |
0.18 |
SW |
|
WSR03 |
20200530 |
Rainy |
Moderate |
Mid-Flood |
Surface |
1 |
11:17 |
9.15 |
8.3 |
31.2 |
27.45 |
1.14 |
5 |
<0.10 |
0.13 |
W |
|
WSR04 |
20200530 |
Rainy |
Moderate |
Mid-Flood |
Bottom |
5.7 |
10:57 |
9.63 |
8.21 |
31.47 |
27.68 |
1.7 |
2 |
<0.10 |
0.135 |
W |
|
WSR04 |
20200530 |
Rainy |
Moderate |
Mid-Flood |
Bottom |
5.7 |
10:57 |
9.32 |
8.21 |
32.07 |
27.53 |
1.36 |
2 |
<0.10 |
0.186 |
W |
|
WSR04 |
20200530 |
Rainy |
Moderate |
Mid-Flood |
Middle |
3.35 |
10:58 |
9.44 |
8.32 |
31.77 |
27.46 |
1.36 |
4 |
<0.10 |
0.185 |
W |
|
WSR04 |
20200530 |
Rainy |
Moderate |
Mid-Flood |
Middle |
3.35 |
10:58 |
8.85 |
8.12 |
31.94 |
27.67 |
1.2 |
4 |
<0.10 |
0.18 |
W |
|
WSR04 |
20200530 |
Rainy |
Moderate |
Mid-Flood |
Surface |
1 |
10:59 |
9.69 |
8.25 |
31.44 |
27.45 |
1.75 |
6 |
<0.10 |
0.146 |
W |
|
WSR04 |
20200530 |
Rainy |
Moderate |
Mid-Flood |
Surface |
1 |
10:59 |
9.13 |
8.24 |
31.29 |
27.37 |
1.15 |
6 |
<0.10 |
0.142 |
W |
|
WSR16 |
20200530 |
Rainy |
Moderate |
Mid-Flood |
Bottom |
11.7 |
9:34 |
9.34 |
8.19 |
32.26 |
27.4 |
1.55 |
3 |
<0.10 |
0.206 |
NW |
|
WSR16 |
20200530 |
Rainy |
Moderate |
Mid-Flood |
Bottom |
11.7 |
9:34 |
9.99 |
8.2 |
31.23 |
27.71 |
1.39 |
3 |
<0.10 |
0.214 |
NW |
|
WSR16 |
20200530 |
Rainy |
Moderate |
Mid-Flood |
Middle |
6.35 |
9:35 |
8.94 |
8.37 |
31.38 |
27.71 |
0.83 |
5 |
<0.10 |
0.216 |
N |
|
WSR16 |
20200530 |
Rainy |
Moderate |
Mid-Flood |
Middle |
6.35 |
9:35 |
9.57 |
8.14 |
32.01 |
27.57 |
1.68 |
5 |
<0.10 |
0.213 |
NW |
|
WSR16 |
20200530 |
Rainy |
Moderate |
Mid-Flood |
Surface |
1 |
9:36 |
9.32 |
8.16 |
31.25 |
27.43 |
2.03 |
6 |
<0.10 |
0.167 |
N |
|
WSR16 |
20200530 |
Rainy |
Moderate |
Mid-Flood |
Surface |
1 |
9:36 |
9.07 |
8.06 |
32.02 |
27.63 |
1.59 |
6 |
<0.10 |
0.166 |
NW |
|
WSR33 |
20200530 |
Rainy |
Moderate |
Mid-Flood |
Bottom |
6.7 |
10:40 |
8.49 |
8.35 |
31.98 |
27.67 |
1.22 |
5 |
<0.10 |
0.154 |
W |
|
WSR33 |
20200530 |
Rainy |
Moderate |
Mid-Flood |
Bottom |
6.7 |
10:40 |
9.69 |
8.27 |
31.93 |
27.45 |
1.21 |
5 |
<0.10 |
0.132 |
W |
|
WSR33 |
20200530 |
Rainy |
Moderate |
Mid-Flood |
Middle |
3.85 |
10:41 |
8.62 |
8.19 |
31.4 |
27.4 |
1.03 |
4 |
<0.10 |
0.153 |
SW |
|
WSR33 |
20200530 |
Rainy |
Moderate |
Mid-Flood |
Middle |
3.85 |
10:41 |
8.84 |
8.25 |
31.83 |
27.34 |
1.63 |
4 |
<0.10 |
0.141 |
W |
|
WSR33 |
20200530 |
Rainy |
Moderate |
Mid-Flood |
Surface |
1 |
10:42 |
9.58 |
8.3 |
31.84 |
27.45 |
1.5 |
3 |
<0.10 |
0.157 |
SW |
|
WSR33 |
20200530 |
Rainy |
Moderate |
Mid-Flood |
Surface |
1 |
10:42 |
9.35 |
8.31 |
31.69 |
27.39 |
1.95 |
3 |
<0.10 |
0.192 |
W |
|
WSR36 |
20200530 |
Rainy |
Moderate |
Mid-Flood |
Bottom |
4.1 |
10:26 |
9.05 |
8.26 |
32.21 |
27.55 |
1.32 |
3 |
<0.10 |
0.156 |
W |
|
WSR36 |
20200530 |
Rainy |
Moderate |
Mid-Flood |
Bottom |
4.1 |
10:26 |
8.56 |
8.22 |
31.23 |
27.59 |
1.96 |
3 |
<0.10 |
0.144 |
SW |
|
WSR36 |
20200530 |
Rainy |
Moderate |
Mid-Flood |
Surface |
1 |
10:27 |
8.92 |
8.3 |
31.71 |
27.41 |
1.8 |
4 |
<0.10 |
0.192 |
W |
|
WSR36 |
20200530 |
Rainy |
Moderate |
Mid-Flood |
Surface |
1 |
10:27 |
9.31 |
8.22 |
32.09 |
27.45 |
1.28 |
4 |
<0.10 |
0.144 |
W |
|
WSR37 |
20200530 |
Rainy |
Moderate |
Mid-Flood |
Bottom |
6.6 |
10:10 |
9.06 |
8.12 |
31.44 |
27.55 |
1.19 |
3 |
<0.10 |
0.188 |
SW |
|
WSR37 |
20200530 |
Rainy |
Moderate |
Mid-Flood |
Bottom |
6.6 |
10:10 |
8.98 |
8.36 |
31.91 |
27.56 |
2.01 |
3 |
<0.10 |
0.155 |
W |
|
WSR37 |
20200530 |
Rainy |
Moderate |
Mid-Flood |
Middle |
3.8 |
10:11 |
9.56 |
8.13 |
31.85 |
27.49 |
1.67 |
4 |
<0.10 |
0.161 |
NW |
|
WSR37 |
20200530 |
Rainy |
Moderate |
Mid-Flood |
Middle |
3.8 |
10:11 |
9.29 |
8.34 |
31.39 |
27.3 |
1.65 |
4 |
<0.10 |
0.134 |
SW |
|
WSR37 |
20200530 |
Rainy |
Moderate |
Mid-Flood |
Surface |
1 |
10:12 |
9.72 |
8.19 |
31.45 |
27.62 |
1.13 |
5 |
<0.10 |
0.15 |
NW |
|
WSR37 |
20200530 |
Rainy |
Moderate |
Mid-Flood |
Surface |
1 |
10:12 |
9.73 |
8.1 |
32.15 |
27.51 |
1.15 |
5 |
<0.10 |
0.176 |
W |
|
CE |
20200530 |
Rainy |
Moderate |
Mid-Ebb |
Bottom |
10.8 |
14:31 |
10.42 |
8.05 |
31.1 |
27.59 |
1.58 |
4 |
<0.10 |
0.41 |
E |
|
CE |
20200530 |
Rainy |
Moderate |
Mid-Ebb |
Bottom |
10.8 |
14:31 |
9.59 |
8.28 |
31.27 |
27.35 |
1.4 |
4 |
<0.10 |
0.45 |
SE |
|
CE |
20200530 |
Rainy |
Moderate |
Mid-Ebb |
Middle |
5.9 |
14:32 |
10.02 |
8.05 |
31.33 |
27.38 |
1.36 |
3 |
<0.10 |
0.286 |
E |
|
CE |
20200530 |
Rainy |
Moderate |
Mid-Ebb |
Middle |
5.9 |
14:32 |
9.95 |
8.01 |
32.03 |
27.5 |
1.15 |
3 |
<0.10 |
0.325 |
SE |
|
CE |
20200530 |
Rainy |
Moderate |
Mid-Ebb |
Surface |
1 |
14:33 |
9.34 |
8.05 |
31.99 |
27.62 |
1.38 |
3 |
<0.10 |
0.283 |
SE |
|
CE |
20200530 |
Rainy |
Moderate |
Mid-Ebb |
Surface |
1 |
14:33 |
9.74 |
8.18 |
31.17 |
27.16 |
1.16 |
3 |
<0.10 |
0.351 |
SE |
|
CF |
20200530 |
Rainy |
Moderate |
Mid-Ebb |
Bottom |
12.2 |
14:33 |
10.39 |
8.17 |
31.31 |
27.4 |
1.17 |
<2 |
<0.10 |
0.18 |
SE |
|
CF |
20200530 |
Rainy |
Moderate |
Mid-Ebb |
Bottom |
12.2 |
14:33 |
9.16 |
8.07 |
31.47 |
27.25 |
1.8 |
<2 |
<0.10 |
0.136 |
SE |
|
CF |
20200530 |
Rainy |
Moderate |
Mid-Ebb |
Middle |
6.6 |
14:34 |
9.56 |
8.08 |
31.4 |
27.57 |
1.44 |
3 |
<0.10 |
0.137 |
SE |
|
CF |
20200530 |
Rainy |
Moderate |
Mid-Ebb |
Middle |
6.6 |
14:34 |
9.5 |
8.12 |
31.86 |
27.65 |
1.15 |
3 |
<0.10 |
0.219 |
SE |
|
CF |
20200530 |
Rainy |
Moderate |
Mid-Ebb |
Surface |
1 |
14:35 |
9.66 |
8.12 |
31.96 |
27.4 |
1.4 |
4 |
<0.10 |
0.221 |
E |
|
CF |
20200530 |
Rainy |
Moderate |
Mid-Ebb |
Surface |
1 |
14:35 |
9.16 |
8.12 |
31.46 |
27.15 |
1.79 |
4 |
<0.10 |
0.143 |
E |
|
NF1 |
20200530 |
Rainy |
Moderate |
Mid-Ebb |
Bottom |
10.4 |
15:14 |
10.47 |
8.26 |
31.21 |
27.48 |
1.32 |
4 |
<0.10 |
0.193 |
SE |
|
NF1 |
20200530 |
Rainy |
Moderate |
Mid-Ebb |
Bottom |
10.4 |
15:14 |
10.45 |
8.09 |
31.57 |
27.31 |
1.74 |
4 |
<0.10 |
0.203 |
E |
|
NF1 |
20200530 |
Rainy |
Moderate |
Mid-Ebb |
Middle |
5.7 |
15:15 |
10.44 |
8.1 |
31.9 |
27.37 |
0.9 |
4 |
<0.10 |
0.132 |
SE |
|
NF1 |
20200530 |
Rainy |
Moderate |
Mid-Ebb |
Middle |
5.7 |
15:15 |
10.25 |
8.03 |
32.29 |
27.68 |
1.52 |
4 |
<0.10 |
0.188 |
SE |
|
NF1 |
20200530 |
Rainy |
Moderate |
Mid-Ebb |
Surface |
1 |
15:16 |
8.61 |
8.13 |
32.1 |
27.63 |
1.35 |
6 |
<0.10 |
0.167 |
E |
|
NF1 |
20200530 |
Rainy |
Moderate |
Mid-Ebb |
Surface |
1 |
15:16 |
8.67 |
8.18 |
31.43 |
27.36 |
1.77 |
6 |
<0.10 |
0.189 |
E |
|
NF2 |
20200530 |
Rainy |
Moderate |
Mid-Ebb |
Bottom |
8.3 |
16:46 |
10.39 |
8.08 |
31.55 |
27.3 |
1.15 |
4 |
<0.10 |
0.214 |
SE |
|
NF2 |
20200530 |
Rainy |
Moderate |
Mid-Ebb |
Bottom |
8.3 |
16:46 |
8.7 |
8.05 |
31.72 |
27.56 |
1.27 |
4 |
<0.10 |
0.161 |
E |
|
NF2 |
20200530 |
Rainy |
Moderate |
Mid-Ebb |
Middle |
4.65 |
16:47 |
9.61 |
8.11 |
31.93 |
27.54 |
0.87 |
3 |
<0.10 |
0.177 |
E |
|
NF2 |
20200530 |
Rainy |
Moderate |
Mid-Ebb |
Middle |
4.65 |
16:47 |
8.9 |
8.27 |
31.07 |
27.41 |
1.21 |
3 |
<0.10 |
0.165 |
E |
|
NF2 |
20200530 |
Rainy |
Moderate |
Mid-Ebb |
Surface |
1 |
16:48 |
9.3 |
8.04 |
31.15 |
27.64 |
1.13 |
3 |
<0.10 |
0.162 |
E |
|
NF2 |
20200530 |
Rainy |
Moderate |
Mid-Ebb |
Surface |
1 |
16:48 |
9.13 |
8.15 |
32.06 |
27.41 |
1.81 |
3 |
<0.10 |
0.19 |
SE |
|
NF3 |
20200530 |
Rainy |
Moderate |
Mid-Ebb |
Bottom |
9.5 |
16:58 |
9.97 |
8.08 |
31.11 |
27.13 |
1.6 |
4 |
<0.10 |
0.217 |
SE |
|
NF3 |
20200530 |
Rainy |
Moderate |
Mid-Ebb |
Bottom |
9.5 |
16:58 |
9.43 |
8.06 |
31.55 |
27.31 |
1.29 |
4 |
<0.10 |
0.17 |
E |
|
NF3 |
20200530 |
Rainy |
Moderate |
Mid-Ebb |
Middle |
5.25 |
16:59 |
8.89 |
8.2 |
31.89 |
27.15 |
1.46 |
3 |
<0.10 |
0.135 |
SE |
|
NF3 |
20200530 |
Rainy |
Moderate |
Mid-Ebb |
Middle |
5.25 |
16:59 |
10.26 |
8.19 |
32.32 |
27.65 |
0.93 |
3 |
<0.10 |
0.147 |
SE |
|
NF3 |
20200530 |
Rainy |
Moderate |
Mid-Ebb |
Surface |
1 |
17:00 |
8.8 |
8.02 |
31.21 |
27.18 |
1.51 |
3 |
<0.10 |
0.168 |
SE |
|
NF3 |
20200530 |
Rainy |
Moderate |
Mid-Ebb |
Surface |
1 |
17:00 |
9.75 |
8.16 |
32.02 |
27.68 |
1.29 |
3 |
<0.10 |
0.208 |
E |
|
WSR01 |
20200530 |
Rainy |
Moderate |
Mid-Ebb |
Bottom |
7.2 |
17:22 |
9.27 |
8.12 |
31.92 |
27.23 |
1.27 |
3 |
<0.10 |
0.22 |
E |
|
WSR01 |
20200530 |
Rainy |
Moderate |
Mid-Ebb |
Bottom |
7.2 |
17:22 |
9.17 |
8.04 |
31.84 |
27.31 |
1.48 |
3 |
<0.10 |
0.17 |
E |
|
WSR01 |
20200530 |
Rainy |
Moderate |
Mid-Ebb |
Middle |
4.1 |
17:23 |
9.66 |
8.1 |
31.34 |
27.67 |
0.92 |
3 |
<0.10 |
0.158 |
E |
|
WSR01 |
20200530 |
Rainy |
Moderate |
Mid-Ebb |
Middle |
4.1 |
17:23 |
9.14 |
8.22 |
31.92 |
27.47 |
1.22 |
3 |
<0.10 |
0.166 |
SE |
|
WSR01 |
20200530 |
Rainy |
Moderate |
Mid-Ebb |
Surface |
1 |
17:24 |
9.07 |
8.2 |
31.69 |
27.19 |
1.46 |
4 |
<0.10 |
0.134 |
SE |
|
WSR01 |
20200530 |
Rainy |
Moderate |
Mid-Ebb |
Surface |
1 |
17:24 |
10.31 |
8.02 |
31.87 |
27.56 |
1.55 |
4 |
<0.10 |
0.133 |
E |
|
WSR02 |
20200530 |
Rainy |
Moderate |
Mid-Ebb |
Bottom |
8.6 |
16:58 |
8.94 |
8.22 |
32.16 |
27.34 |
1.67 |
2 |
<0.10 |
0.15 |
E |
|
WSR02 |
20200530 |
Rainy |
Moderate |
Mid-Ebb |
Bottom |
8.6 |
16:58 |
9.21 |
8.16 |
31.93 |
27.25 |
1.31 |
2 |
<0.10 |
0.192 |
E |
|
WSR02 |
20200530 |
Rainy |
Moderate |
Mid-Ebb |
Middle |
4.8 |
16:59 |
9.91 |
8.12 |
32.29 |
27.23 |
1.05 |
2 |
<0.10 |
0.153 |
SE |
|
WSR02 |
20200530 |
Rainy |
Moderate |
Mid-Ebb |
Middle |
4.8 |
16:59 |
9.13 |
8.17 |
31.08 |
27.64 |
0.93 |
2 |
<0.10 |
0.186 |
SE |
|
WSR02 |
20200530 |
Rainy |
Moderate |
Mid-Ebb |
Surface |
1 |
17:00 |
9.48 |
8.27 |
32.37 |
27.52 |
1.69 |
3 |
<0.10 |
0.151 |
SE |
|
WSR02 |
20200530 |
Rainy |
Moderate |
Mid-Ebb |
Surface |
1 |
17:00 |
8.98 |
8.1 |
31.83 |
27.37 |
1.59 |
3 |
<0.10 |
0.197 |
SE |
|
WSR03 |
20200530 |
Rainy |
Moderate |
Mid-Ebb |
Bottom |
6.8 |
16:28 |
9.83 |
8.22 |
31.31 |
27.39 |
1.41 |
4 |
<0.10 |
0.158 |
E |
|
WSR03 |
20200530 |
Rainy |
Moderate |
Mid-Ebb |
Bottom |
6.8 |
16:28 |
9.19 |
8.08 |
31.5 |
27.12 |
1.68 |
4 |
<0.10 |
0.141 |
E |
|
WSR03 |
20200530 |
Rainy |
Moderate |
Mid-Ebb |
Middle |
3.9 |
16:29 |
10.19 |
8.23 |
32.14 |
27.24 |
0.88 |
<2 |
<0.10 |
0.212 |
SE |
|
WSR03 |
20200530 |
Rainy |
Moderate |
Mid-Ebb |
Middle |
3.9 |
16:29 |
9.66 |
8.11 |
31.97 |
27.17 |
1.42 |
<2 |
<0.10 |
0.16 |
E |
|
WSR03 |
20200530 |
Rainy |
Moderate |
Mid-Ebb |
Surface |
1 |
16:30 |
9.51 |
8.03 |
32.35 |
27.4 |
1.81 |
<2 |
<0.10 |
0.22 |
SE |
|
WSR03 |
20200530 |
Rainy |
Moderate |
Mid-Ebb |
Surface |
1 |
16:30 |
9.84 |
8.24 |
32.29 |
27.15 |
1.26 |
<2 |
<0.10 |
0.187 |
SE |
|
WSR04 |
20200530 |
Rainy |
Moderate |
Mid-Ebb |
Bottom |
6.1 |
16:11 |
8.59 |
8.06 |
31.87 |
27.4 |
1.81 |
3 |
<0.10 |
0.154 |
SE |
|
WSR04 |
20200530 |
Rainy |
Moderate |
Mid-Ebb |
Bottom |
6.1 |
16:11 |
9.02 |
8.25 |
32.13 |
27.14 |
1.35 |
3 |
<0.10 |
0.209 |
E |
|
WSR04 |
20200530 |
Rainy |
Moderate |
Mid-Ebb |
Middle |
3.55 |
16:12 |
9.72 |
8.17 |
31.48 |
27.24 |
1.35 |
2 |
<0.10 |
0.203 |
SE |
|
WSR04 |
20200530 |
Rainy |
Moderate |
Mid-Ebb |
Middle |
3.55 |
16:12 |
8.84 |
8.2 |
31.68 |
27.16 |
1.11 |
2 |
<0.10 |
0.217 |
E |
|
WSR04 |
20200530 |
Rainy |
Moderate |
Mid-Ebb |
Surface |
1 |
16:13 |
8.57 |
8.13 |
31.98 |
27.57 |
1.64 |
2 |
<0.10 |
0.21 |
SE |
|
WSR04 |
20200530 |
Rainy |
Moderate |
Mid-Ebb |
Surface |
1 |
16:13 |
8.64 |
8.27 |
31.07 |
27.58 |
1.49 |
2 |
<0.10 |
0.156 |
E |
|
WSR16 |
20200530 |
Rainy |
Moderate |
Mid-Ebb |
Bottom |
11.5 |
14:53 |
9.51 |
8.02 |
32.04 |
27.16 |
1.12 |
2 |
<0.10 |
0.145 |
SE |
|
WSR16 |
20200530 |
Rainy |
Moderate |
Mid-Ebb |
Bottom |
11.5 |
14:53 |
9.4 |
8.01 |
32.03 |
27.65 |
1.43 |
2 |
<0.10 |
0.143 |
SE |
|
WSR16 |
20200530 |
Rainy |
Moderate |
Mid-Ebb |
Middle |
6.25 |
14:54 |
8.79 |
8.02 |
31.85 |
27.59 |
1.25 |
4 |
<0.10 |
0.164 |
SE |
|
WSR16 |
20200530 |
Rainy |
Moderate |
Mid-Ebb |
Middle |
6.25 |
14:54 |
9.52 |
8.09 |
32.27 |
27.66 |
1.52 |
4 |
<0.10 |
0.167 |
SE |
|
WSR16 |
20200530 |
Rainy |
Moderate |
Mid-Ebb |
Surface |
1 |
14:55 |
9.88 |
8.14 |
32.1 |
27.42 |
1.14 |
4 |
<0.10 |
0.177 |
E |
|
WSR16 |
20200530 |
Rainy |
Moderate |
Mid-Ebb |
Surface |
1 |
14:55 |
9.43 |
8.23 |
31.06 |
27.61 |
1.46 |
4 |
<0.10 |
0.198 |
SE |
|
WSR33 |
20200530 |
Rainy |
Moderate |
Mid-Ebb |
Bottom |
6.4 |
15:55 |
10.14 |
8.16 |
31.49 |
27.43 |
1.81 |
<2 |
<0.10 |
0.159 |
SE |
|
WSR33 |
20200530 |
Rainy |
Moderate |
Mid-Ebb |
Bottom |
6.4 |
15:55 |
10.38 |
8.02 |
31.41 |
27.5 |
1.81 |
<2 |
<0.10 |
0.154 |
SE |
|
WSR33 |
20200530 |
Rainy |
Moderate |
Mid-Ebb |
Middle |
3.7 |
15:56 |
9.24 |
8.01 |
31.8 |
27.26 |
1.4 |
2 |
<0.10 |
0.217 |
SE |
|
WSR33 |
20200530 |
Rainy |
Moderate |
Mid-Ebb |
Middle |
3.7 |
15:56 |
10.2 |
8.03 |
31.78 |
27.12 |
1.25 |
2 |
<0.10 |
0.171 |
E |
|
WSR33 |
20200530 |
Rainy |
Moderate |
Mid-Ebb |
Surface |
1 |
15:57 |
10.31 |
8.07 |
32.25 |
27.51 |
1.36 |
3 |
<0.10 |
0.137 |
E |
|
WSR33 |
20200530 |
Rainy |
Moderate |
Mid-Ebb |
Surface |
1 |
15:57 |
9.38 |
8.1 |
32.21 |
27.26 |
1.12 |
3 |
<0.10 |
0.153 |
E |
|
WSR36 |
20200530 |
Rainy |
Moderate |
Mid-Ebb |
Bottom |
3.9 |
15:43 |
8.72 |
8.24 |
31.98 |
27.49 |
1.66 |
2 |
<0.10 |
0.169 |
SE |
|
WSR36 |
20200530 |
Rainy |
Moderate |
Mid-Ebb |
Bottom |
3.9 |
15:43 |
9.72 |
8.06 |
32.24 |
27.61 |
1.25 |
2 |
<0.10 |
0.167 |
E |
|
WSR36 |
20200530 |
Rainy |
Moderate |
Mid-Ebb |
Surface |
1 |
15:44 |
8.8 |
8.07 |
31.15 |
27.68 |
1.46 |
3 |
<0.10 |
0.219 |
E |
|
WSR36 |
20200530 |
Rainy |
Moderate |
Mid-Ebb |
Surface |
1 |
15:44 |
8.96 |
8.02 |
31.38 |
27.27 |
1.68 |
3 |
<0.10 |
0.211 |
E |
|
WSR37 |
20200530 |
Rainy |
Moderate |
Mid-Ebb |
Bottom |
6.3 |
15:26 |
10.09 |
8.2 |
32.24 |
27.21 |
1.32 |
6 |
<0.10 |
0.141 |
E |
|
WSR37 |
20200530 |
Rainy |
Moderate |
Mid-Ebb |
Bottom |
6.3 |
15:26 |
10.25 |
8.04 |
31.26 |
27.4 |
1.65 |
6 |
<0.10 |
0.164 |
SE |
|
WSR37 |
20200530 |
Rainy |
Moderate |
Mid-Ebb |
Middle |
3.65 |
15:27 |
9.18 |
8.12 |
32.23 |
27.27 |
1.54 |
4 |
<0.10 |
0.214 |
E |
|
WSR37 |
20200530 |
Rainy |
Moderate |
Mid-Ebb |
Middle |
3.65 |
15:27 |
8.95 |
8.26 |
32.35 |
27.17 |
1.2 |
5 |
<0.10 |
0.141 |
E |
|
WSR37 |
20200530 |
Rainy |
Moderate |
Mid-Ebb |
Surface |
1 |
15:28 |
9 |
8.08 |
32.34 |
27.35 |
1.82 |
4 |
<0.10 |
0.15 |
SE |
|
WSR37 |
20200530 |
Rainy |
Moderate |
Mid-Ebb |
Surface |
1 |
15:28 |
9.11 |
8.03 |
32.19 |
27.39 |
1.24 |
4 |
<0.10 |
0.139 |
SE |
|
CE |
20200602 |
Cloudy |
Moderate |
Mid-Ebb |
Bottom |
11.2 |
8:00 |
8.09 |
8.07 |
31.99 |
26.3 |
2.36 |
4 |
<0.10 |
0.386 |
E |
|
CE |
20200602 |
Cloudy |
Moderate |
Mid-Ebb |
Bottom |
11.2 |
8:00 |
9.6 |
8.03 |
31.51 |
26.61 |
2.19 |
4 |
<0.10 |
0.303 |
SE |
|
CE |
20200602 |
Cloudy |
Moderate |
Mid-Ebb |
Middle |
6.1 |
8:01 |
9.59 |
8.16 |
31.36 |
26.78 |
2.08 |
4 |
<0.10 |
0.437 |
E |
|
CE |
20200602 |
Cloudy |
Moderate |
Mid-Ebb |
Middle |
6.1 |
8:01 |
8.14 |
8.05 |
31.45 |
26.78 |
1.9 |
4 |
<0.10 |
0.409 |
E |
|
CE |
20200602 |
Cloudy |
Moderate |
Mid-Ebb |
Surface |
1 |
8:02 |
7.62 |
8.24 |
32.14 |
26.61 |
1.54 |
3 |
<0.10 |
0.352 |
E |
|
CE |
20200602 |
Cloudy |
Moderate |
Mid-Ebb |
Surface |
1 |
8:02 |
8.26 |
8.03 |
32.87 |
26.18 |
1.34 |
3 |
<0.10 |
0.443 |
SE |
|
CF |
20200602 |
Cloudy |
Moderate |
Mid-Ebb |
Bottom |
11 |
8:07 |
7.91 |
8.15 |
32.38 |
26.72 |
2.15 |
2 |
<0.10 |
0.13 |
E |
|
CF |
20200602 |
Cloudy |
Moderate |
Mid-Ebb |
Bottom |
11 |
8:07 |
9.53 |
8.17 |
31.81 |
26.6 |
1.83 |
2 |
<0.10 |
0.202 |
E |
|
CF |
20200602 |
Cloudy |
Moderate |
Mid-Ebb |
Middle |
6 |
8:08 |
9.16 |
8.23 |
31.41 |
26.31 |
1.97 |
3 |
<0.10 |
0.136 |
E |
|
CF |
20200602 |
Cloudy |
Moderate |
Mid-Ebb |
Middle |
6 |
8:08 |
8.93 |
8.16 |
31.48 |
26.77 |
1.12 |
3 |
<0.10 |
0.185 |
SE |
|
CF |
20200602 |
Cloudy |
Moderate |
Mid-Ebb |
Surface |
1 |
8:09 |
7.67 |
8.2 |
32.65 |
26.44 |
1.45 |
3 |
<0.10 |
0.13 |
E |
|
CF |
20200602 |
Cloudy |
Moderate |
Mid-Ebb |
Surface |
1 |
8:09 |
8.36 |
8.05 |
32.18 |
26.54 |
0.93 |
3 |
<0.10 |
0.141 |
E |
|
NF1 |
20200602 |
Cloudy |
Moderate |
Mid-Ebb |
Bottom |
10.1 |
8:41 |
8.43 |
8.16 |
32.53 |
26.92 |
1.59 |
3 |
<0.10 |
0.16 |
E |
|
NF1 |
20200602 |
Cloudy |
Moderate |
Mid-Ebb |
Bottom |
10.1 |
8:41 |
9.43 |
8.15 |
32.51 |
26.79 |
1.51 |
3 |
<0.10 |
0.132 |
E |
|
NF1 |
20200602 |
Cloudy |
Moderate |
Mid-Ebb |
Middle |
5.55 |
8:42 |
9.19 |
8.13 |
32.43 |
27.11 |
1.59 |
4 |
<0.10 |
0.136 |
E |
|
NF1 |
20200602 |
Cloudy |
Moderate |
Mid-Ebb |
Middle |
5.55 |
8:42 |
9.22 |
8.18 |
32.73 |
26.74 |
1.62 |
4 |
<0.10 |
0.14 |
SE |
|
NF1 |
20200602 |
Cloudy |
Moderate |
Mid-Ebb |
Surface |
1 |
8:43 |
7.78 |
8.13 |
32.33 |
26.46 |
2.01 |
5 |
<0.10 |
0.188 |
SE |
|
NF1 |
20200602 |
Cloudy |
Moderate |
Mid-Ebb |
Surface |
1 |
8:43 |
7.82 |
8.15 |
32.01 |
27.05 |
0.98 |
5 |
<0.10 |
0.191 |
E |
|
NF2 |
20200602 |
Cloudy |
Moderate |
Mid-Ebb |
Bottom |
7.7 |
10:13 |
9.39 |
8.23 |
31.65 |
27.19 |
1.5 |
3 |
<0.10 |
0.169 |
SE |
|
NF2 |
20200602 |
Cloudy |
Moderate |
Mid-Ebb |
Bottom |
7.7 |
10:13 |
8.26 |
8.22 |
31.67 |
27.34 |
2.55 |
3 |
<0.10 |
0.185 |
SE |
|
NF2 |
20200602 |
Cloudy |
Moderate |
Mid-Ebb |
Middle |
4.35 |
10:14 |
9.55 |
8.18 |
31.33 |
26.67 |
1.7 |
4 |
<0.10 |
0.207 |
E |
|
NF2 |
20200602 |
Cloudy |
Moderate |
Mid-Ebb |
Middle |
4.35 |
10:14 |
8.64 |
8.06 |
32.32 |
27.3 |
1.31 |
4 |
<0.10 |
0.148 |
E |
|
NF2 |
20200602 |
Cloudy |
Moderate |
Mid-Ebb |
Surface |
1 |
10:15 |
7.94 |
8.19 |
32.83 |
27.67 |
2.17 |
5 |
<0.10 |
0.193 |
E |
|
NF2 |
20200602 |
Cloudy |
Moderate |
Mid-Ebb |
Surface |
1 |
10:15 |
7.66 |
8.2 |
31.87 |
26.63 |
1.04 |
5 |
<0.10 |
0.189 |
E |
|
NF3 |
20200602 |
Cloudy |
Moderate |
Mid-Ebb |
Bottom |
9.6 |
10:23 |
9.61 |
8.08 |
32.78 |
27.78 |
2.24 |
6 |
<0.10 |
0.188 |
SE |
|
NF3 |
20200602 |
Cloudy |
Moderate |
Mid-Ebb |
Bottom |
9.6 |
10:23 |
9.68 |
8.12 |
31.96 |
26.95 |
2.47 |
6 |
<0.10 |
0.184 |
SE |
|
NF3 |
20200602 |
Cloudy |
Moderate |
Mid-Ebb |
Middle |
5.3 |
10:24 |
7.73 |
8.13 |
32.28 |
27.47 |
1.25 |
4 |
<0.10 |
0.133 |
SE |
|
NF3 |
20200602 |
Cloudy |
Moderate |
Mid-Ebb |
Middle |
5.3 |
10:24 |
8.05 |
8.05 |
32.75 |
26.81 |
1.73 |
4 |
<0.10 |
0.197 |
SE |
|
NF3 |
20200602 |
Cloudy |
Moderate |
Mid-Ebb |
Surface |
1 |
10:25 |
9.63 |
8.16 |
32.55 |
27.18 |
1.35 |
3 |
<0.10 |
0.132 |
E |
|
NF3 |
20200602 |
Cloudy |
Moderate |
Mid-Ebb |
Surface |
1 |
10:25 |
9.7 |
8.09 |
32.6 |
26.67 |
1.85 |
3 |
<0.10 |
0.171 |
E |
|
WSR01 |
20200602 |
Cloudy |
Moderate |
Mid-Ebb |
Bottom |
7.9 |
10:56 |
8.59 |
8.12 |
31.45 |
27.79 |
2.36 |
5 |
<0.10 |
0.156 |
E |
|
WSR01 |
20200602 |
Cloudy |
Moderate |
Mid-Ebb |
Bottom |
7.9 |
10:56 |
9.6 |
8.14 |
32.35 |
26.94 |
1.8 |
5 |
<0.10 |
0.144 |
E |
|
WSR01 |
20200602 |
Cloudy |
Moderate |
Mid-Ebb |
Middle |
4.45 |
10:57 |
8.91 |
8.05 |
32.17 |
27.35 |
2.09 |
4 |
<0.10 |
0.141 |
SE |
|
WSR01 |
20200602 |
Cloudy |
Moderate |
Mid-Ebb |
Middle |
4.45 |
10:57 |
9.5 |
8.1 |
31.44 |
27.09 |
1.53 |
4 |
<0.10 |
0.202 |
SE |
|
WSR01 |
20200602 |
Cloudy |
Moderate |
Mid-Ebb |
Surface |
1 |
10:58 |
8.78 |
8.09 |
32.07 |
27.39 |
1.3 |
3 |
<0.10 |
0.159 |
E |
|
WSR01 |
20200602 |
Cloudy |
Moderate |
Mid-Ebb |
Surface |
1 |
10:58 |
8.12 |
8.2 |
32.81 |
27.23 |
1.37 |
2 |
<0.10 |
0.13 |
SE |
|
WSR02 |
20200602 |
Cloudy |
Moderate |
Mid-Ebb |
Bottom |
8.7 |
10:32 |
7.88 |
8.08 |
32.93 |
27.03 |
1.97 |
4 |
<0.10 |
0.186 |
E |
|
WSR02 |
20200602 |
Cloudy |
Moderate |
Mid-Ebb |
Bottom |
8.7 |
10:32 |
8.06 |
8.22 |
32.51 |
27.77 |
2.36 |
3 |
<0.10 |
0.209 |
SE |
|
WSR02 |
20200602 |
Cloudy |
Moderate |
Mid-Ebb |
Middle |
4.85 |
10:33 |
7.69 |
8.09 |
31.89 |
27.6 |
1.92 |
3 |
<0.10 |
0.22 |
SE |
|
WSR02 |
20200602 |
Cloudy |
Moderate |
Mid-Ebb |
Middle |
4.85 |
10:33 |
8.87 |
8.08 |
32.74 |
27.6 |
1.58 |
3 |
<0.10 |
0.133 |
E |
|
WSR02 |
20200602 |
Cloudy |
Moderate |
Mid-Ebb |
Surface |
1 |
10:34 |
7.5 |
8.2 |
31.91 |
27.81 |
2.09 |
2 |
<0.10 |
0.149 |
SE |
|
WSR02 |
20200602 |
Cloudy |
Moderate |
Mid-Ebb |
Surface |
1 |
10:34 |
9.22 |
8.02 |
32.09 |
27.41 |
1.89 |
2 |
<0.10 |
0.166 |
E |
|
WSR03 |
20200602 |
Cloudy |
Moderate |
Mid-Ebb |
Bottom |
7.2 |
9:57 |
9.18 |
8.13 |
31.56 |
26.49 |
2.59 |
3 |
<0.10 |
0.19 |
E |
|
WSR03 |
20200602 |
Cloudy |
Moderate |
Mid-Ebb |
Bottom |
7.2 |
9:57 |
8 |
8.18 |
32.88 |
27.03 |
2.25 |
3 |
<0.10 |
0.186 |
E |
|
WSR03 |
20200602 |
Cloudy |
Moderate |
Mid-Ebb |
Middle |
4.1 |
9:58 |
7.76 |
8.24 |
31.33 |
26.69 |
2.02 |
4 |
<0.10 |
0.196 |
SE |
|
WSR03 |
20200602 |
Cloudy |
Moderate |
Mid-Ebb |
Middle |
4.1 |
9:58 |
7.73 |
8.03 |
31.79 |
26.43 |
1.53 |
4 |
<0.10 |
0.16 |
E |
|
WSR03 |
20200602 |
Cloudy |
Moderate |
Mid-Ebb |
Surface |
1 |
9:59 |
8.11 |
8.04 |
32.01 |
27.28 |
0.94 |
4 |
<0.10 |
0.191 |
E |
|
WSR03 |
20200602 |
Cloudy |
Moderate |
Mid-Ebb |
Surface |
1 |
9:59 |
8.73 |
8.12 |
31.95 |
27.07 |
2.17 |
4 |
<0.10 |
0.15 |
E |
|
WSR04 |
20200602 |
Cloudy |
Moderate |
Mid-Ebb |
Bottom |
5.8 |
9:40 |
9.4 |
8.05 |
32.97 |
27.33 |
2.6 |
4 |
<0.10 |
0.153 |
E |
|
WSR04 |
20200602 |
Cloudy |
Moderate |
Mid-Ebb |
Bottom |
5.8 |
9:40 |
8.99 |
8.02 |
31.93 |
27.09 |
1.92 |
4 |
<0.10 |
0.143 |
SE |
|
WSR04 |
20200602 |
Cloudy |
Moderate |
Mid-Ebb |
Middle |
3.4 |
9:41 |
7.59 |
8.07 |
32.67 |
27.5 |
1.08 |
3 |
<0.10 |
0.181 |
SE |
|
WSR04 |
20200602 |
Cloudy |
Moderate |
Mid-Ebb |
Middle |
3.4 |
9:41 |
9.54 |
8.07 |
32.06 |
27.13 |
1.18 |
3 |
<0.10 |
0.2 |
SE |
|
WSR04 |
20200602 |
Cloudy |
Moderate |
Mid-Ebb |
Surface |
1 |
9:42 |
9.55 |
8.18 |
32.29 |
27.1 |
1.58 |
3 |
<0.10 |
0.151 |
E |
|
WSR04 |
20200602 |
Cloudy |
Moderate |
Mid-Ebb |
Surface |
1 |
9:42 |
9.13 |
8.04 |
31.83 |
27.35 |
1.95 |
3 |
<0.10 |
0.156 |
E |
|
WSR16 |
20200602 |
Cloudy |
Moderate |
Mid-Ebb |
Bottom |
11.6 |
8:19 |
9.14 |
8.06 |
32.96 |
26.99 |
1.7 |
2 |
<0.10 |
0.162 |
E |
|
WSR16 |
20200602 |
Cloudy |
Moderate |
Mid-Ebb |
Bottom |
11.6 |
8:19 |
9.41 |
8.18 |
32.33 |
26.52 |
1.74 |
2 |
<0.10 |
0.154 |
E |
|
WSR16 |
20200602 |
Cloudy |
Moderate |
Mid-Ebb |
Middle |
6.3 |
8:20 |
8.12 |
8.05 |
32.22 |
26.71 |
1.96 |
3 |
<0.10 |
0.212 |
SE |
|
WSR16 |
20200602 |
Cloudy |
Moderate |
Mid-Ebb |
Middle |
6.3 |
8:20 |
8.26 |
8.09 |
31.58 |
26.06 |
1.05 |
3 |
<0.10 |
0.172 |
SE |
|
WSR16 |
20200602 |
Cloudy |
Moderate |
Mid-Ebb |
Surface |
1 |
8:21 |
8.07 |
8.22 |
32.44 |
26.17 |
1.54 |
4 |
<0.10 |
0.163 |
SE |
|
WSR16 |
20200602 |
Cloudy |
Moderate |
Mid-Ebb |
Surface |
1 |
8:21 |
9.44 |
8.03 |
32.71 |
26.67 |
1.43 |
4 |
<0.10 |
0.163 |
SE |
|
WSR33 |
20200602 |
Cloudy |
Moderate |
Mid-Ebb |
Bottom |
6.5 |
9:22 |
9.44 |
8.19 |
32.04 |
26.71 |
1.57 |
4 |
<0.10 |
0.214 |
E |
|
WSR33 |
20200602 |
Cloudy |
Moderate |
Mid-Ebb |
Bottom |
6.5 |
9:22 |
9.13 |
8.15 |
31.38 |
27.61 |
2.3 |
4 |
<0.10 |
0.154 |
SE |
|
WSR33 |
20200602 |
Cloudy |
Moderate |
Mid-Ebb |
Middle |
3.75 |
9:23 |
9.14 |
8.03 |
32.57 |
27.56 |
1.52 |
3 |
<0.10 |
0.196 |
E |
|
WSR33 |
20200602 |
Cloudy |
Moderate |
Mid-Ebb |
Middle |
3.75 |
9:23 |
8.95 |
8.07 |
31.95 |
26.59 |
1.15 |
3 |
<0.10 |
0.164 |
E |
|
WSR33 |
20200602 |
Cloudy |
Moderate |
Mid-Ebb |
Surface |
1 |
9:24 |
9.62 |
8.16 |
31.64 |
26.9 |
2 |
2 |
<0.10 |
0.19 |
SE |
|
WSR33 |
20200602 |
Cloudy |
Moderate |
Mid-Ebb |
Surface |
1 |
9:24 |
8.46 |
8.18 |
32.52 |
27.04 |
1.89 |
2 |
<0.10 |
0.169 |
SE |
|
WSR36 |
20200602 |
Cloudy |
Moderate |
Mid-Ebb |
Bottom |
4.1 |
9:08 |
8.04 |
8.21 |
31.74 |
27.05 |
2.65 |
7 |
<0.10 |
0.159 |
SE |
|
WSR36 |
20200602 |
Cloudy |
Moderate |
Mid-Ebb |
Bottom |
4.1 |
9:08 |
8.01 |
8.14 |
31.4 |
26.9 |
2.12 |
7 |
<0.10 |
0.157 |
SE |
|
WSR36 |
20200602 |
Cloudy |
Moderate |
Mid-Ebb |
Surface |
1 |
9:09 |
9.53 |
8.21 |
32.16 |
26.95 |
1.14 |
4 |
<0.10 |
0.168 |
E |
|
WSR36 |
20200602 |
Cloudy |
Moderate |
Mid-Ebb |
Surface |
1 |
9:09 |
8.51 |
8.1 |
31.65 |
27.6 |
1.39 |
4 |
<0.10 |
0.161 |
E |
|
WSR37 |
20200602 |
Cloudy |
Moderate |
Mid-Ebb |
Bottom |
6.5 |
8:52 |
7.83 |
8.2 |
32.42 |
26.8 |
1.76 |
6 |
<0.10 |
0.176 |
E |
|
WSR37 |
20200602 |
Cloudy |
Moderate |
Mid-Ebb |
Bottom |
6.5 |
8:52 |
9.33 |
8.14 |
32.79 |
26.4 |
1.81 |
6 |
<0.10 |
0.206 |
E |
|
WSR37 |
20200602 |
Cloudy |
Moderate |
Mid-Ebb |
Middle |
3.75 |
8:53 |
9.13 |
8.03 |
31.36 |
26.44 |
1.99 |
4 |
<0.10 |
0.221 |
SE |
|
WSR37 |
20200602 |
Cloudy |
Moderate |
Mid-Ebb |
Middle |
3.75 |
8:53 |
9.58 |
8.07 |
32.91 |
26.83 |
1.2 |
4 |
<0.10 |
0.178 |
SE |
|
WSR37 |
20200602 |
Cloudy |
Moderate |
Mid-Ebb |
Surface |
1 |
8:54 |
7.67 |
8.02 |
32.03 |
26.48 |
1.38 |
3 |
<0.10 |
0.197 |
E |
|
WSR37 |
20200602 |
Cloudy |
Moderate |
Mid-Ebb |
Surface |
1 |
8:54 |
9.03 |
8.06 |
31.86 |
26.92 |
1.85 |
3 |
<0.10 |
0.165 |
E |
|
CE |
20200602 |
Cloudy |
Moderate |
Mid-Flood |
Bottom |
11.2 |
14:02 |
8.79 |
8.25 |
31.99 |
27.68 |
1.71 |
3 |
<0.10 |
0.203 |
NW |
|
CE |
20200602 |
Cloudy |
Moderate |
Mid-Flood |
Bottom |
11.2 |
14:02 |
8.98 |
8.23 |
32.35 |
27.81 |
2.5 |
3 |
<0.10 |
0.159 |
NW |
|
CE |
20200602 |
Cloudy |
Moderate |
Mid-Flood |
Middle |
6.1 |
14:03 |
9.39 |
8.14 |
31.68 |
27.48 |
1.13 |
2 |
<0.10 |
0.163 |
NW |
|
CE |
20200602 |
Cloudy |
Moderate |
Mid-Flood |
Middle |
6.1 |
14:03 |
7.97 |
8.19 |
31.67 |
27.76 |
1.77 |
2 |
<0.10 |
0.162 |
NW |
|
CE |
20200602 |
Cloudy |
Moderate |
Mid-Flood |
Surface |
1 |
14:04 |
8.1 |
8.32 |
31.2 |
27.81 |
1.03 |
<2 |
<0.10 |
0.213 |
N |
|
CE |
20200602 |
Cloudy |
Moderate |
Mid-Flood |
Surface |
1 |
14:04 |
8.33 |
8.34 |
32.21 |
27.71 |
1.45 |
<2 |
<0.10 |
0.218 |
N |
|
CF |
20200602 |
Cloudy |
Moderate |
Mid-Flood |
Bottom |
11.3 |
14:01 |
9.38 |
8.01 |
32.03 |
27.93 |
2.06 |
5 |
<0.10 |
0.241 |
SW |
|
CF |
20200602 |
Cloudy |
Moderate |
Mid-Flood |
Bottom |
11.3 |
14:01 |
8.88 |
8.21 |
31.72 |
27.53 |
2.51 |
5 |
<0.10 |
0.158 |
NW |
|
CF |
20200602 |
Cloudy |
Moderate |
Mid-Flood |
Middle |
6.15 |
14:02 |
9.22 |
8.22 |
31.58 |
27.52 |
2.04 |
6 |
<0.10 |
0.222 |
SW |
|
CF |
20200602 |
Cloudy |
Moderate |
Mid-Flood |
Middle |
6.15 |
14:02 |
9.25 |
8.34 |
31.77 |
27.38 |
1.93 |
6 |
<0.10 |
0.221 |
W |
|
CF |
20200602 |
Cloudy |
Moderate |
Mid-Flood |
Surface |
1 |
14:03 |
8.11 |
8.09 |
32.45 |
27.58 |
1.05 |
6 |
<0.10 |
0.218 |
W |
|
CF |
20200602 |
Cloudy |
Moderate |
Mid-Flood |
Surface |
1 |
14:03 |
8.65 |
8.02 |
32.22 |
27.91 |
0.9 |
6 |
<0.10 |
0.223 |
W |
|
NF1 |
20200602 |
Cloudy |
Moderate |
Mid-Flood |
Bottom |
10.8 |
14:44 |
8.72 |
8.13 |
32.41 |
27.92 |
1.82 |
3 |
<0.10 |
0.186 |
W |
|
NF1 |
20200602 |
Cloudy |
Moderate |
Mid-Flood |
Bottom |
10.8 |
14:44 |
9.14 |
8.29 |
31.55 |
27.49 |
1.89 |
3 |
<0.10 |
0.152 |
W |
|
NF1 |
20200602 |
Cloudy |
Moderate |
Mid-Flood |
Middle |
5.9 |
14:45 |
9.17 |
8.02 |
31.49 |
27.42 |
1.82 |
3 |
<0.10 |
0.173 |
SW |
|
NF1 |
20200602 |
Cloudy |
Moderate |
Mid-Flood |
Middle |
5.9 |
14:45 |
8.08 |
8.08 |
32.04 |
27.62 |
1.27 |
3 |
<0.10 |
0.196 |
W |
|
NF1 |
20200602 |
Cloudy |
Moderate |
Mid-Flood |
Surface |
1 |
14:46 |
8.58 |
8.2 |
31.35 |
27.43 |
1.45 |
4 |
<0.10 |
0.129 |
NW |
|
NF1 |
20200602 |
Cloudy |
Moderate |
Mid-Flood |
Surface |
1 |
14:46 |
9.21 |
8.16 |
32.48 |
27.45 |
1.07 |
4 |
<0.10 |
0.13 |
NW |
|
NF2 |
20200602 |
Cloudy |
Moderate |
Mid-Flood |
Bottom |
9.5 |
16:14 |
8.65 |
8.05 |
31.54 |
27.77 |
2.62 |
3 |
<0.10 |
0.193 |
W |
|
NF2 |
20200602 |
Cloudy |
Moderate |
Mid-Flood |
Bottom |
9.5 |
16:14 |
8.78 |
8.29 |
31.49 |
27.57 |
2.31 |
3 |
<0.10 |
0.128 |
SW |
|
NF2 |
20200602 |
Cloudy |
Moderate |
Mid-Flood |
Middle |
5.25 |
16:15 |
8.68 |
8.06 |
32 |
27.41 |
1.91 |
3 |
<0.10 |
0.193 |
W |
|
NF2 |
20200602 |
Cloudy |
Moderate |
Mid-Flood |
Middle |
5.25 |
16:15 |
9.24 |
8.17 |
31.83 |
27.74 |
1.92 |
3 |
<0.10 |
0.135 |
W |
|
NF2 |
20200602 |
Cloudy |
Moderate |
Mid-Flood |
Surface |
1 |
16:16 |
9.29 |
8.18 |
31.17 |
27.66 |
0.76 |
2 |
<0.10 |
0.183 |
W |
|
NF2 |
20200602 |
Cloudy |
Moderate |
Mid-Flood |
Surface |
1 |
16:16 |
8.31 |
8.19 |
31.78 |
27.93 |
1.54 |
2 |
<0.10 |
0.149 |
W |
|
NF3 |
20200602 |
Cloudy |
Moderate |
Mid-Flood |
Bottom |
10.1 |
16:22 |
9.02 |
8.11 |
31.16 |
27.34 |
1.57 |
5 |
<0.10 |
0.189 |
SW |
|
NF3 |
20200602 |
Cloudy |
Moderate |
Mid-Flood |
Bottom |
10.1 |
16:22 |
8.15 |
8.28 |
31.1 |
27.88 |
2.09 |
5 |
<0.10 |
0.151 |
NW |
|
NF3 |
20200602 |
Cloudy |
Moderate |
Mid-Flood |
Middle |
5.55 |
16:23 |
8.47 |
8.34 |
31.39 |
27.41 |
1.28 |
4 |
<0.10 |
0.162 |
SW |
|
NF3 |
20200602 |
Cloudy |
Moderate |
Mid-Flood |
Middle |
5.55 |
16:23 |
9.11 |
8.3 |
32.19 |
27.63 |
1.31 |
4 |
<0.10 |
0.196 |
W |
|
NF3 |
20200602 |
Cloudy |
Moderate |
Mid-Flood |
Surface |
1 |
16:24 |
8.34 |
8.16 |
32.33 |
27.49 |
0.8 |
4 |
<0.10 |
0.176 |
NW |
|
NF3 |
20200602 |
Cloudy |
Moderate |
Mid-Flood |
Surface |
1 |
16:24 |
8.2 |
8.22 |
32.01 |
27.81 |
1.03 |
4 |
<0.10 |
0.178 |
SW |
|
WSR01 |
20200602 |
Cloudy |
Moderate |
Mid-Flood |
Bottom |
7.3 |
16:47 |
8.14 |
8.31 |
31.59 |
27.45 |
1.91 |
2 |
<0.10 |
0.184 |
W |
|
WSR01 |
20200602 |
Cloudy |
Moderate |
Mid-Flood |
Bottom |
7.3 |
16:47 |
8.98 |
8.07 |
31.76 |
27.42 |
2.21 |
2 |
<0.10 |
0.144 |
SW |
|
WSR01 |
20200602 |
Cloudy |
Moderate |
Mid-Flood |
Middle |
4.15 |
16:48 |
9.47 |
8 |
31.98 |
27.76 |
1.59 |
4 |
<0.10 |
0.194 |
W |
|
WSR01 |
20200602 |
Cloudy |
Moderate |
Mid-Flood |
Middle |
4.15 |
16:48 |
8.91 |
8.32 |
31.33 |
27.89 |
1.81 |
4 |
<0.10 |
0.162 |
W |
|
WSR01 |
20200602 |
Cloudy |
Moderate |
Mid-Flood |
Surface |
1 |
16:49 |
9.16 |
8.28 |
31.89 |
27.74 |
1.44 |
5 |
<0.10 |
0.13 |
SW |
|
WSR01 |
20200602 |
Cloudy |
Moderate |
Mid-Flood |
Surface |
1 |
16:49 |
9.3 |
8.06 |
32.53 |
27.88 |
1.06 |
5 |
<0.10 |
0.147 |
W |
|
WSR02 |
20200602 |
Cloudy |
Moderate |
Mid-Flood |
Bottom |
8.1 |
16:23 |
8.37 |
8.08 |
32.27 |
27.64 |
1.62 |
3 |
<0.10 |
0.148 |
W |
|
WSR02 |
20200602 |
Cloudy |
Moderate |
Mid-Flood |
Bottom |
8.1 |
16:23 |
8.06 |
8.29 |
32.52 |
27.42 |
1.67 |
3 |
<0.10 |
0.18 |
W |
|
WSR02 |
20200602 |
Cloudy |
Moderate |
Mid-Flood |
Middle |
4.55 |
16:24 |
8.08 |
8.29 |
31.88 |
27.56 |
1.42 |
3 |
<0.10 |
0.171 |
W |
|
WSR02 |
20200602 |
Cloudy |
Moderate |
Mid-Flood |
Middle |
4.55 |
16:24 |
8.42 |
8.15 |
32.21 |
27.84 |
1.55 |
2 |
<0.10 |
0.146 |
W |
|
WSR02 |
20200602 |
Cloudy |
Moderate |
Mid-Flood |
Surface |
1 |
16:25 |
7.91 |
8.14 |
31.55 |
27.5 |
0.89 |
3 |
<0.10 |
0.173 |
NW |
|
WSR02 |
20200602 |
Cloudy |
Moderate |
Mid-Flood |
Surface |
1 |
16:25 |
9.25 |
8.28 |
32.29 |
27.62 |
1.45 |
3 |
<0.10 |
0.137 |
W |
|
WSR03 |
20200602 |
Cloudy |
Moderate |
Mid-Flood |
Bottom |
7.3 |
15:57 |
9.45 |
8.1 |
31.74 |
27.63 |
1.72 |
4 |
<0.10 |
0.195 |
SW |
|
WSR03 |
20200602 |
Cloudy |
Moderate |
Mid-Flood |
Bottom |
7.3 |
15:57 |
8.13 |
8.22 |
32.31 |
27.59 |
2.04 |
4 |
<0.10 |
0.169 |
NW |
|
WSR03 |
20200602 |
Cloudy |
Moderate |
Mid-Flood |
Middle |
4.15 |
15:58 |
8.38 |
8.3 |
32.5 |
27.96 |
1.11 |
4 |
<0.10 |
0.144 |
W |
|
WSR03 |
20200602 |
Cloudy |
Moderate |
Mid-Flood |
Middle |
4.15 |
15:58 |
8.34 |
8.28 |
31.19 |
27.8 |
1.28 |
4 |
<0.10 |
0.191 |
W |
|
WSR03 |
20200602 |
Cloudy |
Moderate |
Mid-Flood |
Surface |
1 |
15:59 |
7.88 |
8.32 |
31.57 |
27.74 |
1.31 |
4 |
<0.10 |
0.187 |
W |
|
WSR03 |
20200602 |
Cloudy |
Moderate |
Mid-Flood |
Surface |
1 |
15:59 |
9.02 |
8.01 |
31.98 |
27.42 |
1.78 |
4 |
<0.10 |
0.174 |
W |
|
WSR04 |
20200602 |
Cloudy |
Moderate |
Mid-Flood |
Bottom |
6.2 |
15:41 |
8.48 |
8.3 |
31.64 |
27.39 |
1.9 |
6 |
<0.10 |
0.144 |
SW |
|
WSR04 |
20200602 |
Cloudy |
Moderate |
Mid-Flood |
Bottom |
6.2 |
15:41 |
8.32 |
8.28 |
31.49 |
27.74 |
2.54 |
5 |
<0.10 |
0.188 |
W |
|
WSR04 |
20200602 |
Cloudy |
Moderate |
Mid-Flood |
Middle |
3.6 |
15:42 |
7.95 |
8.19 |
31.97 |
27.93 |
1.45 |
4 |
<0.10 |
0.183 |
W |
|
WSR04 |
20200602 |
Cloudy |
Moderate |
Mid-Flood |
Middle |
3.6 |
15:42 |
8.88 |
8.12 |
31.35 |
27.78 |
1.7 |
4 |
<0.10 |
0.151 |
SW |
|
WSR04 |
20200602 |
Cloudy |
Moderate |
Mid-Flood |
Surface |
1 |
15:43 |
7.88 |
8.06 |
32.08 |
27.52 |
0.87 |
4 |
<0.10 |
0.185 |
NW |
|
WSR04 |
20200602 |
Cloudy |
Moderate |
Mid-Flood |
Surface |
1 |
15:43 |
8.5 |
8.31 |
31.6 |
27.85 |
1.19 |
4 |
<0.10 |
0.134 |
W |
|
WSR16 |
20200602 |
Cloudy |
Moderate |
Mid-Flood |
Bottom |
11.8 |
14:24 |
9.24 |
8.12 |
32.1 |
27.8 |
2.62 |
3 |
<0.10 |
0.225 |
NW |
|
WSR16 |
20200602 |
Cloudy |
Moderate |
Mid-Flood |
Bottom |
11.8 |
14:24 |
8.58 |
8.12 |
31.53 |
27.71 |
2.36 |
3 |
<0.10 |
0.178 |
NW |
|
WSR16 |
20200602 |
Cloudy |
Moderate |
Mid-Flood |
Middle |
6.4 |
14:25 |
7.93 |
8.06 |
32.29 |
27.76 |
1.83 |
4 |
<0.10 |
0.182 |
NW |
|
WSR16 |
20200602 |
Cloudy |
Moderate |
Mid-Flood |
Middle |
6.4 |
14:25 |
9.41 |
8.09 |
32.51 |
27.47 |
1.5 |
4 |
<0.10 |
0.188 |
N |
|
WSR16 |
20200602 |
Cloudy |
Moderate |
Mid-Flood |
Surface |
1 |
14:26 |
8.26 |
8.18 |
31.27 |
27.51 |
1.65 |
4 |
<0.10 |
0.224 |
N |
|
WSR16 |
20200602 |
Cloudy |
Moderate |
Mid-Flood |
Surface |
1 |
14:26 |
9.4 |
8.18 |
32.02 |
27.55 |
0.81 |
4 |
<0.10 |
0.207 |
NW |
|
WSR33 |
20200602 |
Cloudy |
Moderate |
Mid-Flood |
Bottom |
6.7 |
15:25 |
8.51 |
8.17 |
31.96 |
27.85 |
1.83 |
5 |
<0.10 |
0.129 |
SW |
|
WSR33 |
20200602 |
Cloudy |
Moderate |
Mid-Flood |
Bottom |
6.7 |
15:25 |
8.43 |
8.03 |
32.3 |
27.76 |
2.24 |
5 |
<0.10 |
0.132 |
W |
|
WSR33 |
20200602 |
Cloudy |
Moderate |
Mid-Flood |
Middle |
3.85 |
15:26 |
7.93 |
8.31 |
31.59 |
27.43 |
1.81 |
4 |
<0.10 |
0.139 |
SW |
|
WSR33 |
20200602 |
Cloudy |
Moderate |
Mid-Flood |
Middle |
3.85 |
15:26 |
7.89 |
8.06 |
32.29 |
27.92 |
1.53 |
4 |
<0.10 |
0.149 |
W |
|
WSR33 |
20200602 |
Cloudy |
Moderate |
Mid-Flood |
Surface |
1 |
15:27 |
8.73 |
8.33 |
31.59 |
27.3 |
0.79 |
3 |
<0.10 |
0.192 |
SW |
|
WSR33 |
20200602 |
Cloudy |
Moderate |
Mid-Flood |
Surface |
1 |
15:27 |
8.71 |
8 |
31.87 |
27.63 |
1.53 |
3 |
<0.10 |
0.166 |
W |
|
WSR36 |
20200602 |
Cloudy |
Moderate |
Mid-Flood |
Bottom |
4.7 |
15:13 |
9.37 |
8.12 |
31.92 |
27.54 |
2.22 |
3 |
<0.10 |
0.186 |
SW |
|
WSR36 |
20200602 |
Cloudy |
Moderate |
Mid-Flood |
Bottom |
4.7 |
15:13 |
9.13 |
8.14 |
32.11 |
27.83 |
2.43 |
3 |
<0.10 |
0.14 |
SW |
|
WSR36 |
20200602 |
Cloudy |
Moderate |
Mid-Flood |
Surface |
1 |
15:14 |
9.34 |
8.02 |
31.93 |
27.89 |
0.8 |
5 |
<0.10 |
0.195 |
W |
|
WSR36 |
20200602 |
Cloudy |
Moderate |
Mid-Flood |
Surface |
1 |
15:14 |
8.65 |
8.26 |
32.18 |
27.33 |
1.6 |
5 |
<0.10 |
0.129 |
W |
|
WSR37 |
20200602 |
Cloudy |
Moderate |
Mid-Flood |
Bottom |
7.5 |
14:57 |
8.59 |
8.25 |
32.53 |
27.68 |
2.55 |
4 |
<0.10 |
0.152 |
W |
|
WSR37 |
20200602 |
Cloudy |
Moderate |
Mid-Flood |
Bottom |
7.5 |
14:57 |
8.47 |
8.26 |
31.79 |
27.77 |
1.72 |
4 |
<0.10 |
0.164 |
W |
|
WSR37 |
20200602 |
Cloudy |
Moderate |
Mid-Flood |
Middle |
4.25 |
14:58 |
8.5 |
8.04 |
31.86 |
27.69 |
1.79 |
4 |
<0.10 |
0.177 |
SW |
|
WSR37 |
20200602 |
Cloudy |
Moderate |
Mid-Flood |
Middle |
4.25 |
14:58 |
8.54 |
8.26 |
31.62 |
27.81 |
1.53 |
4 |
<0.10 |
0.145 |
W |
|
WSR37 |
20200602 |
Cloudy |
Moderate |
Mid-Flood |
Surface |
1 |
14:59 |
9.3 |
8.2 |
32.58 |
27.55 |
0.71 |
5 |
<0.10 |
0.163 |
W |
|
WSR37 |
20200602 |
Cloudy |
Moderate |
Mid-Flood |
Surface |
1 |
14:59 |
9.11 |
8.22 |
32.08 |
27.57 |
1.56 |
5 |
<0.10 |
0.181 |
NW |
|
CE |
20200604 |
Sunny |
Moderate |
Mid-Ebb |
Bottom |
11.1 |
9:13 |
10.85 |
8.07 |
33.29 |
24.79 |
1.3 |
3 |
<0.10 |
0.404 |
SE |
|
CE |
20200604 |
Sunny |
Moderate |
Mid-Ebb |
Bottom |
11.1 |
9:13 |
10.52 |
8.06 |
33.28 |
24.8 |
1.64 |
4 |
<0.10 |
0.417 |
E |
|
CE |
20200604 |
Sunny |
Moderate |
Mid-Ebb |
Middle |
6.05 |
9:14 |
8.53 |
8.01 |
33.05 |
25.06 |
1.81 |
4 |
<0.10 |
0.342 |
SE |
|
CE |
20200604 |
Sunny |
Moderate |
Mid-Ebb |
Middle |
6.05 |
9:14 |
8.32 |
8.01 |
33.13 |
25 |
1.71 |
4 |
<0.10 |
0.422 |
E |
|
CE |
20200604 |
Sunny |
Moderate |
Mid-Ebb |
Surface |
1 |
9:15 |
8.71 |
8.03 |
31.26 |
26.71 |
3.44 |
3 |
<0.10 |
0.306 |
SE |
|
CE |
20200604 |
Sunny |
Moderate |
Mid-Ebb |
Surface |
1 |
9:15 |
8.41 |
8 |
31.19 |
26.75 |
4.71 |
2 |
<0.10 |
0.342 |
SE |
|
CF |
20200604 |
Sunny |
Moderate |
Mid-Ebb |
Bottom |
11.4 |
9:14 |
10.25 |
8.25 |
31.79 |
25.68 |
2.04 |
<2 |
<0.10 |
0.207 |
SE |
|
CF |
20200604 |
Sunny |
Moderate |
Mid-Ebb |
Bottom |
11.4 |
9:14 |
9.43 |
8.23 |
31.36 |
26.39 |
1.71 |
<2 |
<0.10 |
0.181 |
SE |
|
CF |
20200604 |
Sunny |
Moderate |
Mid-Ebb |
Middle |
6.2 |
9:15 |
9.25 |
8.25 |
31.18 |
26.31 |
1.02 |
<2 |
<0.10 |
0.166 |
SE |
|
CF |
20200604 |
Sunny |
Moderate |
Mid-Ebb |
Middle |
6.2 |
9:15 |
9.21 |
8.12 |
32.1 |
25.58 |
1.41 |
<2 |
<0.10 |
0.201 |
SE |
|
CF |
20200604 |
Sunny |
Moderate |
Mid-Ebb |
Surface |
1 |
9:16 |
9.09 |
8.02 |
32.48 |
25.71 |
1.82 |
2 |
<0.10 |
0.164 |
E |
|
CF |
20200604 |
Sunny |
Moderate |
Mid-Ebb |
Surface |
1 |
9:16 |
10.34 |
8.25 |
31.73 |
26.62 |
1.34 |
2 |
<0.10 |
0.148 |
E |
|
NF1 |
20200604 |
Sunny |
Moderate |
Mid-Ebb |
Bottom |
15.5 |
9:42 |
11.3 |
8.08 |
33.78 |
24.44 |
4.27 |
2 |
<0.10 |
0.184 |
SE |
|
NF1 |
20200604 |
Sunny |
Moderate |
Mid-Ebb |
Bottom |
15.5 |
9:42 |
10.59 |
8.07 |
33.77 |
24.45 |
4.18 |
2 |
<0.10 |
0.173 |
SE |
|
NF1 |
20200604 |
Sunny |
Moderate |
Mid-Ebb |
Middle |
8.25 |
9:43 |
8.21 |
8.03 |
33.68 |
24.61 |
2.32 |
2 |
<0.10 |
0.202 |
SE |
|
NF1 |
20200604 |
Sunny |
Moderate |
Mid-Ebb |
Middle |
8.25 |
9:43 |
7.89 |
8.05 |
33.64 |
24.63 |
2.5 |
2 |
<0.10 |
0.163 |
SE |
|
NF1 |
20200604 |
Sunny |
Moderate |
Mid-Ebb |
Surface |
1 |
9:44 |
8.79 |
8.2 |
31.43 |
27.04 |
1.4 |
2 |
<0.10 |
0.17 |
E |
|
NF1 |
20200604 |
Sunny |
Moderate |
Mid-Ebb |
Surface |
1 |
9:44 |
9.04 |
8.14 |
31.51 |
27.1 |
1.32 |
3 |
<0.10 |
0.179 |
SE |
|
NF2 |
20200604 |
Sunny |
Moderate |
Mid-Ebb |
Bottom |
8.1 |
11:34 |
9.7 |
8.14 |
33.53 |
25.42 |
0.38 |
2 |
<0.10 |
0.171 |
SE |
|
NF2 |
20200604 |
Sunny |
Moderate |
Mid-Ebb |
Bottom |
8.1 |
11:34 |
9.13 |
8.13 |
33.58 |
25.36 |
0.65 |
3 |
<0.10 |
0.215 |
SE |
|
NF2 |
20200604 |
Sunny |
Moderate |
Mid-Ebb |
Middle |
4.55 |
11:35 |
9.53 |
8.21 |
32.82 |
25.98 |
0.89 |
2 |
<0.10 |
0.152 |
SE |
|
NF2 |
20200604 |
Sunny |
Moderate |
Mid-Ebb |
Middle |
4.55 |
11:35 |
11.41 |
8.29 |
32.1 |
26.61 |
0.76 |
2 |
<0.10 |
0.155 |
E |
|
NF2 |
20200604 |
Sunny |
Moderate |
Mid-Ebb |
Surface |
1 |
11:36 |
12.07 |
8.34 |
32.02 |
27.19 |
0.68 |
3 |
<0.10 |
0.167 |
E |
|
NF2 |
20200604 |
Sunny |
Moderate |
Mid-Ebb |
Surface |
1 |
11:36 |
11.66 |
8.3 |
32 |
27.23 |
0.75 |
4 |
<0.10 |
0.131 |
SE |
|
NF3 |
20200604 |
Sunny |
Moderate |
Mid-Ebb |
Bottom |
11.2 |
11:49 |
9.03 |
8.12 |
34.08 |
25.15 |
0.8 |
<2 |
<0.10 |
0.195 |
SE |
|
NF3 |
20200604 |
Sunny |
Moderate |
Mid-Ebb |
Bottom |
11.2 |
11:49 |
8.56 |
8.12 |
34.1 |
25.11 |
0.65 |
<2 |
<0.10 |
0.193 |
E |
|
NF3 |
20200604 |
Sunny |
Moderate |
Mid-Ebb |
Middle |
6.1 |
11:50 |
11.89 |
8.16 |
33.04 |
26.13 |
0.57 |
3 |
<0.10 |
0.205 |
SE |
|
NF3 |
20200604 |
Sunny |
Moderate |
Mid-Ebb |
Middle |
6.1 |
11:50 |
9.78 |
8.12 |
33.6 |
25.55 |
0.72 |
3 |
<0.10 |
0.175 |
E |
|
NF3 |
20200604 |
Sunny |
Moderate |
Mid-Ebb |
Surface |
1 |
11:51 |
11.45 |
8.33 |
32.22 |
27.34 |
0.95 |
3 |
<0.10 |
0.151 |
SE |
|
NF3 |
20200604 |
Sunny |
Moderate |
Mid-Ebb |
Surface |
1 |
11:51 |
11.72 |
8.21 |
32.12 |
27.39 |
0.9 |
3 |
<0.10 |
0.151 |
E |
|
WSR01 |
20200604 |
Sunny |
Moderate |
Mid-Ebb |
Bottom |
8 |
12:02 |
10.17 |
8.24 |
31.18 |
26.8 |
2.16 |
2 |
<0.10 |
0.219 |
SE |
|
WSR01 |
20200604 |
Sunny |
Moderate |
Mid-Ebb |
Bottom |
8 |
12:02 |
9.65 |
8.32 |
31.42 |
25.44 |
1.98 |
2 |
<0.10 |
0.16 |
E |
|
WSR01 |
20200604 |
Sunny |
Moderate |
Mid-Ebb |
Middle |
4.5 |
12:03 |
9.22 |
8.15 |
31.4 |
26.36 |
1.28 |
2 |
<0.10 |
0.13 |
E |
|
WSR01 |
20200604 |
Sunny |
Moderate |
Mid-Ebb |
Middle |
4.5 |
12:03 |
9.09 |
8.3 |
31.38 |
26.76 |
1.62 |
3 |
<0.10 |
0.138 |
E |
|
WSR01 |
20200604 |
Sunny |
Moderate |
Mid-Ebb |
Surface |
1 |
12:04 |
9.83 |
8.16 |
31.19 |
26.93 |
1.49 |
2 |
<0.10 |
0.19 |
SE |
|
WSR01 |
20200604 |
Sunny |
Moderate |
Mid-Ebb |
Surface |
1 |
12:04 |
9.31 |
8.3 |
32.3 |
25.05 |
1.29 |
2 |
<0.10 |
0.18 |
SE |
|
WSR02 |
20200604 |
Sunny |
Moderate |
Mid-Ebb |
Bottom |
8.3 |
11:39 |
9.8 |
8.02 |
31.7 |
26.18 |
1.72 |
5 |
<0.10 |
0.15 |
SE |
|
WSR02 |
20200604 |
Sunny |
Moderate |
Mid-Ebb |
Bottom |
8.3 |
11:39 |
10.19 |
8.01 |
32.53 |
25.65 |
2.11 |
5 |
<0.10 |
0.168 |
E |
|
WSR02 |
20200604 |
Sunny |
Moderate |
Mid-Ebb |
Middle |
4.65 |
11:40 |
9.5 |
8.25 |
31.36 |
26.58 |
1.39 |
5 |
<0.10 |
0.18 |
E |
|
WSR02 |
20200604 |
Sunny |
Moderate |
Mid-Ebb |
Middle |
4.65 |
11:40 |
8.38 |
8.34 |
31.4 |
26.65 |
1.6 |
4 |
<0.10 |
0.205 |
SE |
|
WSR02 |
20200604 |
Sunny |
Moderate |
Mid-Ebb |
Surface |
1 |
11:41 |
9.13 |
8.19 |
32.58 |
25.21 |
1.46 |
4 |
<0.10 |
0.189 |
E |
|
WSR02 |
20200604 |
Sunny |
Moderate |
Mid-Ebb |
Surface |
1 |
11:41 |
10.31 |
8.11 |
32.56 |
26.48 |
1.53 |
4 |
<0.10 |
0.134 |
SE |
|
WSR03 |
20200604 |
Sunny |
Moderate |
Mid-Ebb |
Bottom |
8.7 |
11:06 |
8.36 |
8.1 |
34 |
25.06 |
3.24 |
4 |
<0.10 |
0.162 |
SE |
|
WSR03 |
20200604 |
Sunny |
Moderate |
Mid-Ebb |
Bottom |
8.7 |
11:06 |
8.08 |
8.1 |
33.94 |
25.11 |
0.8 |
3 |
<0.10 |
0.175 |
SE |
|
WSR03 |
20200604 |
Sunny |
Moderate |
Mid-Ebb |
Middle |
4.85 |
11:07 |
9.19 |
8.19 |
33.23 |
25.82 |
0.91 |
3 |
<0.10 |
0.213 |
SE |
|
WSR03 |
20200604 |
Sunny |
Moderate |
Mid-Ebb |
Middle |
4.85 |
11:07 |
9.66 |
8.22 |
33.13 |
25.92 |
0.63 |
2 |
<0.10 |
0.167 |
SE |
|
WSR03 |
20200604 |
Sunny |
Moderate |
Mid-Ebb |
Surface |
1 |
11:08 |
9.24 |
8.27 |
32.06 |
27.03 |
1.37 |
3 |
<0.10 |
0.136 |
E |
|
WSR03 |
20200604 |
Sunny |
Moderate |
Mid-Ebb |
Surface |
1 |
11:08 |
9.68 |
8.22 |
31.84 |
27.03 |
0.98 |
2 |
<0.10 |
0.176 |
SE |
|
WSR04 |
20200604 |
Sunny |
Moderate |
Mid-Ebb |
Bottom |
7.5 |
10:50 |
8.67 |
8.1 |
34.18 |
25.16 |
2.62 |
3 |
<0.10 |
0.148 |
E |
|
WSR04 |
20200604 |
Sunny |
Moderate |
Mid-Ebb |
Bottom |
7.5 |
10:50 |
8.28 |
8.1 |
34.22 |
25.01 |
2.19 |
3 |
<0.10 |
0.14 |
SE |
|
WSR04 |
20200604 |
Sunny |
Moderate |
Mid-Ebb |
Middle |
4.25 |
10:51 |
9.52 |
8.2 |
32.87 |
26.41 |
1.53 |
3 |
<0.10 |
0.133 |
E |
|
WSR04 |
20200604 |
Sunny |
Moderate |
Mid-Ebb |
Middle |
4.25 |
10:51 |
11.34 |
8.17 |
31.75 |
27.17 |
1.46 |
2 |
<0.10 |
0.148 |
E |
|
WSR04 |
20200604 |
Sunny |
Moderate |
Mid-Ebb |
Surface |
1 |
10:52 |
10.8 |
8.28 |
31.9 |
27.28 |
1.32 |
3 |
<0.10 |
0.181 |
SE |
|
WSR04 |
20200604 |
Sunny |
Moderate |
Mid-Ebb |
Surface |
1 |
10:52 |
10.21 |
8.19 |
31.85 |
27.38 |
2.06 |
3 |
<0.10 |
0.183 |
E |
|
WSR16 |
20200604 |
Sunny |
Moderate |
Mid-Ebb |
Bottom |
10.9 |
12:27 |
9.2 |
8.32 |
32.29 |
25.37 |
2.04 |
2 |
<0.10 |
0.202 |
SE |
|
WSR16 |
20200604 |
Sunny |
Moderate |
Mid-Ebb |
Bottom |
10.9 |
12:27 |
8.52 |
8.3 |
31.34 |
26.78 |
1.84 |
3 |
<0.10 |
0.206 |
SE |
|
WSR16 |
20200604 |
Sunny |
Moderate |
Mid-Ebb |
Middle |
5.95 |
12:28 |
10.38 |
8.23 |
32.34 |
26.89 |
1.42 |
2 |
<0.10 |
0.218 |
SE |
|
WSR16 |
20200604 |
Sunny |
Moderate |
Mid-Ebb |
Middle |
5.95 |
12:28 |
10.09 |
8.25 |
32.51 |
25.06 |
1.26 |
3 |
<0.10 |
0.228 |
E |
|
WSR16 |
20200604 |
Sunny |
Moderate |
Mid-Ebb |
Surface |
1 |
12:29 |
10.32 |
8.02 |
32.19 |
26.85 |
1.6 |
<2 |
<0.10 |
0.149 |
E |
|
WSR16 |
20200604 |
Sunny |
Moderate |
Mid-Ebb |
Surface |
1 |
12:29 |
8.67 |
8.23 |
31.24 |
25.35 |
1.4 |
<2 |
<0.10 |
0.175 |
SE |
|
WSR33 |
20200604 |
Sunny |
Moderate |
Mid-Ebb |
Bottom |
8.6 |
10:29 |
8.99 |
8.12 |
33.33 |
25.52 |
4.46 |
4 |
<0.10 |
0.165 |
E |
|
WSR33 |
20200604 |
Sunny |
Moderate |
Mid-Ebb |
Bottom |
8.6 |
10:29 |
8.18 |
8.12 |
33.52 |
25.27 |
1.56 |
4 |
<0.10 |
0.203 |
SE |
|
WSR33 |
20200604 |
Sunny |
Moderate |
Mid-Ebb |
Middle |
4.8 |
10:30 |
10.97 |
8.16 |
32.06 |
26.59 |
0.84 |
4 |
<0.10 |
0.206 |
E |
|
WSR33 |
20200604 |
Sunny |
Moderate |
Mid-Ebb |
Middle |
4.8 |
10:30 |
10.91 |
8.18 |
31.87 |
26.75 |
0.89 |
4 |
<0.10 |
0.152 |
SE |
|
WSR33 |
20200604 |
Sunny |
Moderate |
Mid-Ebb |
Surface |
1 |
10:31 |
11.38 |
8.29 |
31.33 |
27.7 |
0.73 |
4 |
<0.10 |
0.215 |
E |
|
WSR33 |
20200604 |
Sunny |
Moderate |
Mid-Ebb |
Surface |
1 |
10:31 |
11.44 |
8.22 |
31.25 |
28.01 |
0.69 |
4 |
<0.10 |
0.191 |
SE |
|
WSR36 |
20200604 |
Sunny |
Moderate |
Mid-Ebb |
Bottom |
8 |
10:13 |
10.55 |
8.12 |
33.57 |
25.54 |
0.87 |
2 |
<0.10 |
0.157 |
E |
|
WSR36 |
20200604 |
Sunny |
Moderate |
Mid-Ebb |
Bottom |
8 |
10:13 |
9.84 |
8.11 |
33.57 |
25.51 |
0.71 |
3 |
<0.10 |
0.211 |
E |
|
WSR36 |
20200604 |
Sunny |
Moderate |
Mid-Ebb |
Middle |
4.5 |
10:14 |
9.94 |
8.13 |
32.44 |
25.73 |
0.89 |
3 |
<0.10 |
0.177 |
E |
|
WSR36 |
20200604 |
Sunny |
Moderate |
Mid-Ebb |
Middle |
4.5 |
10:14 |
10.05 |
8.18 |
32.74 |
25.92 |
0.89 |
2 |
<0.10 |
0.183 |
SE |
|
WSR36 |
20200604 |
Sunny |
Moderate |
Mid-Ebb |
Surface |
1 |
10:15 |
10.42 |
8.27 |
32.16 |
27.27 |
0.87 |
4 |
<0.10 |
0.201 |
E |
|
WSR36 |
20200604 |
Sunny |
Moderate |
Mid-Ebb |
Surface |
1 |
10:15 |
10.08 |
8.23 |
32.08 |
27.32 |
0.84 |
3 |
<0.10 |
0.168 |
E |
|
WSR37 |
20200604 |
Sunny |
Moderate |
Mid-Ebb |
Bottom |
3.6 |
9:59 |
8.89 |
8.11 |
32.57 |
26.09 |
1.28 |
2 |
<0.10 |
0.141 |
SE |
|
WSR37 |
20200604 |
Sunny |
Moderate |
Mid-Ebb |
Bottom |
3.6 |
9:59 |
8.75 |
8.11 |
32.6 |
26.09 |
1.11 |
3 |
<0.10 |
0.175 |
E |
|
WSR37 |
20200604 |
Sunny |
Moderate |
Mid-Ebb |
Surface |
1 |
10:01 |
9.8 |
8.23 |
31.5 |
27.22 |
0.98 |
2 |
<0.10 |
0.184 |
E |
|
WSR37 |
20200604 |
Sunny |
Moderate |
Mid-Ebb |
Surface |
1 |
10:01 |
9.84 |
8.21 |
31.38 |
27.31 |
0.97 |
3 |
<0.10 |
0.202 |
SE |
|
CE |
20200604 |
Sunny |
Moderate |
Mid-Flood |
Bottom |
11.9 |
14:24 |
8.36 |
8.31 |
31.58 |
25.53 |
1.56 |
2 |
<0.10 |
0.184 |
NW |
|
CE |
20200604 |
Sunny |
Moderate |
Mid-Flood |
Bottom |
11.9 |
14:24 |
9.23 |
8.31 |
31.29 |
25.22 |
2.09 |
2 |
<0.10 |
0.163 |
NW |
|
CE |
20200604 |
Sunny |
Moderate |
Mid-Flood |
Middle |
6.45 |
14:25 |
9.24 |
8.2 |
31.69 |
25.74 |
1.28 |
2 |
<0.10 |
0.195 |
NW |
|
CE |
20200604 |
Sunny |
Moderate |
Mid-Flood |
Middle |
6.45 |
14:25 |
9.53 |
8.33 |
32.55 |
26.79 |
1.07 |
2 |
<0.10 |
0.196 |
NW |
|
CE |
20200604 |
Sunny |
Moderate |
Mid-Flood |
Surface |
1 |
14:26 |
9.18 |
8.12 |
31.85 |
25.82 |
1.14 |
2 |
<0.10 |
0.218 |
NW |
|
CE |
20200604 |
Sunny |
Moderate |
Mid-Flood |
Surface |
1 |
14:26 |
8.78 |
8.01 |
32.69 |
25.72 |
1.4 |
3 |
<0.10 |
0.18 |
N |
|
CF |
20200604 |
Sunny |
Moderate |
Mid-Flood |
Bottom |
11.8 |
14:21 |
8.44 |
8.05 |
31.78 |
25.67 |
1.96 |
<2 |
<0.10 |
0.178 |
W |
|
CF |
20200604 |
Sunny |
Moderate |
Mid-Flood |
Bottom |
11.8 |
14:21 |
8.64 |
8.12 |
31.82 |
25.42 |
1.5 |
<2 |
<0.10 |
0.163 |
W |
|
CF |
20200604 |
Sunny |
Moderate |
Mid-Flood |
Middle |
6.4 |
14:22 |
9.37 |
8.26 |
32.74 |
25.3 |
1.49 |
<2 |
<0.10 |
0.246 |
NW |
|
CF |
20200604 |
Sunny |
Moderate |
Mid-Flood |
Middle |
6.4 |
14:22 |
9.16 |
8.26 |
31.76 |
26.33 |
1.63 |
<2 |
<0.10 |
0.168 |
NW |
|
CF |
20200604 |
Sunny |
Moderate |
Mid-Flood |
Surface |
1 |
14:23 |
8.75 |
8.12 |
32.75 |
25.76 |
1.03 |
<2 |
<0.10 |
0.192 |
SW |
|
CF |
20200604 |
Sunny |
Moderate |
Mid-Flood |
Surface |
1 |
14:23 |
8.12 |
8.09 |
32.1 |
25.8 |
1.54 |
<2 |
<0.10 |
0.224 |
W |
|
NF1 |
20200604 |
Sunny |
Moderate |
Mid-Flood |
Bottom |
9.5 |
15:03 |
8.82 |
8.16 |
31.68 |
25.68 |
2.09 |
2 |
<0.10 |
0.185 |
W |
|
NF1 |
20200604 |
Sunny |
Moderate |
Mid-Flood |
Bottom |
9.5 |
15:03 |
9.26 |
8.01 |
32.21 |
25.77 |
1.48 |
2 |
<0.10 |
0.155 |
W |
|
NF1 |
20200604 |
Sunny |
Moderate |
Mid-Flood |
Middle |
5.25 |
15:04 |
8.8 |
8.12 |
32.82 |
26.55 |
1.42 |
<2 |
<0.10 |
0.152 |
W |
|
NF1 |
20200604 |
Sunny |
Moderate |
Mid-Flood |
Middle |
5.25 |
15:04 |
8.42 |
8.11 |
32.45 |
26.64 |
1.42 |
<2 |
<0.10 |
0.159 |
NW |
|
NF1 |
20200604 |
Sunny |
Moderate |
Mid-Flood |
Surface |
1 |
15:05 |
8.35 |
8.34 |
32.13 |
25.89 |
0.95 |
<2 |
<0.10 |
0.176 |
W |
|
NF1 |
20200604 |
Sunny |
Moderate |
Mid-Flood |
Surface |
1 |
15:05 |
8.75 |
8.25 |
31.73 |
25.29 |
1.18 |
<2 |
<0.10 |
0.155 |
NW |
|
NF2 |
20200604 |
Sunny |
Moderate |
Mid-Flood |
Bottom |
8.1 |
16:36 |
8.75 |
8.11 |
31.22 |
25.52 |
1.49 |
<2 |
<0.10 |
0.196 |
W |
|
NF2 |
20200604 |
Sunny |
Moderate |
Mid-Flood |
Bottom |
8.1 |
16:36 |
8.18 |
8.22 |
32.43 |
26.71 |
1.44 |
<2 |
<0.10 |
0.133 |
NW |
|
NF2 |
20200604 |
Sunny |
Moderate |
Mid-Flood |
Middle |
4.55 |
16:37 |
8.37 |
8.16 |
32.51 |
26.35 |
1.6 |
<2 |
<0.10 |
0.138 |
SW |
|
NF2 |
20200604 |
Sunny |
Moderate |
Mid-Flood |
Middle |
4.55 |
16:37 |
9.47 |
8.25 |
31.31 |
26.84 |
1.4 |
<2 |
<0.10 |
0.183 |
SW |
|
NF2 |
20200604 |
Sunny |
Moderate |
Mid-Flood |
Surface |
1 |
16:38 |
8.33 |
8.14 |
31.49 |
25.85 |
1.09 |
<2 |
<0.10 |
0.183 |
SW |
|
NF2 |
20200604 |
Sunny |
Moderate |
Mid-Flood |
Surface |
1 |
16:38 |
8.22 |
8.05 |
32.59 |
25.52 |
1.51 |
<2 |
<0.10 |
0.141 |
W |
|
NF3 |
20200604 |
Sunny |
Moderate |
Mid-Flood |
Bottom |
9.8 |
16:45 |
8.42 |
8.12 |
31.28 |
26.07 |
1.43 |
<2 |
<0.10 |
0.155 |
W |
|
NF3 |
20200604 |
Sunny |
Moderate |
Mid-Flood |
Bottom |
9.8 |
16:45 |
8.99 |
8.05 |
32.01 |
26.2 |
1.97 |
<2 |
<0.10 |
0.172 |
NW |
|
NF3 |
20200604 |
Sunny |
Moderate |
Mid-Flood |
Middle |
5.4 |
16:46 |
8.58 |
8.11 |
31.48 |
25.65 |
1.09 |
3 |
<0.10 |
0.138 |
NW |
|
NF3 |
20200604 |
Sunny |
Moderate |
Mid-Flood |
Middle |
5.4 |
16:46 |
8.64 |
8.27 |
31.81 |
26.82 |
1.49 |
2 |
<0.10 |
0.171 |
SW |
|
NF3 |
20200604 |
Sunny |
Moderate |
Mid-Flood |
Surface |
1 |
16:47 |
8.2 |
8.19 |
31.89 |
26.07 |
1.58 |
2 |
<0.10 |
0.171 |
W |
|
NF3 |
20200604 |
Sunny |
Moderate |
Mid-Flood |
Surface |
1 |
16:47 |
9.21 |
8.13 |
31.63 |
25.9 |
0.83 |
3 |
<0.10 |
0.168 |
SW |
|
WSR01 |
20200604 |
Sunny |
Moderate |
Mid-Flood |
Bottom |
8.2 |
17:04 |
8.52 |
8.33 |
31.65 |
25.88 |
1.41 |
2 |
<0.10 |
0.194 |
W |
|
WSR01 |
20200604 |
Sunny |
Moderate |
Mid-Flood |
Bottom |
8.2 |
17:04 |
8.19 |
8.09 |
31.67 |
26 |
1.59 |
2 |
<0.10 |
0.174 |
SW |
|
WSR01 |
20200604 |
Sunny |
Moderate |
Mid-Flood |
Middle |
4.6 |
17:05 |
8.37 |
8.3 |
31.19 |
25.99 |
1.46 |
2 |
<0.10 |
0.155 |
NW |
|
WSR01 |
20200604 |
Sunny |
Moderate |
Mid-Flood |
Middle |
4.6 |
17:05 |
9.4 |
8.26 |
31.72 |
26.33 |
1.34 |
2 |
<0.10 |
0.144 |
W |
|
WSR01 |
20200604 |
Sunny |
Moderate |
Mid-Flood |
Surface |
1 |
17:06 |
8.5 |
8.02 |
32.05 |
25.95 |
1.66 |
<2 |
<0.10 |
0.142 |
SW |
|
WSR01 |
20200604 |
Sunny |
Moderate |
Mid-Flood |
Surface |
1 |
17:06 |
8.9 |
8.11 |
32 |
26.64 |
0.84 |
<2 |
<0.10 |
0.155 |
W |
|
WSR02 |
20200604 |
Sunny |
Moderate |
Mid-Flood |
Bottom |
8.4 |
16:40 |
9.06 |
8.24 |
32.44 |
25.55 |
1.68 |
<2 |
<0.10 |
0.162 |
W |
|
WSR02 |
20200604 |
Sunny |
Moderate |
Mid-Flood |
Bottom |
8.4 |
16:40 |
8.55 |
8.26 |
31.32 |
25.76 |
1.82 |
<2 |
<0.10 |
0.148 |
W |
|
WSR02 |
20200604 |
Sunny |
Moderate |
Mid-Flood |
Middle |
4.7 |
16:41 |
9.38 |
8.08 |
32.25 |
26.31 |
1.64 |
<2 |
<0.10 |
0.162 |
NW |
|
WSR02 |
20200604 |
Sunny |
Moderate |
Mid-Flood |
Middle |
4.7 |
16:41 |
8.15 |
8.29 |
31.7 |
26.2 |
1.04 |
<2 |
<0.10 |
0.149 |
SW |
|
WSR02 |
20200604 |
Sunny |
Moderate |
Mid-Flood |
Surface |
1 |
16:42 |
9.05 |
8.04 |
32.64 |
26.4 |
1.32 |
<2 |
<0.10 |
0.183 |
W |
|
WSR02 |
20200604 |
Sunny |
Moderate |
Mid-Flood |
Surface |
1 |
16:42 |
9.19 |
8.06 |
31.44 |
25.17 |
1.33 |
<2 |
<0.10 |
0.156 |
SW |
|
WSR03 |
20200604 |
Sunny |
Moderate |
Mid-Flood |
Bottom |
7.4 |
16:19 |
9.05 |
8.18 |
32.44 |
25.92 |
1.89 |
<2 |
<0.10 |
0.15 |
NW |
|
WSR03 |
20200604 |
Sunny |
Moderate |
Mid-Flood |
Bottom |
7.4 |
16:19 |
8.45 |
8.23 |
31.59 |
26.7 |
1.97 |
<2 |
<0.10 |
0.159 |
W |
|
WSR03 |
20200604 |
Sunny |
Moderate |
Mid-Flood |
Middle |
4.2 |
16:20 |
8.3 |
8.33 |
32.68 |
25.93 |
1.29 |
<2 |
<0.10 |
0.159 |
SW |
|
WSR03 |
20200604 |
Sunny |
Moderate |
Mid-Flood |
Middle |
4.2 |
16:20 |
8.74 |
8.13 |
31.48 |
25.93 |
1.15 |
<2 |
<0.10 |
0.128 |
W |
|
WSR03 |
20200604 |
Sunny |
Moderate |
Mid-Flood |
Surface |
1 |
16:21 |
9.03 |
8.05 |
31.45 |
25.73 |
1.51 |
2 |
<0.10 |
0.169 |
NW |
|
WSR03 |
20200604 |
Sunny |
Moderate |
Mid-Flood |
Surface |
1 |
16:21 |
8.28 |
8.07 |
32.1 |
25.25 |
0.97 |
3 |
<0.10 |
0.162 |
W |
|
WSR04 |
20200604 |
Sunny |
Moderate |
Mid-Flood |
Bottom |
6.2 |
16:02 |
8.91 |
8.19 |
31.53 |
25.93 |
1.5 |
<2 |
<0.10 |
0.164 |
W |
|
WSR04 |
20200604 |
Sunny |
Moderate |
Mid-Flood |
Bottom |
6.2 |
16:02 |
8.63 |
8.02 |
32.28 |
25.16 |
1.9 |
<2 |
<0.10 |
0.189 |
W |
|
WSR04 |
20200604 |
Sunny |
Moderate |
Mid-Flood |
Middle |
3.6 |
16:03 |
8.38 |
8.14 |
32.21 |
25.07 |
1.02 |
2 |
<0.10 |
0.19 |
SW |
|
WSR04 |
20200604 |
Sunny |
Moderate |
Mid-Flood |
Middle |
3.6 |
16:03 |
8.36 |
8.34 |
31.86 |
26.77 |
1.68 |
2 |
<0.10 |
0.163 |
SW |
|
WSR04 |
20200604 |
Sunny |
Moderate |
Mid-Flood |
Surface |
1 |
16:04 |
8.82 |
8.16 |
32.73 |
26.14 |
1.07 |
2 |
<0.10 |
0.162 |
W |
|
WSR04 |
20200604 |
Sunny |
Moderate |
Mid-Flood |
Surface |
1 |
16:04 |
9.18 |
8.33 |
31.84 |
26.67 |
0.84 |
2 |
<0.10 |
0.171 |
W |
|
WSR16 |
20200604 |
Sunny |
Moderate |
Mid-Flood |
Bottom |
11.2 |
14:43 |
8.55 |
8.17 |
32.71 |
25.53 |
1.95 |
2 |
<0.10 |
0.165 |
N |
|
WSR16 |
20200604 |
Sunny |
Moderate |
Mid-Flood |
Bottom |
11.2 |
14:43 |
9.06 |
8.15 |
31.78 |
25.09 |
2.13 |
2 |
<0.10 |
0.183 |
N |
|
WSR16 |
20200604 |
Sunny |
Moderate |
Mid-Flood |
Middle |
6.1 |
14:44 |
9.54 |
8.24 |
31.47 |
25.97 |
1.56 |
2 |
<0.10 |
0.182 |
NW |
|
WSR16 |
20200604 |
Sunny |
Moderate |
Mid-Flood |
Middle |
6.1 |
14:44 |
9.22 |
8.31 |
32.72 |
26.38 |
0.88 |
2 |
<0.10 |
0.222 |
NW |
|
WSR16 |
20200604 |
Sunny |
Moderate |
Mid-Flood |
Surface |
1 |
14:45 |
9.54 |
8.18 |
32.47 |
26.91 |
1.48 |
<2 |
<0.10 |
0.213 |
N |
|
WSR16 |
20200604 |
Sunny |
Moderate |
Mid-Flood |
Surface |
1 |
14:45 |
8.11 |
8.18 |
31.88 |
25.42 |
0.89 |
<2 |
<0.10 |
0.207 |
NW |
|
WSR33 |
20200604 |
Sunny |
Moderate |
Mid-Flood |
Bottom |
6.7 |
15:45 |
8.43 |
8.13 |
31.7 |
25.39 |
1.57 |
<2 |
<0.10 |
0.158 |
W |
|
WSR33 |
20200604 |
Sunny |
Moderate |
Mid-Flood |
Bottom |
6.7 |
15:45 |
9.12 |
8.03 |
32.17 |
25.46 |
1.41 |
<2 |
<0.10 |
0.15 |
W |
|
WSR33 |
20200604 |
Sunny |
Moderate |
Mid-Flood |
Middle |
3.85 |
15:46 |
8.39 |
8.33 |
31.4 |
25.94 |
1.68 |
<2 |
<0.10 |
0.167 |
W |
|
WSR33 |
20200604 |
Sunny |
Moderate |
Mid-Flood |
Middle |
3.85 |
15:46 |
9.43 |
8.14 |
32.69 |
26.3 |
1.2 |
<2 |
<0.10 |
0.19 |
W |
|
WSR33 |
20200604 |
Sunny |
Moderate |
Mid-Flood |
Surface |
1 |
15:47 |
9.18 |
8.12 |
31.58 |
26.03 |
0.82 |
<2 |
<0.10 |
0.177 |
SW |
|
WSR33 |
20200604 |
Sunny |
Moderate |
Mid-Flood |
Surface |
1 |
15:47 |
9.22 |
8.14 |
31.98 |
25.3 |
0.97 |
<2 |
<0.10 |
0.194 |
SW |
|
WSR36 |
20200604 |
Sunny |
Moderate |
Mid-Flood |
Bottom |
4.3 |
15:32 |
8.75 |
8.31 |
31.95 |
25.28 |
1.72 |
<2 |
<0.10 |
0.18 |
W |
|
WSR36 |
20200604 |
Sunny |
Moderate |
Mid-Flood |
Bottom |
4.3 |
15:32 |
8.77 |
8.24 |
32.63 |
25.28 |
1.85 |
<2 |
<0.10 |
0.142 |
W |
|
WSR36 |
20200604 |
Sunny |
Moderate |
Mid-Flood |
Surface |
1 |
15:33 |
8.16 |
8.33 |
31.32 |
25.64 |
1.05 |
<2 |
<0.10 |
0.19 |
W |
|
WSR36 |
20200604 |
Sunny |
Moderate |
Mid-Flood |
Surface |
1 |
15:33 |
9.04 |
8.16 |
31.99 |
26.93 |
1.59 |
<2 |
<0.10 |
0.16 |
W |
|
WSR37 |
20200604 |
Sunny |
Moderate |
Mid-Flood |
Bottom |
6.7 |
15:15 |
8.82 |
8.33 |
32.76 |
25.34 |
1.72 |
<2 |
<0.10 |
0.196 |
W |
|
WSR37 |
20200604 |
Sunny |
Moderate |
Mid-Flood |
Bottom |
6.7 |
15:15 |
8.49 |
8.31 |
31.34 |
26.12 |
1.6 |
<2 |
<0.10 |
0.196 |
W |
|
WSR37 |
20200604 |
Sunny |
Moderate |
Mid-Flood |
Middle |
3.85 |
15:16 |
8.53 |
8.19 |
32.36 |
25.83 |
1.08 |
<2 |
<0.10 |
0.17 |
W |
|
WSR37 |
20200604 |
Sunny |
Moderate |
Mid-Flood |
Middle |
3.85 |
15:16 |
8.97 |
8.15 |
31.74 |
26.38 |
1.06 |
<2 |
<0.10 |
0.16 |
W |
|
WSR37 |
20200604 |
Sunny |
Moderate |
Mid-Flood |
Surface |
1 |
15:17 |
8.15 |
8.14 |
31.25 |
26.55 |
0.99 |
<2 |
<0.10 |
0.182 |
W |
|
WSR37 |
20200604 |
Sunny |
Moderate |
Mid-Flood |
Surface |
1 |
15:17 |
9.01 |
8.01 |
31.92 |
25.93 |
1 |
<2 |
<0.10 |
0.16 |
W |
|
CE |
20200606 |
Rainy |
Moderate |
Mid-Ebb |
Bottom |
10.8 |
10:45 |
8.79 |
8.16 |
31 |
26.38 |
1.74 |
9 |
<0.10 |
0.381 |
SE |
|
CE |
20200606 |
Rainy |
Moderate |
Mid-Ebb |
Bottom |
10.8 |
10:45 |
8.99 |
8.04 |
30.66 |
26.43 |
1.38 |
8 |
<0.10 |
0.278 |
SE |
|
CE |
20200606 |
Rainy |
Moderate |
Mid-Ebb |
Middle |
5.9 |
10:46 |
9.59 |
8.08 |
31.16 |
25.99 |
1.24 |
9 |
<0.10 |
0.403 |
SE |
|
CE |
20200606 |
Rainy |
Moderate |
Mid-Ebb |
Middle |
5.9 |
10:46 |
9.61 |
8.24 |
31.53 |
25.45 |
0.91 |
8 |
<0.10 |
0.372 |
SE |
|
CE |
20200606 |
Rainy |
Moderate |
Mid-Ebb |
Surface |
1 |
10:47 |
9.12 |
8.13 |
31.18 |
25.72 |
1.14 |
9 |
<0.10 |
0.335 |
E |
|
CE |
20200606 |
Rainy |
Moderate |
Mid-Ebb |
Surface |
1 |
10:47 |
9.6 |
8.25 |
31.07 |
25.74 |
1 |
9 |
<0.10 |
0.341 |
SE |
|
CF |
20200606 |
Rainy |
Moderate |
Mid-Ebb |
Bottom |
11.1 |
10:50 |
9.78 |
8.1 |
31.78 |
26.34 |
1.67 |
11 |
<0.10 |
0.16 |
E |
|
CF |
20200606 |
Rainy |
Moderate |
Mid-Ebb |
Bottom |
11.1 |
10:50 |
9.26 |
8.12 |
31.62 |
26.22 |
1.9 |
10 |
<0.10 |
0.187 |
SE |
|
CF |
20200606 |
Rainy |
Moderate |
Mid-Ebb |
Middle |
6.05 |
10:51 |
8.46 |
8.12 |
31.22 |
25.56 |
1.28 |
10 |
<0.10 |
0.211 |
E |
|
CF |
20200606 |
Rainy |
Moderate |
Mid-Ebb |
Middle |
6.05 |
10:51 |
9.28 |
8.08 |
30.69 |
25.87 |
1.26 |
10 |
<0.10 |
0.192 |
E |
|
CF |
20200606 |
Rainy |
Moderate |
Mid-Ebb |
Surface |
1 |
10:52 |
9.33 |
8.1 |
31.12 |
26.15 |
1.03 |
10 |
<0.10 |
0.201 |
E |
|
CF |
20200606 |
Rainy |
Moderate |
Mid-Ebb |
Surface |
1 |
10:52 |
8.74 |
8.17 |
31 |
26.16 |
1.17 |
9 |
<0.10 |
0.161 |
E |
|
NF1 |
20200606 |
Rainy |
Moderate |
Mid-Ebb |
Bottom |
9.5 |
11:28 |
9.57 |
8.15 |
31.63 |
25.61 |
1.85 |
6 |
<0.10 |
0.17 |
SE |
|
NF1 |
20200606 |
Rainy |
Moderate |
Mid-Ebb |
Bottom |
9.5 |
11:28 |
9.02 |
8.06 |
31.83 |
25.62 |
1.44 |
7 |
<0.10 |
0.138 |
SE |
|
NF1 |
20200606 |
Rainy |
Moderate |
Mid-Ebb |
Middle |
5.25 |
11:29 |
8.7 |
8.19 |
31.25 |
26.11 |
1.52 |
5 |
<0.10 |
0.159 |
SE |
|
NF1 |
20200606 |
Rainy |
Moderate |
Mid-Ebb |
Middle |
5.25 |
11:29 |
9.54 |
8.06 |
31.05 |
25.49 |
1.25 |
5 |
<0.10 |
0.153 |
E |
|
NF1 |
20200606 |
Rainy |
Moderate |
Mid-Ebb |
Surface |
1 |
11:30 |
9.16 |
8.13 |
30.4 |
26.32 |
1.05 |
5 |
<0.10 |
0.207 |
SE |
|
NF1 |
20200606 |
Rainy |
Moderate |
Mid-Ebb |
Surface |
1 |
11:30 |
8.57 |
8.03 |
31.87 |
25.46 |
1.48 |
5 |
<0.10 |
0.216 |
E |
|
NF2 |
20200606 |
Rainy |
Moderate |
Mid-Ebb |
Bottom |
7.9 |
13:02 |
9.12 |
8.13 |
30.56 |
26.09 |
1.59 |
6 |
<0.10 |
0.145 |
SE |
|
NF2 |
20200606 |
Rainy |
Moderate |
Mid-Ebb |
Bottom |
7.9 |
13:02 |
9.34 |
8.12 |
30.54 |
26.21 |
1.53 |
4 |
<0.10 |
0.147 |
SE |
|
NF2 |
20200606 |
Rainy |
Moderate |
Mid-Ebb |
Middle |
4.45 |
13:03 |
9.2 |
8.14 |
31.24 |
25.99 |
0.89 |
5 |
<0.10 |
0.211 |
SE |
|
NF2 |
20200606 |
Rainy |
Moderate |
Mid-Ebb |
Middle |
4.45 |
13:03 |
9.07 |
8.06 |
31.81 |
25.69 |
1.27 |
6 |
<0.10 |
0.186 |
SE |
|
NF2 |
20200606 |
Rainy |
Moderate |
Mid-Ebb |
Surface |
1 |
13:04 |
8.88 |
8.17 |
30.64 |
25.46 |
1.3 |
6 |
<0.10 |
0.195 |
SE |
|
NF2 |
20200606 |
Rainy |
Moderate |
Mid-Ebb |
Surface |
1 |
13:04 |
9.75 |
8.08 |
31.16 |
25.92 |
1.06 |
5 |
<0.10 |
0.144 |
SE |
|
NF3 |
20200606 |
Rainy |
Moderate |
Mid-Ebb |
Bottom |
9.5 |
13:13 |
8.79 |
8.16 |
31.42 |
26.16 |
1.84 |
7 |
<0.10 |
0.137 |
SE |
|
NF3 |
20200606 |
Rainy |
Moderate |
Mid-Ebb |
Bottom |
9.5 |
13:13 |
8.91 |
8.24 |
31.62 |
25.89 |
1.62 |
6 |
<0.10 |
0.205 |
SE |
|
NF3 |
20200606 |
Rainy |
Moderate |
Mid-Ebb |
Middle |
5.25 |
13:14 |
9.43 |
8.13 |
30.65 |
25.52 |
1.57 |
5 |
<0.10 |
0.221 |
E |
|
NF3 |
20200606 |
Rainy |
Moderate |
Mid-Ebb |
Middle |
5.25 |
13:14 |
9.44 |
8.24 |
30.55 |
25.7 |
0.97 |
5 |
<0.10 |
0.188 |
E |
|
NF3 |
20200606 |
Rainy |
Moderate |
Mid-Ebb |
Surface |
1 |
13:15 |
9.21 |
8.08 |
31.49 |
26.3 |
0.97 |
3 |
<0.10 |
0.182 |
SE |
|
NF3 |
20200606 |
Rainy |
Moderate |
Mid-Ebb |
Surface |
1 |
13:15 |
9.24 |
8.25 |
31.27 |
26.24 |
1.39 |
4 |
<0.10 |
0.13 |
SE |
|
WSR01 |
20200606 |
Rainy |
Moderate |
Mid-Ebb |
Bottom |
7.5 |
13:37 |
9.44 |
8.2 |
31.6 |
25.78 |
1.32 |
10 |
<0.10 |
0.168 |
SE |
|
WSR01 |
20200606 |
Rainy |
Moderate |
Mid-Ebb |
Bottom |
7.5 |
13:37 |
8.51 |
8.07 |
30.99 |
25.95 |
1.3 |
11 |
<0.10 |
0.168 |
SE |
|
WSR01 |
20200606 |
Rainy |
Moderate |
Mid-Ebb |
Middle |
4.25 |
13:38 |
9.08 |
8.19 |
31.18 |
25.88 |
1.39 |
10 |
<0.10 |
0.202 |
SE |
|
WSR01 |
20200606 |
Rainy |
Moderate |
Mid-Ebb |
Middle |
4.25 |
13:38 |
8.65 |
8.05 |
30.95 |
25.71 |
1.27 |
10 |
<0.10 |
0.192 |
E |
|
WSR01 |
20200606 |
Rainy |
Moderate |
Mid-Ebb |
Surface |
1 |
13:39 |
9.21 |
8.18 |
30.41 |
26.43 |
1.42 |
9 |
<0.10 |
0.154 |
E |
|
WSR01 |
20200606 |
Rainy |
Moderate |
Mid-Ebb |
Surface |
1 |
13:39 |
9.64 |
8.18 |
30.66 |
25.56 |
1.56 |
9 |
<0.10 |
0.13 |
E |
|
WSR02 |
20200606 |
Rainy |
Moderate |
Mid-Ebb |
Bottom |
8.1 |
13:14 |
9.58 |
8.2 |
31.59 |
26.41 |
1.54 |
9 |
<0.10 |
0.207 |
SE |
|
WSR02 |
20200606 |
Rainy |
Moderate |
Mid-Ebb |
Bottom |
8.1 |
13:14 |
9.02 |
8.21 |
31.42 |
25.64 |
1.3 |
9 |
<0.10 |
0.133 |
SE |
|
WSR02 |
20200606 |
Rainy |
Moderate |
Mid-Ebb |
Middle |
4.55 |
13:15 |
9.51 |
8.1 |
30.78 |
25.45 |
1.5 |
10 |
<0.10 |
0.144 |
SE |
|
WSR02 |
20200606 |
Rainy |
Moderate |
Mid-Ebb |
Middle |
4.55 |
13:15 |
8.86 |
8.25 |
30.68 |
25.49 |
1.54 |
9 |
<0.10 |
0.13 |
E |
|
WSR02 |
20200606 |
Rainy |
Moderate |
Mid-Ebb |
Surface |
1 |
13:16 |
8.48 |
8.2 |
31.63 |
25.9 |
1.36 |
11 |
<0.10 |
0.218 |
SE |
|
WSR02 |
20200606 |
Rainy |
Moderate |
Mid-Ebb |
Surface |
1 |
13:16 |
9.75 |
8.16 |
31.52 |
25.92 |
0.96 |
11 |
<0.10 |
0.203 |
SE |
|
WSR03 |
20200606 |
Rainy |
Moderate |
Mid-Ebb |
Bottom |
6.2 |
12:44 |
8.56 |
8.19 |
31.45 |
25.69 |
1.54 |
8 |
<0.10 |
0.22 |
SE |
|
WSR03 |
20200606 |
Rainy |
Moderate |
Mid-Ebb |
Bottom |
6.2 |
12:44 |
9.1 |
8.16 |
31.53 |
26.43 |
1.54 |
9 |
<0.10 |
0.185 |
SE |
|
WSR03 |
20200606 |
Rainy |
Moderate |
Mid-Ebb |
Middle |
3.6 |
12:45 |
9.68 |
8.18 |
31.05 |
25.71 |
1.44 |
8 |
<0.10 |
0.206 |
SE |
|
WSR03 |
20200606 |
Rainy |
Moderate |
Mid-Ebb |
Middle |
3.6 |
12:45 |
8.77 |
8.18 |
31.45 |
25.53 |
1.59 |
9 |
<0.10 |
0.213 |
E |
|
WSR03 |
20200606 |
Rainy |
Moderate |
Mid-Ebb |
Surface |
1 |
12:46 |
9.18 |
8.03 |
30.64 |
25.46 |
0.85 |
8 |
<0.10 |
0.212 |
E |
|
WSR03 |
20200606 |
Rainy |
Moderate |
Mid-Ebb |
Surface |
1 |
12:46 |
9 |
8.14 |
30.79 |
25.51 |
1.6 |
9 |
<0.10 |
0.198 |
SE |
|
WSR04 |
20200606 |
Rainy |
Moderate |
Mid-Ebb |
Bottom |
5.5 |
12:26 |
9.52 |
8.14 |
31.36 |
26.33 |
1.82 |
8 |
<0.10 |
0.149 |
SE |
|
WSR04 |
20200606 |
Rainy |
Moderate |
Mid-Ebb |
Bottom |
5.5 |
12:26 |
8.68 |
8.19 |
31.8 |
25.77 |
1.51 |
8 |
<0.10 |
0.138 |
SE |
|
WSR04 |
20200606 |
Rainy |
Moderate |
Mid-Ebb |
Middle |
3.25 |
12:27 |
9.17 |
8.07 |
30.97 |
25.54 |
1.5 |
8 |
<0.10 |
0.169 |
E |
|
WSR04 |
20200606 |
Rainy |
Moderate |
Mid-Ebb |
Middle |
3.25 |
12:27 |
8.83 |
8.14 |
31.72 |
26.35 |
1.64 |
8 |
<0.10 |
0.163 |
E |
|
WSR04 |
20200606 |
Rainy |
Moderate |
Mid-Ebb |
Surface |
1 |
12:28 |
9.35 |
8.16 |
30.58 |
25.77 |
1.48 |
9 |
<0.10 |
0.139 |
E |
|
WSR04 |
20200606 |
Rainy |
Moderate |
Mid-Ebb |
Surface |
1 |
12:28 |
8.99 |
8.19 |
31.88 |
26.26 |
1.54 |
9 |
<0.10 |
0.163 |
SE |
|
WSR16 |
20200606 |
Rainy |
Moderate |
Mid-Ebb |
Bottom |
11 |
11:07 |
8.71 |
8.09 |
31.05 |
26.11 |
1.62 |
7 |
<0.10 |
0.231 |
SE |
|
WSR16 |
20200606 |
Rainy |
Moderate |
Mid-Ebb |
Bottom |
11 |
11:07 |
8.6 |
8.13 |
31.27 |
25.84 |
1.36 |
7 |
<0.10 |
0.193 |
SE |
|
WSR16 |
20200606 |
Rainy |
Moderate |
Mid-Ebb |
Middle |
6 |
11:08 |
9.19 |
8.17 |
31.19 |
26.27 |
1.56 |
9 |
<0.10 |
0.224 |
SE |
|
WSR16 |
20200606 |
Rainy |
Moderate |
Mid-Ebb |
Middle |
6 |
11:08 |
9.68 |
8.08 |
30.6 |
25.79 |
1 |
8 |
<0.10 |
0.226 |
E |
|
WSR16 |
20200606 |
Rainy |
Moderate |
Mid-Ebb |
Surface |
1 |
11:09 |
9.06 |
8.12 |
31.69 |
25.55 |
1.19 |
8 |
<0.10 |
0.205 |
E |
|
WSR16 |
20200606 |
Rainy |
Moderate |
Mid-Ebb |
Surface |
1 |
11:09 |
8.7 |
8.04 |
30.56 |
25.81 |
1.12 |
9 |
<0.10 |
0.217 |
E |
|
WSR33 |
20200606 |
Rainy |
Moderate |
Mid-Ebb |
Bottom |
6.3 |
12:08 |
8.69 |
8.09 |
30.4 |
26.37 |
1.94 |
8 |
<0.10 |
0.193 |
E |
|
WSR33 |
20200606 |
Rainy |
Moderate |
Mid-Ebb |
Bottom |
6.3 |
12:08 |
9.17 |
8.15 |
30.75 |
25.85 |
1.89 |
7 |
<0.10 |
0.197 |
E |
|
WSR33 |
20200606 |
Rainy |
Moderate |
Mid-Ebb |
Middle |
3.65 |
12:09 |
9.58 |
8.04 |
31.58 |
25.53 |
1.19 |
9 |
<0.10 |
0.132 |
E |
|
WSR33 |
20200606 |
Rainy |
Moderate |
Mid-Ebb |
Middle |
3.65 |
12:09 |
9.26 |
8.14 |
31.16 |
25.73 |
1.28 |
8 |
<0.10 |
0.15 |
SE |
|
WSR33 |
20200606 |
Rainy |
Moderate |
Mid-Ebb |
Surface |
1 |
12:10 |
9.73 |
8.12 |
30.54 |
25.65 |
0.94 |
9 |
<0.10 |
0.209 |
E |
|
WSR33 |
20200606 |
Rainy |
Moderate |
Mid-Ebb |
Surface |
1 |
12:10 |
8.86 |
8.09 |
30.98 |
25.76 |
1.03 |
8 |
<0.10 |
0.144 |
SE |
|
WSR36 |
20200606 |
Rainy |
Moderate |
Mid-Ebb |
Bottom |
4.6 |
11:56 |
9.07 |
8.08 |
31.18 |
25.78 |
1.94 |
7 |
<0.10 |
0.149 |
E |
|
WSR36 |
20200606 |
Rainy |
Moderate |
Mid-Ebb |
Bottom |
4.6 |
11:56 |
8.59 |
8.25 |
30.79 |
26.33 |
1.52 |
7 |
<0.10 |
0.199 |
E |
|
WSR36 |
20200606 |
Rainy |
Moderate |
Mid-Ebb |
Surface |
1 |
11:57 |
9.25 |
8.24 |
31.62 |
25.96 |
0.95 |
6 |
<0.10 |
0.165 |
SE |
|
WSR36 |
20200606 |
Rainy |
Moderate |
Mid-Ebb |
Surface |
1 |
11:57 |
8.44 |
8.25 |
30.64 |
25.81 |
1.14 |
6 |
<0.10 |
0.183 |
SE |
|
WSR37 |
20200606 |
Rainy |
Moderate |
Mid-Ebb |
Bottom |
6.6 |
11:39 |
9.59 |
8.16 |
31.36 |
25.67 |
1.39 |
7 |
<0.10 |
0.177 |
SE |
|
WSR37 |
20200606 |
Rainy |
Moderate |
Mid-Ebb |
Bottom |
6.6 |
11:39 |
9.05 |
8.13 |
30.59 |
25.86 |
1.48 |
7 |
<0.10 |
0.167 |
E |
|
WSR37 |
20200606 |
Rainy |
Moderate |
Mid-Ebb |
Middle |
3.8 |
11:40 |
9.73 |
8.21 |
30.77 |
25.87 |
1.47 |
5 |
<0.10 |
0.171 |
SE |
|
WSR37 |
20200606 |
Rainy |
Moderate |
Mid-Ebb |
Middle |
3.8 |
11:40 |
8.57 |
8.08 |
31.58 |
25.6 |
1.55 |
6 |
<0.10 |
0.21 |
SE |
|
WSR37 |
20200606 |
Rainy |
Moderate |
Mid-Ebb |
Surface |
1 |
11:41 |
8.93 |
8.05 |
30.75 |
25.95 |
1.14 |
5 |
<0.10 |
0.173 |
E |
|
WSR37 |
20200606 |
Rainy |
Moderate |
Mid-Ebb |
Surface |
1 |
11:41 |
9.38 |
8.06 |
31.28 |
26.44 |
1.03 |
5 |
<0.10 |
0.138 |
SE |
|
CE |
20200606 |
Rainy |
Moderate |
Mid-Flood |
Bottom |
11.2 |
16:01 |
9.29 |
8.21 |
30.91 |
27.83 |
1.39 |
12 |
<0.10 |
0.16 |
NW |
|
CE |
20200606 |
Rainy |
Moderate |
Mid-Flood |
Bottom |
11.2 |
16:01 |
8.91 |
8.29 |
31.67 |
27.54 |
1.41 |
13 |
<0.10 |
0.189 |
NW |
|
CE |
20200606 |
Rainy |
Moderate |
Mid-Flood |
Middle |
6.1 |
16:02 |
9.61 |
8.2 |
30.55 |
27.15 |
1.49 |
12 |
<0.10 |
0.159 |
NW |
|
CE |
20200606 |
Rainy |
Moderate |
Mid-Flood |
Middle |
6.1 |
16:02 |
9.45 |
8.17 |
31.53 |
27.67 |
1.22 |
13 |
<0.10 |
0.213 |
N |
|
CE |
20200606 |
Rainy |
Moderate |
Mid-Flood |
Surface |
1 |
16:03 |
9.36 |
8.27 |
31.29 |
27.7 |
1.47 |
11 |
<0.10 |
0.216 |
NW |
|
CE |
20200606 |
Rainy |
Moderate |
Mid-Flood |
Surface |
1 |
16:03 |
9.02 |
8.21 |
31.09 |
27.19 |
1.38 |
10 |
<0.10 |
0.166 |
NW |
|
CF |
20200606 |
Rainy |
Moderate |
Mid-Flood |
Bottom |
11.4 |
16:00 |
9.07 |
8.24 |
31.2 |
27.58 |
1.49 |
11 |
<0.10 |
0.231 |
W |
|
CF |
20200606 |
Rainy |
Moderate |
Mid-Flood |
Bottom |
11.4 |
16:00 |
9.41 |
8.17 |
30.69 |
27.87 |
1.87 |
12 |
<0.10 |
0.181 |
NW |
|
CF |
20200606 |
Rainy |
Moderate |
Mid-Flood |
Middle |
6.2 |
16:01 |
9.44 |
8.08 |
30.65 |
27.84 |
1.52 |
12 |
<0.10 |
0.181 |
W |
|
CF |
20200606 |
Rainy |
Moderate |
Mid-Flood |
Middle |
6.2 |
16:01 |
8.65 |
8.31 |
31.74 |
27.4 |
1.32 |
11 |
<0.10 |
0.185 |
SW |
|
CF |
20200606 |
Rainy |
Moderate |
Mid-Flood |
Surface |
1 |
16:02 |
8.98 |
8.32 |
30.96 |
27.21 |
1.06 |
10 |
<0.10 |
0.222 |
W |
|
CF |
20200606 |
Rainy |
Moderate |
Mid-Flood |
Surface |
1 |
16:02 |
9.06 |
8.21 |
30.51 |
27.47 |
0.91 |
10 |
<0.10 |
0.167 |
W |
|
NF1 |
20200606 |
Rainy |
Moderate |
Mid-Flood |
Bottom |
10.4 |
16:44 |
8.74 |
8.11 |
31.31 |
27.24 |
1.37 |
9 |
<0.10 |
0.18 |
W |
|
NF1 |
20200606 |
Rainy |
Moderate |
Mid-Flood |
Bottom |
10.4 |
16:44 |
9.24 |
8.15 |
31.27 |
27.57 |
1.35 |
8 |
<0.10 |
0.167 |
W |
|
NF1 |
20200606 |
Rainy |
Moderate |
Mid-Flood |
Middle |
5.7 |
16:45 |
8.53 |
8.08 |
31.12 |
27.23 |
1.08 |
11 |
<0.10 |
0.166 |
W |
|
NF1 |
20200606 |
Rainy |
Moderate |
Mid-Flood |
Middle |
5.7 |
16:45 |
9.36 |
8.07 |
31.8 |
27.26 |
1.19 |
10 |
<0.10 |
0.186 |
W |
|
NF1 |
20200606 |
Rainy |
Moderate |
Mid-Flood |
Surface |
1 |
16:46 |
8.74 |
8.14 |
31.63 |
27.49 |
1.38 |
10 |
<0.10 |
0.131 |
W |
|
NF1 |
20200606 |
Rainy |
Moderate |
Mid-Flood |
Surface |
1 |
16:46 |
9.39 |
8.09 |
30.97 |
27.21 |
1.03 |
11 |
<0.10 |
0.188 |
W |
|
NF2 |
20200606 |
Rainy |
Moderate |
Mid-Flood |
Bottom |
9.6 |
18:18 |
8.8 |
8.29 |
30.55 |
27.36 |
1.99 |
10 |
<0.10 |
0.171 |
SW |
|
NF2 |
20200606 |
Rainy |
Moderate |
Mid-Flood |
Bottom |
9.6 |
18:18 |
9.86 |
8.3 |
31.44 |
27.62 |
1.35 |
9 |
<0.10 |
0.166 |
NW |
|
NF2 |
20200606 |
Rainy |
Moderate |
Mid-Flood |
Middle |
5.3 |
18:19 |
9.91 |
8.24 |
31.82 |
27.59 |
1.49 |
9 |
<0.10 |
0.18 |
SW |
|
NF2 |
20200606 |
Rainy |
Moderate |
Mid-Flood |
Middle |
5.3 |
18:19 |
10.08 |
8.15 |
31.67 |
27.67 |
1.39 |
9 |
<0.10 |
0.157 |
W |
|
NF2 |
20200606 |
Rainy |
Moderate |
Mid-Flood |
Surface |
1 |
18:20 |
10.11 |
8.32 |
31.5 |
27.52 |
0.82 |
8 |
<0.10 |
0.192 |
SW |
|
NF2 |
20200606 |
Rainy |
Moderate |
Mid-Flood |
Surface |
1 |
18:20 |
9.68 |
8.23 |
31.25 |
27.17 |
1.43 |
9 |
<0.10 |
0.183 |
NW |
|
NF3 |
20200606 |
Rainy |
Moderate |
Mid-Flood |
Bottom |
10.1 |
18:27 |
8.93 |
8.17 |
31.57 |
27.73 |
1.74 |
10 |
<0.10 |
0.161 |
W |
|
NF3 |
20200606 |
Rainy |
Moderate |
Mid-Flood |
Bottom |
10.1 |
18:27 |
8.52 |
8.29 |
31.34 |
27.5 |
1.54 |
10 |
<0.10 |
0.193 |
W |
|
NF3 |
20200606 |
Rainy |
Moderate |
Mid-Flood |
Middle |
5.55 |
18:28 |
9.27 |
8.07 |
31.03 |
27.26 |
1.08 |
8 |
<0.10 |
0.154 |
W |
|
NF3 |
20200606 |
Rainy |
Moderate |
Mid-Flood |
Middle |
5.55 |
18:28 |
8.8 |
8.2 |
31.2 |
27.63 |
0.96 |
9 |
<0.10 |
0.158 |
W |
|
NF3 |
20200606 |
Rainy |
Moderate |
Mid-Flood |
Surface |
1 |
18:29 |
10.11 |
8.32 |
31.29 |
27.87 |
1.2 |
8 |
<0.10 |
0.168 |
W |
|
NF3 |
20200606 |
Rainy |
Moderate |
Mid-Flood |
Surface |
1 |
18:29 |
9.4 |
8.3 |
30.5 |
27.14 |
1 |
8 |
<0.10 |
0.131 |
W |
|
WSR01 |
20200606 |
Rainy |
Moderate |
Mid-Flood |
Bottom |
7.9 |
18:51 |
9.15 |
8.2 |
30.87 |
27.35 |
2.06 |
12 |
<0.10 |
0.185 |
NW |
|
WSR01 |
20200606 |
Rainy |
Moderate |
Mid-Flood |
Bottom |
7.9 |
18:51 |
8.78 |
8.24 |
31.75 |
27.82 |
1.78 |
13 |
<0.10 |
0.149 |
SW |
|
WSR01 |
20200606 |
Rainy |
Moderate |
Mid-Flood |
Middle |
4.45 |
18:52 |
9.55 |
8.1 |
31.36 |
27.23 |
1.1 |
12 |
<0.10 |
0.178 |
W |
|
WSR01 |
20200606 |
Rainy |
Moderate |
Mid-Flood |
Middle |
4.45 |
18:52 |
9.84 |
8.21 |
31.62 |
27.33 |
1.27 |
11 |
<0.10 |
0.182 |
W |
|
WSR01 |
20200606 |
Rainy |
Moderate |
Mid-Flood |
Surface |
1 |
18:53 |
9.5 |
8.25 |
30.79 |
27.7 |
1.32 |
10 |
<0.10 |
0.144 |
NW |
|
WSR01 |
20200606 |
Rainy |
Moderate |
Mid-Flood |
Surface |
1 |
18:53 |
8.65 |
8.27 |
31.31 |
27.26 |
1.22 |
11 |
<0.10 |
0.139 |
W |
|
WSR02 |
20200606 |
Rainy |
Moderate |
Mid-Flood |
Bottom |
8.7 |
18:28 |
9.33 |
8.21 |
31.82 |
27.56 |
1.41 |
11 |
<0.10 |
0.161 |
W |
|
WSR02 |
20200606 |
Rainy |
Moderate |
Mid-Flood |
Bottom |
8.7 |
18:28 |
8.58 |
8.28 |
31.72 |
27.78 |
1.4 |
10 |
<0.10 |
0.177 |
W |
|
WSR02 |
20200606 |
Rainy |
Moderate |
Mid-Flood |
Middle |
4.85 |
18:29 |
9.2 |
8.27 |
31.38 |
27.8 |
1.03 |
12 |
<0.10 |
0.193 |
W |
|
WSR02 |
20200606 |
Rainy |
Moderate |
Mid-Flood |
Middle |
4.85 |
18:29 |
9.16 |
8.27 |
30.56 |
27.28 |
0.97 |
11 |
<0.10 |
0.152 |
W |
|
WSR02 |
20200606 |
Rainy |
Moderate |
Mid-Flood |
Surface |
1 |
18:30 |
9.51 |
8.08 |
31.31 |
27.16 |
0.94 |
12 |
<0.10 |
0.162 |
W |
|
WSR02 |
20200606 |
Rainy |
Moderate |
Mid-Flood |
Surface |
1 |
18:30 |
9.16 |
8.07 |
31.53 |
27.75 |
1.45 |
12 |
<0.10 |
0.162 |
W |
|
WSR03 |
20200606 |
Rainy |
Moderate |
Mid-Flood |
Bottom |
7.5 |
18:02 |
9.9 |
8.25 |
31.12 |
27.66 |
1.69 |
14 |
<0.10 |
0.166 |
SW |
|
WSR03 |
20200606 |
Rainy |
Moderate |
Mid-Flood |
Bottom |
7.5 |
18:02 |
8.58 |
8.19 |
31.24 |
27.58 |
1.6 |
14 |
<0.10 |
0.185 |
W |
|
WSR03 |
20200606 |
Rainy |
Moderate |
Mid-Flood |
Middle |
4.25 |
18:03 |
9.62 |
8.2 |
31.76 |
27.7 |
1.16 |
13 |
<0.10 |
0.159 |
NW |
|
WSR03 |
20200606 |
Rainy |
Moderate |
Mid-Flood |
Middle |
4.25 |
18:03 |
8.53 |
8.16 |
30.52 |
27.14 |
0.99 |
12 |
<0.10 |
0.134 |
W |
|
WSR03 |
20200606 |
Rainy |
Moderate |
Mid-Flood |
Surface |
1 |
18:04 |
9.86 |
8.27 |
31.77 |
27.38 |
0.76 |
11 |
<0.10 |
0.135 |
W |
|
WSR03 |
20200606 |
Rainy |
Moderate |
Mid-Flood |
Surface |
1 |
18:04 |
8.71 |
8.27 |
30.5 |
27.7 |
0.97 |
11 |
<0.10 |
0.191 |
W |
|
WSR04 |
20200606 |
Rainy |
Moderate |
Mid-Flood |
Bottom |
6.7 |
17:44 |
9.95 |
8.19 |
30.97 |
27.66 |
1.43 |
14 |
<0.10 |
0.14 |
NW |
|
WSR04 |
20200606 |
Rainy |
Moderate |
Mid-Flood |
Bottom |
6.7 |
17:44 |
9.08 |
8.14 |
31.54 |
27.62 |
1.96 |
13 |
<0.10 |
0.157 |
W |
|
WSR04 |
20200606 |
Rainy |
Moderate |
Mid-Flood |
Middle |
3.85 |
17:45 |
10.06 |
8.07 |
30.49 |
27.29 |
1.33 |
13 |
<0.10 |
0.158 |
SW |
|
WSR04 |
20200606 |
Rainy |
Moderate |
Mid-Flood |
Middle |
3.85 |
17:45 |
9.13 |
8.18 |
30.72 |
27.63 |
1.46 |
14 |
<0.10 |
0.189 |
W |
|
WSR04 |
20200606 |
Rainy |
Moderate |
Mid-Flood |
Surface |
1 |
17:46 |
9.41 |
8.31 |
30.75 |
27.29 |
1.3 |
12 |
<0.10 |
0.182 |
NW |
|
WSR04 |
20200606 |
Rainy |
Moderate |
Mid-Flood |
Surface |
1 |
17:46 |
9.36 |
8.28 |
30.83 |
27.15 |
0.76 |
11 |
<0.10 |
0.145 |
W |
|
WSR16 |
20200606 |
Rainy |
Moderate |
Mid-Flood |
Bottom |
10.8 |
16:23 |
8.74 |
8.17 |
31.31 |
27.64 |
1.61 |
10 |
<0.10 |
0.162 |
NW |
|
WSR16 |
20200606 |
Rainy |
Moderate |
Mid-Flood |
Bottom |
10.8 |
16:23 |
9.76 |
8.11 |
30.83 |
27.22 |
1.73 |
9 |
<0.10 |
0.177 |
NW |
|
WSR16 |
20200606 |
Rainy |
Moderate |
Mid-Flood |
Middle |
5.9 |
16:24 |
9 |
8.31 |
30.72 |
27.21 |
1 |
10 |
<0.10 |
0.192 |
NW |
|
WSR16 |
20200606 |
Rainy |
Moderate |
Mid-Flood |
Middle |
5.9 |
16:24 |
9.6 |
8.19 |
31.62 |
27.24 |
1.21 |
11 |
<0.10 |
0.192 |
NW |
|
WSR16 |
20200606 |
Rainy |
Moderate |
Mid-Flood |
Surface |
1 |
16:25 |
9.15 |
8.08 |
31.41 |
27.59 |
1.12 |
12 |
<0.10 |
0.197 |
NW |
|
WSR16 |
20200606 |
Rainy |
Moderate |
Mid-Flood |
Surface |
1 |
16:25 |
9.27 |
8.26 |
30.85 |
27.16 |
0.8 |
12 |
<0.10 |
0.224 |
NW |
|
WSR33 |
20200606 |
Rainy |
Moderate |
Mid-Flood |
Bottom |
6.1 |
17:28 |
9.42 |
8.21 |
31.33 |
27.34 |
1.75 |
11 |
<0.10 |
0.166 |
W |
|
WSR33 |
20200606 |
Rainy |
Moderate |
Mid-Flood |
Bottom |
6.1 |
17:28 |
9.24 |
8.14 |
30.56 |
27.34 |
1.82 |
10 |
<0.10 |
0.186 |
W |
|
WSR33 |
20200606 |
Rainy |
Moderate |
Mid-Flood |
Middle |
3.55 |
17:29 |
10.06 |
8.19 |
30.91 |
27.81 |
1.08 |
9 |
<0.10 |
0.176 |
W |
|
WSR33 |
20200606 |
Rainy |
Moderate |
Mid-Flood |
Middle |
3.55 |
17:29 |
9.72 |
8.22 |
30.49 |
27.24 |
1.14 |
10 |
<0.10 |
0.174 |
NW |
|
WSR33 |
20200606 |
Rainy |
Moderate |
Mid-Flood |
Surface |
1 |
17:30 |
9.73 |
8.31 |
31.88 |
27.3 |
1.2 |
10 |
<0.10 |
0.192 |
W |
|
WSR33 |
20200606 |
Rainy |
Moderate |
Mid-Flood |
Surface |
1 |
17:30 |
8.87 |
8.24 |
30.83 |
27.27 |
0.84 |
9 |
<0.10 |
0.164 |
NW |
|
WSR36 |
20200606 |
Rainy |
Moderate |
Mid-Flood |
Bottom |
3.8 |
17:14 |
10.11 |
8.3 |
31.56 |
27.47 |
1.58 |
11 |
<0.10 |
0.175 |
W |
|
WSR36 |
20200606 |
Rainy |
Moderate |
Mid-Flood |
Bottom |
3.8 |
17:14 |
9.5 |
8.31 |
31.17 |
27.61 |
1.96 |
10 |
<0.10 |
0.153 |
W |
|
WSR36 |
20200606 |
Rainy |
Moderate |
Mid-Flood |
Surface |
1 |
17:15 |
10.03 |
8.17 |
31.15 |
27.78 |
0.93 |
13 |
<0.10 |
0.168 |
W |
|
WSR36 |
20200606 |
Rainy |
Moderate |
Mid-Flood |
Surface |
1 |
17:15 |
8.52 |
8.07 |
31.73 |
27.72 |
1.32 |
14 |
<0.10 |
0.135 |
NW |
|
WSR37 |
20200606 |
Rainy |
Moderate |
Mid-Flood |
Bottom |
6.7 |
16:57 |
9.04 |
8.19 |
32 |
27.76 |
1.76 |
8 |
<0.10 |
0.186 |
SW |
|
WSR37 |
20200606 |
Rainy |
Moderate |
Mid-Flood |
Bottom |
6.7 |
16:57 |
9.86 |
8.22 |
31.47 |
27.44 |
2.11 |
8 |
<0.10 |
0.181 |
SW |
|
WSR37 |
20200606 |
Rainy |
Moderate |
Mid-Flood |
Middle |
3.85 |
16:58 |
8.97 |
8.16 |
30.81 |
27.8 |
0.98 |
9 |
<0.10 |
0.132 |
W |
|
WSR37 |
20200606 |
Rainy |
Moderate |
Mid-Flood |
Middle |
3.85 |
16:58 |
9.73 |
8.08 |
31.5 |
27.84 |
1 |
9 |
<0.10 |
0.151 |
NW |
|
WSR37 |
20200606 |
Rainy |
Moderate |
Mid-Flood |
Surface |
1 |
16:59 |
9.54 |
8.13 |
31.96 |
27.28 |
0.94 |
10 |
<0.10 |
0.148 |
W |
|
WSR37 |
20200606 |
Rainy |
Moderate |
Mid-Flood |
Surface |
1 |
16:59 |
10.06 |
8.21 |
30.51 |
27.79 |
0.75 |
10 |
<0.10 |
0.137 |
SW |
Legend
|
|
The data shaped in grey area were collected under heavy
rain. The data measured and sampled on 6 June 2020 were not used as baseline
reference.












































































































































































































































































































Appendix E
HOKLAS Laboratory Certificate

Appendix F
Water Quality Monitoring Equipment Calibration Certificate












